高速渐开线圆柱齿轮和类似要求齿轮
承载能力计算方法
1范围
1.1范围
本标准规定了通过单对齿轮副传递总转矩的高速渐开线圆柱齿轮的齿面接触强度(点蚀)和轮齿弯曲强度的计算方法。
渐开线圆柱齿轮轮齿的胶合在载能力计算不包括在本标准中。齿轮胶合承载能力按GB/T6413计算。
1.2应用领域
本标准适用于:
a) 齿轮类型
——内、外啮合的渐开线直齿、斜齿和双斜齿轮;
——对双斜齿轮,假定总的切向力平均分配在两边的斜齿上。如果不是这种情况,例如有外部轴向力作用时,就必须把两边的斜齿按两个平行的单个斜齿轮来考虑;
——多分支传动的行星和其他齿轮系。
b) 速度范围
——小轮转速n1≥3000r/min(两极电机在50Hz电流下的同步转速)。也适用于特殊要求的低速高精度齿轮。
——当节圆线速度

<1m/s时,齿轮承载能力常受到磨损的限制。
c)齿轮精度
GB/T10095规定的5级或更高精度等级(影响KV、KHβ、KHα、KFα)。
d)当量直齿轮副端面重合度范围
1.2<εαn<2.5(影响c′、cγ、KV、KHβ、KFβ、KHα和Yε)。
e)螺旋角范围
β小于或等于30°(影响cγ、KV和KHβ)
f)基本齿条
不限制1),但受d)的限制。
1.3设计
当齿坯、轴和轮毂连结配合、轴、轴承、箱体、螺纹联结、地基和联轴器等都满足精度、承载能力与刚度(这是齿轮承载能力计算的基础)的要求时,本标准才可应用。
a)轮轴
本标准适用于对称安装在轴承之间的轴齿轮或带轴孔的小齿轮。假定带轴孔的小齿轮安装在实心轴或di/dsh<0.5的空心轴上(影响KHβ)。
b)轮坯、轮缘
本标准适用于齿根以下的轮缘厚度SR>3.5mn的内、外齿轮。
c)材料
本标准适用于钢质材料(影响ZE、c′、cγ、ZW、KV、KHβ)包括调质、渗碳硬化和渗氮硬化钢(影响Yα、Yβ、ZL、ZX、σHlim、σFE、YE)。对于其他材料的有关资料见GB/T3480和GB/T8539。
d)润滑
本计算方法在符合下列条件时有效:在齿轮的整个运转期间采用喷测润滑,并使用齿轮的设计者和制造者同意的润滑油。且喷油润滑的油温和喷油流量应确保温度不超过计算目的所要求的温度(影响ZL、ZV和ZR)。
1.4安全系数
安全系数值的选择应基于所用数据的可靠度和失效造成的所果。
考虑的重要因素如下:
a) 材料疲劳极限是在失效概率为1%时得到的;
b) 在制造的全过程中所规定的质量与质量控制的有效性;
c) 工作载荷和外部条件描述的精确度;
d) 通常认为断齿比点蚀造成的危害更大,若确属这种情况,那么,SF、值的选取比SH值的选取更重要。
建议最小安全系数选取应由用户和制造者协商一致。
1.5输入数据
a)齿轮参数
a1、 、 、mn、d1、da1、da22)(当齿顶倒棱或倒圆时,用dN2代替da2,dN2为可用齿廓上限所在圆的直径。)、b、x1、x2、αn、β、εα、εβ、(GB/T 1357);齿部相对于轴承的位置。、
a) 刀具基本齿条齿廓
hao、ρao。
b) 设计和制造参数
材料、材料硬度、热处理过程,材料的质量等级,齿轮的精度等级、轴承跨距l,齿轮的尺寸参数,大、小轮的转动惯量,当采用修形时的齿向修形(鼓形、齿端修薄)。
d)功率参数
P或T或Ft、n1、v1,原动机和工作机的情况。
必要的几何参数可根据有关标准计算。
2引用标准
下列标准所包含的条文,通过要本标准中引用而构成为本标准的条文。本标准出版时,所示版本均为有效,所有标准都会被修订,使用本标准的各方应探讨使用下列标准最新版本的可能性。
GB/T1356-2001 通用机械和重型机械用圆柱齿轮 标准基本齿条齿廓
GB/T1357-1988渐开线圆柱齿轮 模数
GB/T3374-1992 渐开基本术语
GB/T3480-1997渐开线圆柱齿轮 承载能力计算方法
GB/T8539-200 齿轮材料及热处理质量检验的一般规定
GB/T10095-2001 渐开线圆柱齿轮 精度
3主要代号
本标准中的主要代号及其定义和单位见表1
表1主要代号
|
代号 |
意义 |
单位 |
|
a |
中心距 |
mm |
|
b |
齿宽 |
mm |
|
bB |
双斜齿轮的单边斜齿宽 |
mm |
|
cγ |
单位齿宽啮合刚度的平均值(啮合刚度) |
N(N/mm·μm) |
|
c′ |
一对轮齿单位齿宽最大刚度(单对齿刚度) |
N(N/mm·μm) |
|
da1,da2 |
小轮、大轮的轮顶圆直径 |
mm |
|
db1,db2 |
小轮、大轮的基圆直径 |
mm |
|
df1,df2 |
小轮、大轮的齿根圆直径 |
mm |
|
di |
小齿轮轴孔内径 |
mm |
|
dw1,dw2 |
小轮、大轮的节圆直径 |
mm |
|
d1,d2 |
小轮、大轮的分度圆直径 |
mm |
|
ffα |
齿廓形状偏差(如果GB/T10095的公差时,ffα各齿廓总偏差Fα的值可选择使用) |
μm |
|
fma |
制造误差产生的螺旋线偏差 |
μm |
|
fsh |
弹性变形产生的螺旋线偏差 |
μm |
|
fHβ |
螺旋线斜率偏差(不包括螺旋线形状偏差) |
μm |
|
h |
齿高 |
mm |
|
ha |
齿顶高 |
mm |
|
ha0 |
刀具齿顶高 |
mm |
|
hFα |
载荷作用在齿顶时的弯曲力臂 |
mm |
|
l |
轴承跨距 |
mm |
|
m* |
单个齿轮转换到啮合线上的单位齿宽当量质量 |
kg/mm |
|
mn |
法向模数 |
mm |
|
mred |
齿轮副转换到啮合线上的单位齿宽当量质量 |
kg/mm |
|
n1,n2 |
小轮、大轮的转速 |
r/min |
|
nE |
临界转速 |
r/min |
|
Pr |
刀具的凸台量 |
mm |
|
q |
精加工余量 |
mm |
|
qs |
齿根圆角参数SFn/2ρF |
|
|
s |
齿厚 |
mm |
|
spt |
残余挖根量 |
mm |
|
sFn |
危险截面的弦齿厚 |
mm |
|
sR |
轮缘厚度 |
mm |
|
u |
齿数比u=z1/z2≥1 |
|
|
v |
节圆线速度(没有下标时,分度圆线速度约等于工作时的节圆线速度) |
m/s |
|
x1,x2 |
小轮、大轮的变位系数 |
|
|
xβ |
跑合系数 |
|
|
yβ |
齿向跑合量(等效于装配后啮合螺旋线误差) |
μm |
|
zn |
斜齿轮的当量齿数 |
|
|
z1,z2 |
小轮、大轮的齿数 |
|
|
CB |
基本齿条系数 |
|
|
CR |
轮坯结构系数 |
|
|
E |
弹性模量,杨氏模量 |
N/mm2 |
|
Fm |
分度圆上的平均切向力,Fm=F1KAKV |
N |
|
Ft |
端面内分度圆周上的名义切向力 |
N |
|
Fteq |
分度圆上的当量切向力 |
N |
|
Fβ |
螺旋线总偏差 |
μm |
|
Fβx |
初始啮合螺旋线误差(跑合前) |
μm |
|
KV |
动载系数 |
|
|
KA |
使用系数 |
|
|
KFα |
弯曲强度计算的齿间载荷分配系数 |
|
|
KFβ |
弯曲强度计算的齿向载荷分布系数 |
kW |
|
KHα |
接触强度计算的齿间载荷分配系数 |
μm |
|
KHβ |
接触强度计算的齿向载荷分布系数 |
μm |
|
Kγ |
不均载系数(考虑多分支传动时,载荷分配不均匀的系数) |
|
|
K1,K2 |
常数 |
|
|
N |
临界转速比 |
|
|
NL |
应力循环次数 |
|
|
M1,M2 |
确定ZB,ZD的辅助值 |
|
|
P |
传递功率 |
|
|
Ra |
算术平均粗糙度 |
|
|
Rz |
平均峰-谷粗糙度 |
|
|
SF |
弯曲强度的计算安全系数 |
|
|
SFmin |
弯曲强度的计算安全系数 |
|
|
SH |
接触强度的计算安全系数 |
|
|
SHmin |
接触强度的最小安全系数 |
|
|
T1,T2 |
小轮转矩(名义),大轮转矩 |
N·m |
|
YF |
载荷作用于单对齿啮合区外界点时的齿形系数 |
|
|
YN |
齿根弯曲强度计算的寿命系数 |
|
|
YRrelT |
相对齿根表面状况系数 |
|
|
YS |
应力集中系数 |
|
|
YX |
弯曲强度计算的尺寸系数 |
|
|
Yβ |
弯曲强度计算的螺旋角系数 |
|
|
YδrelT |
相对齿根圆角敏感系数 |
|
|
Yε |
弯曲强度计算的重合度系数 |
|
|
ZV |
速度系数 |
|
|
ZB,ZD |
小轮、大轮的单对齿啮合系数 |
|
|
ZE |
弹性系数 |
|
|
ZH |
节点区域系数 |
|
|
ZL |
润滑剂系数 |
|
|
ZN |
接触强度计算的寿命系数 |
|
|
ZR |
接触强度计算的粗糙度系数 |
|
|
ZW |
齿面工作硬化系数 |
|
|
ZX |
接触强度计算的尺寸系数 |
|
|
Zβ |
接触强度计算的螺旋角系数 |
|
|
Zε |
接触强度计算的重合度系数 |
|
|
αn |
法向压力角 |
(°) |
|
αt |
端面压力角 |
(°) |
|
αwt |
端面节圆压力角 |
(°) |
|
αp |
圆柱齿轮基本齿条的压力角 |
(°) |
|
β |
螺旋角 |
(°) |
|
βb |
基圆螺旋角 |
(°) |
|
γe |
单对齿啮合区外界点半角 |
(°) |
|
εα |
端面重合度 |
|
|
εαn |
当量直齿轮副的端面重合度 |
|
|
εβ |
纵向重合度 |
|
|
εγ |
总重合度(εγ=εα+εβ) |
|
|
ρao |
刀具齿顶圆角半径 |
mm |
|
ρfp |
圆柱齿轮基本齿条的齿根过渡圆角半径 |
mm |
|
ρrel |
相对曲率半径 |
mm |
|
ρC |
节面相对曲率半经 |
mm |
|
ρF |
危险截面处齿根圆角半径 |
mm |
|
σb |
抗拉强度 |
N/mm2 |
|
σF |
计算齿根应力 |
N/mm2 |
|
σFlim |
试验齿轮的弯曲疲劳极限 |
N/mm2 |
|
σFG |
计算齿轮的弯曲极限应力 |
N/mm2 |
|
σFP |
许用弯曲应力 |
N/mm2 |
|
σFO |
计算齿根应力基本值 |
N/mm2 |
|
σH |
计算接触应力 |
N/mm2 |
|
σHlim |
试验齿轮的接触疲劳极限 |
N/mm2 |
|
σHG |
计算齿轮的接触极限应力 |
N/mm2 |
|
σHP |
许用接触应力 |
N/mm2 |
|
σHO |
计算接触应力基本值 |
N/mm2 |
|
σs |
屈服强度 |
N/mm2 |
|
σ0.2 |
发生残余变形0.2% 时的条件屈服强度 |
N/mm2 |
|
ω1,ω2 |
小轮、大轮的角速度 |
rad/s |
4载荷影响系数
影响系数KV、KHα、KFα均按GB/T 3480的一般方法(ISO 6336-1的B法)确定,KHβ、KFβ、按GB/T3480的曲型结构的计算方法(ISO 6336-1的法C1法)确定。
影响系数KV、KHβ、KFβ均取决于轮齿载荷等因素,用作用载荷(名义切向力乘以使用系数)作为最初的计算值。这些系数相互影响,因此必须按下列顺序计算:
a)用切向载荷FtKA(当量载荷,对多分支传动用FtKAKγ3)(3)在多分支齿轮传动系中(如行星传动、分流传动)中,总切向载荷不是完全平均分配在每对啮合齿轮上(取决于设计节圆线速度和制造精度)。此时,要考虑在KA的后面插入不均载系数Kγ,以调节每对啮合齿轮上的平均切向载荷。)计算KV;
b)用载荷FtKAKV计算KHβ或KFβ。
4.1名义切向力、名义转矩、名义功率
名义切向力Ft作用于端面内分度圆上,它由工作机的输入转矩确定,该转矩为正常工作条件下的最大值。当原动机的名义转矩与工作机的转矩一致时,可采用原动机的名义转矩,或者选取其他合适的值。

……………………(1)
式中:

——名义切向力,N;
T——名义转矩,N·m;
d——齿轮分度圆直径,mm;
P——名义功率,KW;
n——齿轮转速,t/min;

——节圆线速度,m/s。
T=

…………………………(2)
式中:

——齿轮角速度,rad/s。
P=

…………………………(3)

…………………………(4)

……………………(5)
4.2当量切向力、当量转矩、当量功率
当传递的载荷非恒定时,既要考虑尖峰载荷及基循环次数,又要考虑中间载荷及其循环次数。这类载荷按工作循环次数划分。并可用载荷图谱表示。此时,应按工作循环次数下的累积疲劳效应计算齿轮的强度。变载荷下的齿轮强度计算方法见GB/T3480-1997的附录B。
4.3最大切向力、最大转矩、最大功率
在变载荷下,最大切向力Ftmax(或对应的最大转矩Tmax,最大功率Pmax)的大小可由合适的安全离合器限定。当相应于静应力极限的抗点蚀与抗折断的安全系数确定后(见第5章、第6章),Fmax、Tmax、Pmax应是已知的。
4.4使用系数KA
为了补偿由于外部因素引起的齿轮载荷增加,用使用系数KA来调节各义载荷Fr。这种附加载荷主要取决于原动机和从动机的特性以及包括轴和联轴器在内的系统的质量和刚度。
使用系数的大小建议由用户和制造商或设计者协商确定。
KA可通过精密测量和对传动系统的全面分析,或根据可靠的现场经验来确定(见4.2)。
如果没有可靠的数据,即使在初步设计阶段,也可采用附录C中推荐的KA值,这些KA值是在最小安全系数为1.25时得出的。
4.5动载系数KV
动载系数是包含内部附加动载荷在内的轮齿上的总载荷与轮与传递的切向载荷之比。
本标准的计算方法假定:齿轮副由一个基本单质量弹簧系统组成,这个系统包括小齿轮和大齿轮的综合质量和轮齿的啮合刚度。该方法还假定每个齿轮副象单级齿轮副一样,即不考虑多级传动中其他各级的相互影响。这个假定仅适用于大齿轮和小齿轮的当量轴的扭转刚度(在齿轮的基圆半径处测量)小于啮合刚度时的情况。刚性轴的处理方法见4.5.2和附录B中B1。
由轴及其连结的质量的扭转振动所产生的力不包括在KV中,这些力应包括在其他外部力中(如在使用系数中考虑)。
在多分支齿轮传动中,有多个固有频率,这些固有频率与单对齿传输线啮合时齿轮副的固有频率相比,或高或低。当这些齿轮在临界区运转时,建议用测量或对整个系统作全面的动力学分析确定(参见GB/T3480-1997中6.2或ISO 6336-1中6.2中的A法)。
计算KV时的单位载荷用Fteq/b或FtKA/b。当FtKA/b或Fteq/b小于100N/mm时,用100N/mm。
当FtKA/b<50N/mm时,尤其是对高速动转的低精度直齿轮或斜齿轮,存在着很大的振动危险(有时会造成脱啮)。
4.5.1确定KV的参数计算
4.5.1.1诱导质量mred
a)单级齿传输线副诱导质量

…………………………(6)
式中:mred——齿轮副转换到啮合线上的单位齿宽诱导质量,kg/mm;

——小轮及大轮转化到啮合线上的单位齿宽当量质量,kg/mm;

…………………………(7)

…………………………(8)
式中:J1、J2——小轮及大轮单位齿宽的转动惯量,kg·mm2mm;
rb1、rb2——小轮及大轮的基圆半径,mm。
b)多级齿轮副诱导质量
见附录B。
a) 非常规设计齿轮的诱导质量
下列情况的诱导质量计算,见附录B:
——齿高中部的直径dm1大约等于轴径的轴齿轮;
——两个刚性联接的同轴齿轮;
——由两个小齿轮驱动的大齿轮;
——行星齿轮;
——惰轮。
4.5.1.2齿轮副临界转速
a)小齿轮临界转速nE1
n
E1 =

…………………………(9)
式中:nE1——小齿轮临界转速,r/min;

——小齿轮齿数;

——啮合刚度,N/(mm·μm),见附录A。
b)临界转速比N
小齿传输线转速与临界转速的比值称为临界转速比:
N=

…………………………(10)
由于轴、轴承、箱体等的刚度及相应的阻尼未考虑,因此,临界转速可能高于或低于由式(9)计算的值。为安全起见,临界区域的界际为:
Ns<N≤1.15…………………………(11)
临界转速比的下限NS可按下面两种情况确定。
当载荷FtKA/b<100N/mm时
N
S=0.5+0.35

…………………………(12)
当FtKA/b≥100N/mm时
NS=0.85………………………………(13)
4.5.1.3齿轮精度与跑合参数BP,Bf,BK
BP,Bf,BK分别为考虑齿距偏差、齿廓偏差和齿廓修形对动载荷影响的无量纲参数4)。(齿顶修缘仅用于GB/T 10095规定的0~5级齿轮。)

……………………(14)
B
f =

……………………(15)
B
k=|1-

|……………………(16)
式中:

——单对齿刚度,N/(mm·μm);
b——一对齿轮的较小齿宽,mm;
Ca——设计修缘量,μm;沿齿廓法线方向计量,当无修缘时:取Ca=Cay,Cay为由跑合产生的齿顶磨合量(μm),Cay按下式计算:
C
ay=

……………………(17)
当大、小齿轮材料不同时
Cay=0.5(Cay1+ Cay2)……………………(18)
Cay1和 Cay2分别按式(17)计算。

、

——分别为有效基圆齿距偏差和有效齿廓形状偏差,μm;

和

为跑合后的值,根据相应的跑合量y
p和y
f(μm)确定:

……………………(19)

……………………(20)
式中:

——分别为基圆齿距极限偏差和齿廓形状偏差,μm; 取大、小齿轮中的较大值。
4.5.1.4跑合量yp,ya,yf
对调质齿轮: y
p=y
a=

…………………………(21)
y
f=

…………………………(22)
式中:ya——齿廓跑合量,μm。
对表面硬化(渗碳)、氧化和氮碳共渗齿轮:
y
p=y
a=

…………………………(23)
y
f=

…………………………(24)
当大、小齿轮的材料不同时,取小齿轮和大齿轮的平均值:
yp=0.5(ya1+ ya2)=0.5(yp1+ yp2)……………………(25)
yf=0.5(yf1+ yf2)……………………(26)
4.5.2亚临界区(N≤NS)的动载系数
在这个区域中,如果轮齿的啮合频率符合N=1/2或N=1/3时,可能会发生共振。对精密斜齿轮或经适当修形的直齿轮(齿轮的精度等级为GB/T10095的5级或更高)出现共振的可能性较小。
如果直齿轮的重合度较小或精度较低时,KV值可达到主共振区内的KV值,若出现这种情况,应修改设计或运行参数。
在N=1/4,1/5,……时的共振,由于相应的振幅一般很小,很少会引起麻烦。
对主动轴和从动轴刚度不同的齿轮副,当N=0.2,……0.5时,如果刚性较大的轴转化到啮合线上的扭转刚度c与啮合刚度的数量级相同时,即如果c/rb2与cr的数量级相同时,轮齿的啮合频率会激励固有频率,此时,动载荷的增量会超过式(27)的计算值。
KV=(NK)+1……………………(27)
K=(CV1BP)+(CV2Bf)+( CV3BK)……………………(28)
式中:CV1、CV2、CV3——分别为考虑齿距偏差、齿廓偏差和啮合刚度周期性变化的影响系数,见表2。
表2系数CV1~CV7的计算公式
|
系数代号 |
总重合度 |
|
1<εγ≤2 |
εγ>2 |
|
CV1 |
0.32 |
0.32 |
|
CV2 |
0.34 |
|
|
CV3 |
0.23 |
|
|
CV4 |
0.90 |
|
|
CV5 |
0.47 |
0.47 |
|
CV6 |
0.47 |
|
|
系数代号 |
|
|
1<εγ≤1.5 |
1.5<εγ≤2.5 |
εγ>2.5 |
|
CV7 |
0.75 |
0.125sin[π(εγ-2)]+0.875 |
1.0 |
|
|
|
|
|
4.5.3主共振区(NS<N≤1.15)的动载系数
总重合度较大的高精度斜齿轮可在该区间令人满意地工作,对于精度不低于5级(按GB/T10095.1的规定)且有适当修形的直齿轮也可在该区间工作。
对于上述齿轮:
KV=(CV1BP)+(CV2Bf)+( CV3BK)+1……………………(29)
式中:CV4——考虑啮合刚度周期性变化引起齿轮副扭转共振的影响系数,见表2。
4.5.4超临界区(N≥1.5)的动载系数
在这个区域,当N=2,3……时可能发生共振峰值。然而,大多数情况下振幅较小,这是由于比啮合频率低的频率所产生的激振力一般较小的缘故。
在超临界区工作的齿轮,还有必要考虑由齿轮和轴系的横向振动可能产生的动载荷。当临界横向振动频率接触近于齿轮的旋转频率,具这种情况无法避免时,动载荷必须要考虑。
KV=(CV5BP)+(CV6Bf)+ CV7………………(30)
式中:CV5、CV6——在超临界区内分别考虑齿距偏差和齿廓偏差的影响系数,见表2;
CV7——考虑因啮合刚度变动,在恒速运行时与轮齿弯曲变形产生的分力有关的系数,见表2。
4.5.5过渡区(1.15<N<1.5)的动载系数
在这个区域,动载系数由N=1.15和N=1.5时的KV值(见4.5.3和4.5.4)线性插值确定。
K
V=K
V(N=1.5)+

……………………(31)
4.6接触强度计算的齿向载荷分布系数KHβ
齿向载荷分布系数KHβ是考虑沿齿宽载荷分布不均匀对齿面接触应力影响的系数。
本标准的计算方法适用于有如下特征的齿轮:
a) 小齿传输线对称于轴承安装在实心轴上,或di/dsh<0.5的空心轴上(小齿轮非对称布置时产生的弯曲变形必须考虑并加到啮合螺旋线误差分量fma上,或用附加的完全螺旋线修形予以补偿);
b) 小齿传输线直径接触等于轴径;
c) 大齿轮和箱体、大齿轮轴、轴承的刚度足够大;
d) 在载荷作用下接触斑点布满全齿宽;
e) 小齿轮轴上没有附加的外载荷(如由联轴器施加的载荷);
f) 按4.6.1.2的规定,跑合量yβ≤yβmax。Fβx的值可按式(32)校验:
F
βx=

……………………(32)
g) 建议用于fma的数值进行检验确认,如工作状态下的接触斑点。
行星齿轮的应用见附录B中的B2。
4.6.1计算KHβ的参数
4.6.1.1啮合螺旋线偏差分量fma5)(5)对于齿轮副,取其中的较大fHβ值代入式(33)~式(35)中。)(假定是由制造偏差引起的)
fma为齿轮副相啮轮齿齿廓之间最大分离量。
a) 齿轮无修形或无装配调整
fma=1.0fHβ……………………(33)
式中:fHβ——螺旋线斜率偏差,μm。
b) 装配时进行检验调整(对研或轮载跑合,可调轴承或合适的螺旋线修形)或鼓形齿齿轮副
fma=0.5 fHβ……………………(34)
c) 具有合理齿端修薄的齿轮副
fma=0.7 fHβ……………………(35)
4.6.1.2跑合量yβ,跑合系数xβ
yβ是跑合后使初始啮合螺旋线偏差fβx(μm)减少的量;xβ是表明跑合后啮合螺旋线偏差特征的系数。只要yβ和fβx成比例,在计算中可以使用xβ。
a) 对调质钢
y
β= f
βx
……………………(36)
式中:

——试验齿轮的接触疲劳极限,N/mm
2,见5.7;
fβx——初始啮合螺旋线偏差,μm;fβx的取值如下:
v≤5m/s时,fβx无限制;
5m/s<v≤10m/s时,fβx≤80μm;
v>10m/s时,fβx≤40μm

…………………………(37)
b) 对渗碳淬火钢、表面硬化钢、渗氮钢和氮碳共渗钢
yβ= Fβx……………………(38)
式中:Fβx=40μm。

……………………(39)
c) 当大、小齿轮的材料不同时,大、小齿轮的 和 应分别计算,然后计算平均值

……………………(40)

……………………(41)
4.6.2齿向载荷分布系数KHβ
4.6.2.1未经螺旋线修形的齿轮副
a)直齿轮副和单斜齿轮副6)(6)假定所有转矩从一个轴端输入,如果转矩从两个轴端输入或从双斜齿中间输入,有必要作更精确的分析。)

………………(42)
b)双斜齿轮副6),7)(7)离转矩输入端较近的半边斜齿轮的KHβ的值较大;空刀槽比齿宽小时,切向力被两个单斜齿均分。计算KHβ时若采用半个齿宽(包括半个空刀槽),所得值较大。因此,对大空刀槽双斜齿传输线,KHβ应按GB/T 3480中一般方法计算。)

………………(43)
4.6.2.2经螺旋线修形的齿轮副
a)直齿轮副和单斜齿轮副6)
——部分螺旋线修形8)(8)扭转变形可由螺旋线或螺旋角修形完全补偿。另外,要求补偿弯曲变形时必须采用鼓形齿。)(仅补偿扭转变形)

……………………(44)
——完全螺旋线修形(补偿扭转变形和弯曲变形)

……………………(45)
当KHβ<1.05时,取KHβ=1.05。
b)双斜齿传输线副6),7)
完全螺旋线修形9)(9)两个单斜齿完全螺旋线修形是必要的。部分螺旋线修形只是补偿扭转变形,对于对称布置的双斜齿传输线是不适合的。扭转和弯曲变形可由螺旋角修形完全补偿。然而,只修转矩输入端的单边齿轮常常已经足够,另一边斜齿轮的扭转和弯曲变形几乎相互补偿。但这种情况应予证实。)(补偿扭转变形和弯曲变形)

…………………………(46)
当KHβ<1.05时,取KHβ=1.05。
式(44)~式(46)是根据4.6的假定a)到g)推出的。
4.7弯曲强度计算的齿向载荷分布系数KFβ
KFβ=KHβNF……………………(47)
N
F=

……………………(48)
用b1/h1和b2/h2中的较小者作为b/h。边界条件:当b/h<3时,取b/h=3。对双斜齿轮,用bB代替b。
4.8齿间载荷分配系数KHα、KFα
接触强度计算的齿间载荷分配系数KHα和弯曲强度计算的齿间载荷分配系数KFα是考虑同时啮合的各对轮齿间载荷分配不均匀的影响系数。
对于高速齿轮:
KHα=KFα=1.0……………………(49)
5齿面接触强度(点蚀)计算
5.1基本准则
节点或单对齿啮合区内界点处的接触应力σH是齿面接触强度的计算基础。用两点中的较大σH值来确定承载能力。小轮和轮的接触应力σH和许用接触应力σHP均要分别计算,σH应当小于或等于σHP。
5.1.1强度条件
大、小轮在节点和单对齿啮合区内界点处的计算接触应力中的较大值σH,均应不大于其相应的许用接触应力σHp即:
σH≤σHp……………………(50)
或者,接触强度的计算安全系数SH均应不小于其相应的最小安全系数SHmin,即:
SH≥SHmin……………………(51)
上述两式中:σH——计算接触应力,N/mm2,见5.1.2;
σHp——许用接触应力,N/mm2,见5.1.3;
SH——接触强度的计算安全系数,见5.1.4;
SHmin——接触强度的最小安全系数,见1.4。
5.1.2计算接触应力σH
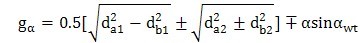
小轮和大轮的计算接触应力σH1和σH2分别按下述两式确定:

……………………(52)

……………………(53)
上述两式中:“+”号用于外啮合,“-”号用于内啮号;

——节点区域系数,见5.3;

——小轮及大轮单对齿啮合系数,见5.2;

——弹性系数,

,见5.4;

——螺旋角系数,见5.6;
b——齿宽(对于双斜齿传输线b=2bB),mm,取一对齿轮中节圆处的较小齿宽,忽略端面倒棱或修缘部分。对齿面硬化齿轮,齿宽既不包括非硬化部分,也不包括过渡区部分;
u——齿数比,u=z1,z2,、z1分别为大轮和小轮齿数。
5.1.3许用接触应力
根据GB/T3480(或ISO6336-5), 是在循环次数N
L=5×10
7时得出的,高速齿轮的循环次数可能超过这个值.当N
L≤5×10
7时,可按式(54)计算 ;当N
L>5×10
7时,在给出合适的条件(材料、制造)和有使用经验时,仍可按式(54)计算

,滞则,由式(55)计算

。

……………………(54)
或

……………………(55)
上述两式中:

——试验齿轮的接触疲劳极限,N/mm
2,见5.7;

——润滑剂系数,见5.8.1;

——速度系数,见5.8.2;

——粗糙度系数,见5.8.3;

——工作硬化系数,见5.9;

——接触强度计算的尺寸系数,见5.10;

——计算齿轮的接触极限应力,N/mm
2;

——基准许用接触应力,N/mm
2,

取为由式(54)计算的

值;
NL——应力循环次数。
5.1.4接触强度的计算安全系数SH
大、小齿传输线的SH分别计算。

……………………(56)
式中:

是按式(54)或式(55)计算。
5.2单对齿啮合系数ZB,ZD
当ZB>1或ZD>1时,ZB是把节点处的接触应力折算到小轮单对齿啮合内界点B处的接触应力的系数;ZD则是把节点处的接触应力折算到大轮单对齿啮合区内界点D处的接触应力的系数。
a)内齿轮
ZB=ZD=1
b)εβ≥1的斜齿轮
ZB=ZD=1
c)直齿轮
先计算参数M1和M2:

……………………(57)

……………………(58)
式中:da1(da2),db1(db2),z1(z2)分别为小轮(大轮)的齿顶圆、基圆直径和齿数;αwt为端面节圆齿合角;εα为端面重合度,见5.5.1。
当M1>1时,取ZB=M1;当M1≤1时,取ZB=1.0。
当M2>1时,取ZD=M1;当M2≤1时,取ZD=1.0。
d) εβ<1的斜齿轮副
ZB和ZD在直齿轮和εβ≥1的斜齿传输线之间插值确定:
ZB=M1-εβ(M1-1),ZB≥1……………………(59)
ZD=M2-εβ(M2-1),ZD≥1……………………(60)
当ZB和ZD等于1时,由式(52)和式(53)计算的接触应力是节圆柱10)(10)5.2中的方法适用于计算当节点位于接触线上时的接触应力。当节点C位于接触强之外时,ZB和(或)ZD按邻近的顶圆接触确定。对于εβ<1的斜齿轮ZB和ZD在直齿轮和εβ≥1的斜齿轮的值(在节点或邻近的顶圆上确定)之间线性插值确定。)上的接触应力。
5.3节点区域系数ZH是考虑节点处齿廓曲率对赫兹压力的影响并将分度圆上的切向转换为节圆上的法向力的系数。

……………………(61)
式中:

为基圆螺旋角,见式(98);α
t为端面分度圆压力角;α
wt为端面啮合角。
5.4弹性系数ZE
弹性系数ZE是考虑材料特性E(弹性模量)和v(泊桑比)对接触应力影响的系数。ZE的值见表3。
5.5重合度系数Zε
重合度系数Zε是考虑端面重合度和纵向重合度对圆柱齿轮齿面承载能力影响的系数。
a) 直齿轮

……………………(62)
b)斜齿轮
当εβ<1时

……………………(63)
当εβ≥1时

……………………(64)
表3部分材料组合的弹性系数ZE
|
齿轮1 |
齿轮2 |
|
|
材料 |
弹性模量
N/mm2 |
泊桑比v |
材料 |
弹性模量
N/mm2 |
泊桑比
v |
ZE
|
|
钢 |
206000 |
0.3 |
钢 |
206000 |
0.3 |
189.8 |
|
铸钢 |
202000 |
188.9 |
|
球墨铸铁 |
173000 |
181.4 |
|
铸锡青铜 |
103000 |
155.0 |
|
锡青铜 |
113000 |
159.8 |
|
灰铸铁 |
126000到118000 |
165.4到162.0 |
|
铸钢 |
202000 |
铸钢 |
202000 |
188.0 |
|
球墨铸铁 |
173000 |
180.5 |
|
灰铸铁 |
1, 18000 |
161.4 |
|
球墨铸铁 |
1730000 |
球墨铸铁 |
173000 |
173.9 |
|
灰铸铁 |
118000 |
156.6 |
|
灰铸铁 |
126000到118000 |
灰铸铁 |
118000 |
146.0到143.7 |
5.5.1端面重合度εα

……………………(65)
端面基圆齿距:

……………………(66)
啮合线长度:

………………(67)
上式中外齿轮取上排符号,内齿轮取下排符号。
式(67)仅在啮合线长度由大、小齿轮齿顶圆所限定时才有效,不适用于挖根齿廓。
5.5.2纵向重合度αβ

……………………(68)
式中:b为齿宽,mm,见5.1.2齿宽的定义。
5.6螺旋角系数Zβ
螺旋角系数是考虑螺旋角对接触应力影响的系数。

……………………(69)
5.7接触疲劳极限应力

GB/T 3480和GB/T8539中给出了常用齿轮材料、热处理方法及材料质量对接触疲劳极限应力影响的有关资料, 由标准试验齿轮的试验结果获得。
GB/T8539中还给出了ML、MQ、ME和MX质量等级的材料和热处理要求。除非别有协议,材料质量等级MQ为高速齿轮所要求的最低质量等级。
高速齿轮常用材料的接触疲劳极限 见图1~图3。
图1调质处理的碳钢、合金钢的
5.8润滑油膜影响系数ZL、ZV和ZR
ZL、ZV和ZR分别是考虑名义润滑剂黏度、相啮齿廓间的相对速度和齿面粗糙对接触区润滑油膜的影响。
当啮合齿轮的硬度不同时,用较软的材料来确定这些系数。
5.8.1润滑剂系数ZL11)(11)可选用ZL=CZL+4(1-ZZL)vf,vf=1/(1.2+80/v50)2,常用黏度参数见下表:
|
ISO黏度等级 |
VG32* |
VG46* |
VG68* |
VG100 |
VG150 |
VG220 |
VG320 |
|
名义黏度 v40
v50 |
mm2/s
mm2/s |
32
21 |
46
30 |
68
43 |
100
61 |
150
89 |
220
125 |
320
180 |
|
黏度参数vf |
- |
0.040 |
0.067 |
0.107 |
0.158 |
0.227 |
0.295 |
0.370 |
|
*仅用于高速齿轮。 |
)

………………(70)
a)当850N/mm2≤ ≤1200 N/mm2时:

……………………(71)
a)

<850N/mm
2时:

……………………(72)
b)

>1200 N/mm
2时:

……………………(73)
5.8.2速度系数ZV12)(12)可选择:ZV=CZV+2(1-CZV)vP,速度参数VP=1/(0.8+32v)0.5。)

……………………(74)
式中:

………………(75)
5.8.3粗糙度系数ZR

……………………(76)
或

……………………(77)
上述两式中:

——相对峰谷平均粗糙度,μm,见式(79);

、

——小轮及大轮齿面微观不平度10点高度,μm。
5.8.3.1粗糙度值

……………………(78)
在几个齿面测量13),14)(13)平均粗糙 (小轮齿廓)和 (大轮齿廓)由制造后的齿面状况确定。制造包括任何形式的跑合,如作为制造工序的一部分而专门进行的跑合,如有可能也包括使用状诚下的跑合。14)若粗糙度以Ra值(=CLA值)(=AA值)给出时,则可近似地取Ra=CLA=AA=Rz/6。),取其平均值。

……………………(79)

……………………(80)
式中:

——节点处诱导曲率半径,mm;

——分别为小轮及大轮节点处的曲率半径,mm;

……………………(81)

……………………(82)
对内齿轮,db取负号。
5.8.3.2指数CZR
a)当850850N/mm2≤ ≤1200 N/mm2时:

………………(83)
b)

<850N/mm
2时:

……………………(84)
c)

>1200 N/mm
2时:

………………(85)
5.9齿面工作硬化系数ZW
工作硬化系数ZW是考虑钢制大齿轮(结构钢、调质钢)与光整齿面(Rz≤6μm)的硬化小齿轮相啮合,从而使大齿轮齿面承载能力得能提高的系数。

………………(86)
式中:HB——齿轮副中较软齿轮齿面的布氏硬度;当HB<130时,ZW=1.2;当HB>470时,ZW=1.0。
5.10接触强度计算的尺寸系数ZX
ZX是考虑因尺寸的增大使材料接触强度降低的尺寸效应系数。统计数据表明,尺寸大小影响到应力梯度较小的次表层的缺陷(如果缺陷存在)与材料品质(影响锻造过程与金属结构的变化等)。
对于调质齿轮及相对于轮齿尺寸和相对曲率半径有合适渗层深度的表面硬化齿轮,ZX=1,当渗层较浅时,ZX应选择较小的值。
6轮齿弯曲强度计算
6.1基本准则
齿根的最大弯曲应力不应超过材料的许用弯曲应力,这是齿轮轮齿弯曲强度计算的基础。
6.1.1强度条件
计算齿根应力

应不大于许用齿根应力

,即

………………(87)
或者,弯曲强度的计算安全系数S
F应小于弯曲强度的最小安全系数

,即

………………(88)
上述两式中:

——齿轮的计算齿根应力,N/mm
2,见6.1.2,大、小轮分别计算;

——齿轮的许用齿根应力,N/mm
2,见6.1.3,大、小轮分别计算;

——弯曲强度的计算安全系数,见6.1.4,大、小轮分别计算;

——弯曲强度的最小安全系数,见1.4。
6.1.2计算齿根应力 15)(15)对于分支传动轮系(行星轮系、分流传动轮系),总的切向载荷不是完全均匀地分布在各个啮合副上(取决于设计,圆周速度和制造精度),需在式(89)中的KA后面插入不均载系数Kγ,以调整每个啮合副上的平均载荷。)
计算齿根应力

由下式确定:

………………(89)
式中:

——齿根应力的基本值,N/mm,对于大、小齿轮应分别确定。

…………………………(90)
式中:mn——法向模数,mm;

——载荷作用于单对齿啮合区外界点时的齿形系数,见6.2.1;

——载荷作用于单对齿啮合区外界点时的应力修正系数,见6.3;

——螺旋角系数,见6.4;
b——齿根圆柱上的齿宽(对双斜齿轮b=2bB),mm,当大、小齿轮的齿宽不相等时,最多把窄齿轮的齿宽加工上不超过两倍模数的长度作为宽齿轮的计算齿宽。当有鼓形修整或齿端修薄而使齿端不接触时,取大、小齿轮中的较小齿宽。
6.1.3许用齿根应力

根据GB/T 3480(或ISO 6336-5), 是在循环次数N
L=3×10
6时得出的,高速齿轮的循环次数可能超过这个值。当N
L≤3×10
6时,可按式(91)计算

;当N
L>3×10
6时,在给出合适的条件(材料、制造)和有使用经验时,仍可按式(91)计算

,否则,由式(92)计算

。

……………………(91)
或

……………………(92)
式中:

——计算齿轮的弯曲极限应力,N/mm
2;

——试验齿轮的齿根弯曲疲劳极限,N/mm
2,见6.5;

——基准许用弯曲应力,N/mm
2,

由式(91)计算,

等于由式(91)计算的

;

——试验齿轮的应力修正系数,如用本标准所给的

值计算时,取
YST=2.0……………………(93)

——相对齿根圆角敏感系数,见6.6;

——相对齿根表面状况系数,见6.7;

——弯曲强度计算的尺寸系数,见6.8。
6.1.4弯曲强度的计算安全系数SF
大、小齿轮的SF分别计算。
S
F=

……………………(94)
式中:

按式(91)或式(92)计算。
6.2齿形系数YF
齿形系数YF是考虑齿形对名义弯曲应力影响的系数。YF适合于载荷用于单对齿啮合区外界点时的情况。
用直齿轮和斜齿轮的当量齿轮来确定YF。当量齿轮的当量齿数为zn,zn及当量齿轮的其他参数的计算见6.2.1。
6.2.1外齿轮的齿形系数YF
用下式分别确定大、小齿轮的YF:

……………………(95)
式中:
——齿轮法向模数,mm;

——法向分度圆压力角;

, 的定义见图4。
图4影响外齿轮齿形系数YF的各参数
按式(95)计算YF时需满足下列条件:
a)30°切线的切点应位于由刀具的基本齿条展成的齿根过渡曲线上;
b)展成基本齿条的齿根圆角半径ρfp>0,齿轮的基本齿条齿廓见图5;
图5轮齿的基本齿条齿廓和参数(最终齿廓)
c)使用齿条形刀具如工齿轮轮齿。
外齿轮的YF用表4中的公式计算。
6.2.2内齿轮的齿形系数YF
假设以一个特殊齿条的齿形系数近似地代替内齿轮的齿形系数,该齿条的齿廓是基本齿条齿廓的变形,用该齿条可以展成出与内齿轮精确的外齿轮的法向齿廓(包括齿顶圆和齿根圆)齿顶载荷作用角为αn,见图6。
内齿轮的YF用表5中的公式计算。
图6 影响内齿轮齿形系数YF的各参数
6.3应力修正系数YS
应力修正系数YS是将名义弯曲应力抽象算成齿根局部应力的系数。大、小轮的YS分别计算。

……………………(120)
式中:
L=

…………………………(121)

……………………(122)

——外齿轮按式(102)、内齿轮按式(118)计算;

——外齿轮按式(112)、内齿轮按式(119)计算;

——外齿轮按式(103)、内齿轮按式(116)计算。
6.4螺旋角系数Yβ
将当量直齿轮的齿根应力作为计算的初始值,用螺旋角系数Yβ将其转换为相应的斜齿轮齿根应力。用这种方法来考虑倾斜啮合线的影响(减小齿根应力)。

……………………(123)
式中:

——分度圆螺旋角,(°)。
当ε
β>1.0时,取ε
β=1.0;当

>30°时,取

=30°。
6.5齿根弯曲疲劳极限YδrelT
YδrelT近似地表明在轮齿折断时,齿根处的计算应力超过材料的应力极限的程度。
a)对qs≥1.5的齿轮,取YδrelT=1;
b)对qs<1.5的钢制齿轮,取YδrelT=0.95。qs由式(122)确定。
6.7相对齿根表面状况系数YRrelT
l YRrelT是考虑齿根处的表面状况对齿根应力影响的系数。它主要取决于齿根过渡圆角处表面的粗糙度16)(16)齿根表面状况对弯曲强度的影响不仅取决于齿根过渡圆角处表面的粗糙度,还取决于尺寸和形状(齿根圆角上的一些凹痕问题,还没有充分研究的结果。这里提供的方法仅在划痕或类似缺陷的深度小于2Rz(2Rz为初步估计值)时才有效。
除了表同结构,其他影响弯曲强度的已知因素还有残斜压应力(喷丸)、晶界氧化、化学影响等。当齿根圆角被喷丸处理和(或)齿根圆角形状理想时,YRrelT应取稍大一点的值;当存在晶界氧化或化学影响时,则YRrelT应取稍小一点的值。)
a)所有材料,当2Rz<1μm时:
YRrelT=1.0……………………(124)
b)调质和渗碳淬火齿轮,当Rz≥1μm时:
Y
RrelT=1.674-0.529

……………………(125)
c)渗氮的渗氮钢、调质钢,氮碳共渗的调质钢、渗碳钢齿轮,当Rz≥1时
Y
RrelT=4.229+-3.259

……………………(126)
6.8尺寸系数YX
YX是考虑尺寸大小对下列各项因素影响的系数:材料组织中薄弱点的分布概率、应力梯度(根据材料理论,随尺寸的增加而减小),材料质量(由材料的锻造质量及缺陷等而定的)。
a)调质钢齿轮
YX=1.03-0.006mn…………………………(127)
限制条件为:0.85≤YX≤1.0。
b)渗碳淬火的渗碳钢齿轮,气体渗氮的调质钢和渗碳钢齿轮,氮碳共渗的调质钢和渗碳钢齿轮。
YX=1.05-0.01mn…………………………(128)
限制条件为:0.80≤YX≤1.0。
附录A
(标准的附录)
轮齿刚度c′和cr
轮齿刚度定义为使一对或几对同时啮合的无偏差轮齿在1mm齿宽上产生1μm挠度所需的啮合线上17)(17)可近似使用Ft、(Fm、Fth……)代替Fbt来确定轮齿变形,用有关系数或修形将Ft转换为Fbt(载荷与基圆柱相切),与其他不定因素(如测量值的公差)相比,这种转换所需要的修形可忽略不计。)的载荷。
直齿轮的单对齿啮合钢度c′是指一对轮齿的最大刚度,大致等于单齿啮合状态下一对轮齿的刚度18)(18)当εα>1.2时,单对齿啮合区外界点处的c′近似等于单对齿啮合刚度的最大值。)斜齿轮的c′是指一对轮齿在法截面内的最大刚度。
啮合刚度cr是所有啮合轮齿的刚度的平均值。
本标准适用范围为: (+号用于外啮合,-号用于内啮合)。
A1单对啮刚度c′
单位载荷FtKA≥100N/mm:

……………………(A1)
A1.1单对齿刚度的理论值cth′

……………………(A2)
式中:

…………(A3)
式中:符号“+”:“+”用于外啮合,“-”用于内啮合;系数C1~C2的值见表A1。
表A1系数C1~C2的值
|
C1 |
C2 |
C3 |
C4 |
C5 |
C6 |
C7 |
C8 |
C9 |
|
0.04723 |
0.1551 |
0.25791 |
0.00635 |
0.11654 |
0.00193 |
0.24188 |
0.00529 |
0.00182 |
A1.2轮坯结构系数CR
对实心盘形齿轮,取CR=1。
对其他齿轮:

……………………(A4)
边界条件:若bs/b<0.2,取bs/b=0.2;若bs/b>1.2;若SR/mn<1,取SR/mn=1,
代号的意义见图A1。
A1.3基本齿条系数CB
对于标准基本齿廓19)(19)基本齿条齿廓的参数:αp=20°、hap=mn、hfp=1.2mn、ρfp=0.2mn,式(A2)和式(A3)的适用范围为:x1≥±x2,-0.5≤x1±x2(符号“±”:“+”用于外 外合,“-”用于内啮合)。在100≤Fbt/b≤1600N/m范围内计算值和实际值的误差在+5%和-8%之间。),CBS=1(标准值);
对于其他基本齿廓,CBD(差别值)由式(A5)计算:

………………(A5)
A1.4附加说明
a) 内齿轮传动
内齿轮轮齿单对齿啮合刚度的近似值可由式(A2)、式(A3)计算,此时,式中的zn2取为无穷在。
b) 单位齿宽载荷FtKA/b<100N/mm

……………………(A6)
c)上述计算适用于刚制齿轮副,对其他材料组合的情况,参见GB/T 3480-1997中6.5。
A2啮合刚度cγ
εα≥1.2的直齿轮和β≤30°的斜齿轮,啮合刚度由式(A7)计算:

……………………(A7)
式中:c′由式(A1)确定。
附录B
(标准的附录)
非常规设计齿轮的特性
B1行星齿轮系数的动载系数
在有惰轮(中间轮)以及行星轮系(行星轮和太阳轮组成)的多啮合齿轮传动系中,有几个固有频率。这些固有频率比单啮合的单个齿轮副的固有频率或高或低。
尽管用本标准中的方法确的KV是不可靠的,但对初步评价或多或少还是有用的。建议:如果有可能,应使用更精确的方法重新确定KV。
对于非常规的齿轮设计,应优先使用对系统进行全面的分析来确定KV。
B1.1不均载系数Kγ(多载荷分支)
在多分支传动齿轮系中(如行星齿轮),总载荷不完全平均分布在每个啮合处,此时引入不均载系数来考虑。
适当时,可用KAKγ来代替式(52)、式(53)和式(89)中的KA。
B1.2外齿轮副的诱导质量
参见4.5.1.1。
B1.3临界转速
非常规设计齿轮的临界转速来实测或对整个系统进行全面分析来确定。然面,其他方法也可以近似使用。下面是一些例子。
a) 轴齿传输线的轴径近似等于轮齿中部的直径dm1
由于轴齿轮的较高的扭转刚度在很大程度上由轴的质量来补偿,因此,可用常规方法,即用小齿传输线的质量(轮齿部分)和名义啮合刚度Cγ来计算临界转速。
b) 两个刚性连接的同轴齿轮
计入较大齿轮的质量。
c) 两个小齿轮驱动一个大齿轮
通常大齿轮的质量比小齿轮质量大得多,各对啮合的齿轮可分别考虑,即:
——通常大齿轮的质量比小齿轮质量大得多,各对啮合的齿轮可分别考虑,即:
——第一个小齿轮和大齿轮构成的齿轮副;
——第二个小齿轮和大齿轮构成的齿轮副。
d) 行星齿轮传动
由于多分支传动包括多个啮合刚度而不是一个啮合处的刚度,因此,行星齿轮传动的振动特性非常复杂。用简单的公式计算的KV值,应进行仔细的理论或实验分析,或在使用经验的基础上加以验证。
1) 太阳轮和行星轮
确定太阳轮临界转速nE1的诱导质量:

………………(B1)
式中:

——分别为太阳轮和一个行星轮单位齿宽的转动惯量,kg·mm
2/mm;
rbsun,rbpla——分别为太阳轮和行星轮的基圆半径,mm;
p——计算轮系中行星轮的个数。
由式(B1)得出的mred值在计算N时要用到(见4.5.1.2),在该式中,计算啮合刚度Cγ要用近似等于单个行星齿轮的啮合刚度,计算z1时要用太阳轮的齿数。
对行星齿传输线,应注意Bp、Bf、Bk(见4.5.1.3)计片段公式中的Ft等于作用到太阳轮上的总切向载荷除以行星轮的个数。
2) 行星轮和与齿轮箱体刚性连接的内齿圈
此时,假定内齿圈的质量为无穷大,因此,诱导质量等于行星齿传输线的当量质量,mred由式(B2)确定:

……………………(B2)
式中代号的意义同式(B1)。
3) 行星齿轮和转动内齿圈
此时,内齿圈的当量质量按外齿轮处理,行星齿轮的诱导质量按式(B2)计算。当内齿圈与几个行星齿轮啮合时,按B1.3c)处理。
B1.4惰轮(中间轮)
当主动齿轮和从动齿轮大致相同,惰轮的尺寸也大致相同或稍大一点时,可按下列公式近似计算。
1) 诱导质量

………………………………(B3)
式中:J1、J2、J3——分别为小齿轮,中间轮和大齿轮单位齿宽的转动惯量,kg·mm2/mm。
2) 啮合刚度

……………………(B4)
式中:cr1,2——主动轮和中间轮齿轮副的啮合刚度;
cr2,3——中间轮和从动轮齿轮副的啮合刚度(cr的确定见附录A),如果临界转速比的范围为0.6<N<1.5时,建议进行更精度的分析。
如果中间轮远大于主动轮和从动轮,或者主动轮或从动轮远小于另外两轮时,KV可按单个啮合副分别计算,即:
主动轮-中间轮副;
中间轮-从动轮副。
上述mred的计算值可代替式(6)中的mred,用以下计算临界转速。
对未提及的情况,建议进行精确分析。
B2简单行星齿轮的齿向载荷分布系数KHβ、KFβ
齿向载荷分布系数KHβ、KFβ是分别用以考虑沿齿宽方向载荷分布不均匀对齿面接触和轮齿弯曲强度影响的系数。
适用于单级行星齿轮副,其特点如下20)(20)未考虑齿形联轴器的反作用力,当传动件为刚性和柔性联轴器的摩擦特性不满足要求时,反作用力将引起沿齿宽的载荷分布不均匀。):
太阳轮或行星架及有时连内齿圈都是浮动件,否则各行星齿轮的均载应通过加工的高精度和(或柔性来达到。有必要时,可参考上述条文的详细内容。)
需确定下列数据:
——根据4.6.1.1,确定加工偏差fma;
——根据4.6.1.2,确定跑合系数xβ;
——根据附录A确定啮合刚度。
考虑到行星轮之间的切向载荷分配的不均匀性,引入了系数Kγ(见B1.1),因此,每个行星轮的平均切向力为Fm=FtKAKγKV,Ft为每个啮合副所传递的名义切向力,对双斜齿轮Ft为两个单边斜齿轮的载荷之和。
a) 直齿传输线和单斜齿轮21)(21)同角注6)。)
1) 无螺旋线修形的太阳轮(Z)和行星轮(P)副,行星轮装于固定的刚性行星架销轴上

……………………(B5)
2) 部分螺旋线修形的太阳轮(Z)和行星轮(P)副,其他条件同1)(修形仅补偿扭转变形),KHβ按式(44)确定。
3) 无螺旋线修形的太阳轮(Z)和行星轮(P)副,行星轮带轴颈,该轴颈装于行星架的轴承内

……………………(B6)
4) 完全螺旋线修形的太阳轮(Z)和行星轮(P)副,其他条件同3),弯曲变形和扭转变形完全补偿,

按式(45)确定。
5) 无螺旋线修形的内齿圈(H)和行星轮(P)副,行星轮带轴颈,该轴颈装于行星架的轴承内

……………………(B7)
6) 部分螺旋线修形的内齿圈(H)和行星轮(P)副,其他条件同5),修形仅补偿弯曲变形,KHβ按式(45)确定。
7) 有或无螺旋线修形的内齿圈(H)和行星轮(P)副,行星轮装于固定的刚性行星架销轴上,KHβ按式(45)确定。
b) 双斜齿轮22)(22)见角注6)和7)。)
1) 无螺旋线修形的太阳轮(Z)和行星轮(P)副,行星轮装于固定的刚性行星架销轴上

……………………(B8)
2)部分螺旋线修形(仅补偿扭转变形)23)(23)见角注9)。)的与1)相同的齿轮副,KHβ按式(44)确定。
3)无修形的太阳轮(Z)行星传输线(P)副,行星轮带轮颈,该轴颈装于行星架的轴承内

……………………(B9)
4)完全螺旋线修形(补偿弯曲和扭转变形)的与3)相同的齿轮副,KHβ按式(46)确定。
5)无螺旋线修形的仙齿圈(H)和行星轮(p)副,行星轮带轴颈,该轴颈装于行星架的轴承内

……………………(B10)
6)部分螺旋线修形(仅补偿弯曲变形)的与5)相同的齿轮副,KHβ按式(46)确定。
7)有或无螺旋线修形的内齿圈(H)和行星齿轮(P),行星轮装于固定的刚性行星架销轴上,KHβ按式(46)确定。
附录C
(提示的附录)
使用系数KA的推荐值
C1使用系数的确定
使用系数最好通过对实际使用经验的分析来确定,见GB/T3480。当无实践经验可用时,通过分析研究确定。
使用系数KA用以修正Ft。KA是考虑齿轮啮合外部因素引起的附加到名义载荷上的载荷的影响系数。当不可能通过全面的系统分析或用合适的累积损伤准则的测量值来确定当量切向载荷时(见4.2),则按C2确定。
C2使用系数的近似值
表C1给出了使用系数的曲型值。当缺乏使用经验或无详细的分析资料可用时,可使用表C1的值。表C1的值应谨慎使用,因为在某些使用场合KA的值会比表C1中的值高得多。已使用过的值高达10。
表C1中的值仅用于在非共振区运行的、载荷相对稳定的传动。如果运行中有非正常重载、电机的起动转矩大、间歇使用或严重的反复冲击负荷,应当核算其静强度和有限寿命下的承载能力(见GB/T3480)。例如:
a) 透平机械和发电机
若系统中的电流短跳,转矩可高达名义转矩的6倍。这样的过载可通过安全联轴器保护。
b) 电动机和压缩机
若泵的频率和扭转振动的固有频率相相,会产生相当大的交变应力。
c) 厚板轧机和钢坯轧机
要考虑到入轧转矩可高达轧制转矩的6倍。
d) 用同步电动机驱动
启动瞬时(大约10个波幅变化的时间),产生的交变转矩可高达名义转矩的5倍。但,这个危险的交变转矩通常可以通过合适的调节予以完全避免。
由于尖峰转矩的大小取决于质量弹性系统,力的作用时间和安全保护(安全联轴器、电器的非同步转换保护),这里给出的资料和数值通常不能使用。
因此,在重要的场合要认真进行分析。建议达成合适的协议。
在用户的订单中说明的使用系数应考虑作为最小要求值。
要考虑附加的转动惯量(如飞轮效应产生的转矩)。有时,制动转矩是最大载荷,半影响承载能力计算。
假定使用的材料应有合适的过载能力。当使用的材料的过载能力很小时,应对尖峰载荷进的强度进行校核。
当使用的联轴器有如下特性时——液力偶合器、弹性联轴器和特殊的减振联轴器——KA在中等和严重冲击时的取值可以减小。
表C1使用系数KA
|
原动机工作特性 |
工作机工作特性 |
|
均匀平稳 |
轻微冲击 |
中等冲击 |
严重冲击 |
|
均匀平稳 |
1.00 |
1.25 |
1.50 |
1.75 |
|
轻微冲击 |
1.10 |
1.35 |
1.60 |
1.85 |
|
中等冲击 |
1.25 |
1.50 |
1.75 |
2.00 |
|
严重冲击 |
1.50 |
1.75 |
2.00 |
2.25或更大 |
表C2原动机工作特性
|
工作特性 |
原动机 |
|
均匀平稳 |
电动机(如直流电动机)、平稳运行的1)蒸汽轮机或燃汽轮机(起动力矩很小,起动不频繁) |
|
轻微冲击 |
蒸汽轮机、燃汽轮机、液压马达或电动机(具有大的、频繁的起动转矩)2) |
|
中等冲击 |
多缸内燃机 |
|
严重冲击 |
单缸内燃机 |
|
1) 可根据振动试验或类似设备确定。
2) 见GB/T 3480中寿命系数ZNT、YNT的图。考虑瞬间过载的影响,见C2中的例子。 |
表C3工业齿轮工作机的工作特性示例
|
工作特性 |
工作机 |
|
均匀平稳 |
载荷平稳的发电机,载荷平稳的带式或板式输送机,螺杆输送机,轻型升降机,包装机械,机床进给机械,通风机,轻型离心机,离心泵,用于轻质液体或均匀密度物料的搅拌机、混料机,剪切机,压力机,冲压机1);立式传动装置和往复移动齿轮装置2) |
|
轻微冲击 |
载荷非均匀平稳的带式或板式输送机,机床主传动装置,重型升降机,起重机回转齿轮装置,工业或矿山用风机,重型离心机,离心泵,粘性介质和非均匀密度物料的搅拌机、混料机,多缸活塞泵、给水泵,通用挤压机,压延机,回转窑,轧机连续的锌带、铅带轧机,线材和棒材轧机3) |
|
中等冲击 |
橡胶挤压机,连续工作的橡胶和塑料混料机,轻型球磨机,木工机械(锯片和车床),钢坯轧机3),4) |
|
严重冲击 |
挖掘机(斗轮驱动、斗链驱动、筛分驱动),挖土机,重型球磨机,橡胶压轧机,破碎机(石料、矿石),铸造机械,重型给水泵,钻机,压砖机,卸载机,落砂机,带材冷轧机3),5),压坯机,轧碎机。 |
|
1) 额定载荷为最大转矩。
2) 额定载荷为最大启动转矩。
3) 额定载荷为最大轧制转矩。
4) 转矩受限流器限制。
5) 带钢的频繁开裂会导致KA上升到2.0。 |
表C4高速齿轮及其类似齿轮工作机工作特性示例
|
工作特性 |
工作机 |
|
均匀平稳 |
离心式空气压缩机(空调装置用、加工工艺用),功率测试台架,基本负荷或平稳负荷的发电机和励磁机,造纸机主传动装置 |
|
轻微冲击 |
管线离心式空气压缩机,轴流式压缩机,离心式风扇,载荷峰值发电机和励磁机,离心泵,旋转式轴流泵,造纸工业,精研机,机床辅助驱动,压印机 |
|
中等冲击 |
旋转凸轮风机,径向流动的旋转凸轮压缩机,活塞压缩机(3缸或更多),矿山和工业上大型频繁起启的吸气机,锅炉离心供水泵,活塞泵(3缸或更多) |
|
严重冲击 |
活塞压缩机(2缸),离心泵(带水箱),泥浆泵,活塞泵(2缸) |
附录D
(提示的附录)
参考文献目录
ISO53:1998 通用机械和重型机械用圆柱齿轮:标准基本齿条齿廓
ISO54:1998 通用机械和重型机械用圆柱齿轮:模数和径节
ISO468:1982 表面粗糙度:参数、值和评定规则
ISO 701:1998 国际齿轮标志法:几何参数的符号
ISO 9085-1 工业齿轮承载能力计算 详细方法
ISO9085-2工业齿轮承载能力计算 简化方法
ISO9083 船用齿轮承载能力计算
ISO 9082车辆齿轮承载能力计算