齿轮 标准基本齿条齿廓
1 范围
本标准规定了通用机械和重型机械用渐开线圆柱齿轮(外齿或内齿)的标准基本齿条齿廓的何参数。
本标准适用于GB/T 1357 规定的标准模数。
本标准规定的齿廓没有考虑内齿轮齿高可能进行的修正,内齿轮对不同的情况应分别计算。
为了确定渐开线类齿轮的轮齿尺寸,在本标准中,标准基本齿条的齿廓仅给出了渐开线类齿轮齿廓的几何参数。它不包括对刀具的定义,但为了获得合适的齿廓,可以根据标准基本齿条的齿廓规定刀具的参数。
2 引用标准
下列标准所包含的条文,通过在本标准中引用而构成为本标准的条文。本标准出版时,所示版本均为有效,所有标准都会被修订,使用本标准的各方应探讨使用下列标准最新版本的可能性。
GB/T 1357—1987 渐开线圆柱齿轮模数(neq ISO 54:1977)
GB/T 3374—1992 齿轮基本术语(neq ISO/R 1122-1:1983)
3 术语和定义
在本标准中,除使用GB/T 3374 给出的术语、定义外,还采用下列术语、定义。
3.1 标准基本齿条齿廓
标准基本齿条齿廓是指基本齿条的法向截面,基本齿条相当于齿数z=∞,直径d=∞的外齿轮(见图1)。
注:标准基本齿条齿廓的轮齿介于齿顶处的齿顶线和与之平行的齿底部的齿根线之间。齿廓直线部分和齿根线之间的圆角是半径为ρfP的圆弧。
3.2 相啮标准齿条齿廓是指齿条齿廓在基准线P—P上对称于标准基本齿条齿廓、且相对于标准基本齿条齿廓的半个齿距的齿廓(见图1)。
4 代号和单位
代号和单位见表1。
1- 标准基本齿条齿廓;2-基准线;3-齿顶线;4-齿根线;5-相啮标准基本齿条齿廓
图1 标准基本齿条齿廓和相啮标准基本齿条齿廓。
表1 代号和单位
|
符号 |
意义 |
单位 |
|
cP |
标准基本齿条轮齿与相啮标准基本齿条轮齿之间的顶隙 |
mm |
|
eP |
标准基本齿条轮齿齿槽宽 |
mm |
|
haP |
标准基本齿条轮齿齿顶高 |
mm |
|
hfP |
标准基本齿条轮齿齿根高 |
mm |
|
hFfP |
标准基本齿条轮齿齿根直线部分的高度 |
mm |
|
hP |
标准基本齿条的齿高 |
mm |
|
hwP |
标准基本齿条和相啮标准基本齿条轮齿的有效齿高 |
mm |
|
m |
模数 |
mm |
|
p |
齿距 |
mm |
|
sp |
标准基本齿条轮齿的齿厚 |
mm |
5 标准基本齿条齿廓
5.1 标准基本齿条齿廓的几何参数见图1和表2,对于不同使用场合所推荐的基本齿条见附录A(提示的附录)。
5.2 标准基本齿条齿廓的齿距p=πm。
5.3 在haP加hFfP高度上,标准基本齿廓的齿侧面为直线。
表 2 标准基本齿条齿廓的几何参数
|
项目 |
标准基本齿条齿廓的几何参数值 |
|
αp |
20° |
|
haP |
1 m |
|
CP |
0.25 m |
|
hfP |
1.25 m |
|
ρfP |
0.38 m |
5.4 P—P 线上的齿厚等于齿槽宽,即齿距的一半。

…………………………………………..(1)
式中:sp —— 标准基本齿条轮齿的齿厚;
eP —— 标准基本齿条轮齿的齿槽宽;
p —— 齿距;
m—— 模数。
5.5 标准基本齿条齿廓的齿侧面与基准线的垂线之间的夹角为压力角αp 。
5.6 齿顶线和齿根线分别平行于基准线P—P ,且距P—P 线之间的距离分别为haP 和hfP。
5.7 标准基本齿条齿廓和相啮标准基本齿条齿廓的有效齿高hwP等于2 haP 。
5.8 标准基本齿条齿廓的参数用P—P 线作为基准。
5.9 标准基本齿条的齿根圆角半径ρfP由标准顶隙CP确定。
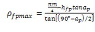
对于αp=20°、CP≤0.295m、hFfP=1m的基本齿条

………………………………(2)
式中:ρfPmax — 基本齿条的最大齿根圆角半径;
CP — 标准基本齿条轮齿和相啮标准基本齿条轮齿的顶隙;
αp — 压力角。
对于αp=20°、0.295<CP≤0.369m 的基本齿条

………………………………(3)
式中:hfP — 基本齿条轮齿的齿根高。
ρfPmax 的中心在齿条齿槽的中心线上。
注:实际齿根圆角(在有效齿廓以外)会随一些影响因素的不同而变化,如制造方法、齿廓修形、齿数。
5.10 标准基本齿条齿廓的参数CP、haP、hfP和hwP 也可以表示为模数m的倍数,即相对于m=1mm时的值可加一个星号表明,例如:
htp=hfp*·m
附 录 A
(提示的附录)
不同使用场合下推荐的基本齿条
A1 基本齿条型式的应用
—— A型标准基本齿条齿廓推荐用于传递大转矩的齿轮。
根据不同的使用要求可以使用替代的基本齿条齿廓:
—— B 型和C型基本齿条齿廓推荐用于通常的使用场合。用一些标准滚刀加工时,可以用C型。
—— D 型基本齿条齿廓的齿根圆角为单圆弧齿根圆角。当保持最大齿根圆角半径时,增大的齿根高(hfP=1.4m,齿根圆角半径ρfP=0.39m)使得精加工刀具能在没有干涉的情况下工作。这种齿廓推荐用于高精度、传递大转矩的齿轮,因此,齿廓精加工用磨齿或剃齿。在精加工时,要小心避免根圆角处产生凹痕,凹痕会导致应力集中。
几种类型基本齿条齿廓的几何参数见表A1。
表A1 基本齿条齿廓
|
项目 |
基本齿条齿廓类型 |
|
A |
B |
C |
D |
|
αp |
20° |
20° |
20° |
20° |
|
haP |
1 m |
1 m |
1 m |
1 m |
|
CP |
0.25 m |
0.25 m |
0.25 m |
0.25 m |
|
hfP |
1.25 m |
1.25 m |
1.25 m |
1.25 m |
|
ρfP |
0.38 m |
0.38 m |
0.38 m |
0.38 m |
A2 具有挖根的基本齿条齿廓
使用具有给定的挖根量uFP和挖根角αFP的基本齿条齿廓时,用带凸台的刀具切齿并用磨齿或剃齿精加工齿轮,见图A1。uFP和αFP的具体值取决于一些影响因素,如加工方法,在本标准中没有说明加工方法。
图 A1 具有给定挖根量的基本齿条齿廓