步进电机区别于其他控制用途电机的最大特点是,它可接受数字控制信号(电脉冲信号)并转化成与之相对应的角位移或直线位移,因而本身就是一个完成数字模拟转化的执行元件。而且它能进行开环位置控制,输入一个脉冲信号就得到一个规定的位置增量。这样的增量位置控制系统与传统的直流伺服系统相比,其成本明显降低,几乎不必进行系统调整。因此,步进电机广泛应用于数控机床、机器人、遥控、航天等领域,特别是微型计算机和微电子技术的发展,使步进电机获得更为广泛的应用。
步进电机的速度特性
步进电机的转速取决于脉冲频率、转子齿数和拍数。其角速度与脉冲频率成正比,而且在时间上与脉冲同步。因而在转子齿数和运行拍数一定的情况下,只要控制脉冲频率即可获得所需速度。由于步进电机是借助它的同步转矩而启动的,为了不发生失步,启动频率是不高的。特别是随着功率的增加,转子直径增大,惯量增大,启动频率和最高运行频率可能相差10倍之多。为了充分发挥电机的快速性能,通常使电机在低于启动频率下启动,然后逐步增加脉冲频率直到所希望的速度,所选择的变化速率要保证电机不发生失步,并尽量缩短启动加速时间。为了保证电机的定位精度,在停止以前必须使电机从最高速度逐步减小脉冲率降到能够停止的速度(等于或稍大于启动速度)。因此,步进电机拖动负载高速移动一定距离并精确定位时,一般来说都应包括“启动-加速-高速运行(匀速)-减速-停止”五个阶段,速度特性通常为梯形,如果移动的距离很短则为三角形速度特性,如图1所示。

图1 步进电机的速度曲线
步进电机控制系统结构
PC机在适当的时刻通过对硬件控制电路上的8253计数器0赋初值,设置好加减速过程的频率变化(即速度、加速度变化),以防止失步。例如,在点位控制中设置好速度曲线图,在起动和升速时,使步进电机产生足够的转矩驱动负载,跟上规定的速度和加速度;在减速时,下降特性使负载不产生过冲,停止在规定的位置。硬件控制电路板上的8253产生脉冲方波作为中断信号源,启动细分驱动电路中的固化程序以产生一定频率的脉冲,经功率放大后驱动步进电机运动。步进电机运动方向的改变及启动和停止均由计算机控制硬件控制电路实现。

图2 步进电机控制系统
软件和硬件结合起来一起进行控制,具有电路简单、控制方便等优点。在这种控制中,微机软件占用的存储单元少,程序开发不受定时限制。只要外部中断允许,微机就能在电机的每一步之间自由地执行其他任务,以实现多台步进电机的运动控制。
定时器初值的确定
步进电机的实时控制运用PC机,脉冲方波的产生采用8253定时器,其计数器0工作于方式0以产生脉冲方波,计数器1工作于方式1起记数作用,8253计数器0的钟频由2MHz晶振提供。设计算机赋给8253计数器0的初值为D1,则产生的脉冲方波频率为f1=f0/D1,周期为T1=1/f1=D1/f0,D1=f0T1=f0/f1。其中,f1为启动频率,f0为晶振频率。
步进电机升降速数学模型
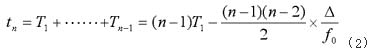
为使步进电机在运行中不出现失步现象,一般要求其最高运行频率应小于(或等于)步进响应频率fs。在该频率下,步进电机可以任意启动、停止或反转而不发生失步现象。 步进电机升降速有两种驱动方式,即三角形与梯形驱动方式(见图1),而三角形驱动方式是梯形驱动的特例,因而我们只要研究梯形方式。电机的加速和减速是通过计算机不断地修改定时器初值来实现的。在电机加速阶段,从启动瞬时开始,每产生一个脉冲,定时器初值减小某一定值,则相应的脉冲周期减小,即脉冲频率增加;在减速阶段,定时器初值不断增加,则相应的脉冲周期增大,脉冲频率减小,对应梯形脉冲频率特性的减速阶段。该设计的关键是确定脉冲定时tn,脉冲时间间隔即脉冲周期Tn和脉冲频率fn。假设从启动瞬时开始计算脉冲数,加速阶段的脉冲数为n,并设启动瞬时为计时起点,定时器初值为D1,定时器初值的减量为△。从加速阶段的物理过程可知,第一个脉冲周期,即启动时的脉冲周期T1=D1/f0,t1=0。由于定时器初值的修改,第2个脉冲周期T2=(D1-△)/f0=T1-△/f0,脉冲定时t2=T1,则第n个脉冲的周期为:

(1)
脉冲定时为:

脉冲频率为:

上式分别显示了脉冲数n与脉冲频率fn和时间tn的关系。令△/f0=δ,即加速阶段相邻两脉冲周期的减量,则上述公式简化为:


(5)
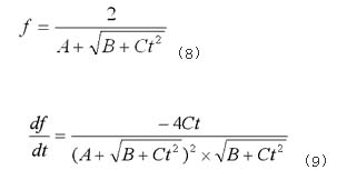
联立(4)、(5),并简化fn与tn的关系,得出加速阶段的数学模型为:
其中,是常数,其值与定时器初值及定时器变化量有关,A=-δ, B=(2T1+δ)2,C=8δ。
加速阶段脉冲频率的变化为:
从(6)、(7)式可以看出,在加速阶段,脉冲频率不断升高,且加速度以二次函数增加。这种加速方法对步进电机运行十分有利,因为启动时,加速度平缓,一旦步进电机具有一定的速度,加速度增加很快。这样一方面使加速度平稳过渡,有利于提高机器的定位精度,另一方面可以缩短加速过程,提高快速性能。
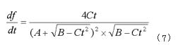
对于减速阶段,按照与上述类似的分析方法,可以得出脉冲频率特性的表达方式为:

其中,A=-δ, B=(2T1-δ)2,C=8δ,T1为减速开始时脉冲周期,δ为减速阶段相邻两个脉冲周期的增量。由于T1>>δ,则B=4T12,由(8)、(9)式可以看出,脉冲频率在减速阶段不断下降,且加速度为负,绝对值以二次函数减小。这种减速性能对步进电机同样有利,它使步进电机在减速时能够平稳地停止而没有冲击,提高了机器的定位精度。
综上所述,可以得出本设计的脉冲频率特性(见图3)。

图3 脉冲频率特性
实验及总结
该方法已经成功的应用于本人设计的智能运动控制单元,通过开发Windows环境下的控制软件,利用VC++设计良好的控制接口界面,方便地实现了运动方式、速度、加减速的选择和位置控制,具有一定程度的智能。该控制单元减少了PC机被占用时间,以便于在电机运行的同时去完成别的工作,从而实现了三台步进电机的加减速和速度及位置控制。并且利用了细分驱动电源,提高了步进精度和定位精度。