2.1联轴器的特点
联轴器是一种用来连接两轴或轴和回转件的机械部件,并且能够传递转速和扭矩的一种机械装置口在传递过程中一同回转而不脱开也不改变转动方向和扭矩大小,有些联轴器还有补偿两轴相对位移和缓冲减振等功能。此外,有些联轴器还可兼作防止传动轴系过载的安全装置。
普通联轴器是用来连接同一轴线上的两轴,而万向联轴器是用于连接两相交轴或平行、交错的两轴,它不但允许有较大的轴间夹角,而且允许轴间夹角在限定的范围内随着工作需要而变动。而且其传递的载荷范围也非常广阔,从数万牛顿.米至几牛顿.米不等,它又有结构紧凑,传动效率高,维修保养比较方便等优点,因此应用较广,常用于交通运输机械、冶金机械、石油机械、重型机械和精密机械等。
2.2弹性联轴器
弹性联轴器由于具有产生较大弹性形变和阻尼作用的弹性元件,因此除了能补偿两轴相对位移外,还能起缓冲和吸振的作用。弹性联轴器能适应载荷的波动,应用较广,类型也较多。联轴器的缓冲和吸振性能主要与其刚度和阻尼有关。
弹性联轴器的特点就是在两个半联轴器的连接中设置弹性元件。通过弹性元件的弹性变形来补偿连轴轴线的相对位移。又因弹性元件能储蓄机械功,故弹性联轴器具有缓和冲击、阻尼振动的能力,弹性元件的需用变形功越大,则这种能力也越强。另外改变弹性元件的弹力常数能改变扭转振动的自振频率,从而防止扭转振动的发生,弹性联轴器还能改善轴和支撑的工作条件,减小联轴器所受的瞬时过载,由于弹性联轴器有这些特点故在受变载荷、启动频繁、高速运转、经常反向以及两轴不便于严格对中的地方经常采用。
弹性联轴器的扭转刚度可表示为
C=

(2-1)
式中M
t——联轴器所受的扭矩kgf·cm;
θ——两半联轴器在扭矩作用下的相对扭转角rad
当联轴器受扭矩时,转角与扭矩成正比关系(C为常数)的联轴器,称为定刚度联轴器;不成正比关系(C为变数)的称为变刚度联轴器。定刚度弹性联轴器可用于载荷变化不大的机器连接,刚度随扭转角增加而增加的变刚度联轴器时用于载荷变化较大或有共振可能的轴系,以避免共振。
弹性联轴器结构简单、制造容易、维护方便,从而使它的应用日益广泛:弹性联轴器的弹性元件分为金属弹簧式和非金属弹簧式。非金属弹性元件一般用橡胶、尼龙、皮革等制成,均为变刚度的,内摩擦大,重量轻,单位体积材料储存的变形能大,阻尼性能好,不需润滑。但橡胶强度低,易蠕变,耐油耐热性差,故联轴器发生剧烈振动时要注意温升。橡胶弹性元件承受变载荷时,宜预紧,避免反向应力,尼龙制的弹性元件强度比较好,比橡胶耐磨,弹性模量也比橡胶大得多,使用温度范围为-20到-70℃。
2.3高弹性联轴器
高弹性联轴器的弹性元件为橡胶组合环,它是由橡胶弹性环硫化在两个金属盘上制成。橡胶弹性环一般成对配置,为了增加橡胶弹性环与金属盘的粘结面积,把两者的接触面设计成锥形,再加上装配是的预压缩变形产生的与压应力,从而提高了联轴器的承载能力和可靠性。对于较大功率的传动,可采用多列橡胶环。
高弹性橡胶联轴器的橡胶组合环与连接盘、连接凸缘用螺栓连接在一起,一对像胶组合环之间设有内外限制盘,构成联轴器的整体。把联轴器两侧的连接法兰与轴上套装的轮毅法兰相连即可用于传递扭矩。这种联轴器具有高的弹性和良好的减震性能,无相对摩擦,不需润滑,适用于潮湿、多尘、冲击较大的两轴连接。
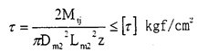
高弹性橡胶联轴器能补偿轴线间较大的综合位移,按不同的规格,许用径向位移△y=1.2~6.2mm,许用轴向位移△x=0.7~3.5mm,许用角位移△a=3.2°,被连接两轴的相对扭转角θ≤10°,瞬时最大扭矩时为θ≤25°,高弹性橡胶联轴器传递的扭矩与扭转角的关系
式中Dm2——橡胶环的平均外径cm,
Dm2——橡胶环的平均内径cm,
Lm2——橡胶环平均外径出的外缘宽度cm,
G——为橡胶的切变模量kgf/cm2,z为橡胶环的数目。
橡胶环的扭剪应力
2.4联轴器的选择
目前联轴器种类繁多,性能各异。根据不同的原则可以由不同的分类。一般可分为刚性和弹性两大类。刚性联轴器中又有固定式和可移式两种不同的联轴器。弹性联轴器很据弹性元件的不同可分为金属弹性元件联轴器和非金属弹性元件联轴器两种类型。不司结构和材料的联轴器的承载能力差别很大。以传递动力为主的联轴器与以传递或控制运动为主的联轴器显然不同。不同类型的联轴器适应的转速范围亦不一样。由于制造和安装误差,运转中轴承磨损和基础下沉,工作时受载变形和热变形等各种原因,联轴器所联两轴难免发生相对位移。通常,联轴器补偿两轴相对位移有两种方式,一种是借助联轴器中相对可动元件,使两半联轴器发生相对运动:另一种是在联轴器中安置弹性元件,借助此元件的弹性变形,使两半联轴器发生相对运动。第一种补偿方式,由于有滑动摩擦,引起磨损、摩擦发热和功率损耗,需要定期润滑和维护。这类联轴器工作性能在很大程度上与其润滑和维护条件有关。第二种补偿方式,可以避免摩擦,因而没有磨损,也不要润滑和经常维护,但这类联轴器补偿两轴相对位移的能力较差。
联轴器的选用一般是根据工作条件,原动机及工作机械的特性确定联轴器的合适类型。选用联轴器是要考虑传递扭矩的大小,载荷有否冲击、循环及共振可能性等;还须考虑连轴器的制造误差、装配引起的误差、轴受载荷和受热膨胀后的变形,以及部件之间相对运动等原因引起的两轴轴线的相对位移大小。
选择联轴器的类型时,还应考虑工作环境的影响。例如温度、湿度及腐蚀性介质等。油、溶剂、阳光和温度对含有橡胶弹性元件的联轴器影响较大,容易引起橡胶老化而改变其物理性能和机械性能。此外还应注意选用有润滑的联轴器因漏油而污染环境或产品,以及对联轴器降低噪音和保证安全的要求。
此外,还应考虑联轴器的外形尺寸和安装方法,使联轴器能适应工作环境,装配、挑战和维修能适应给定的操作空间。应能在轴不需作轴向移动的条件下,装拆大型联轴器。
联轴器的类型选定后,就可以根据轴的直径、扭矩和转速确定联轴器的型号和结构尺寸。必要时要进行强度校核,对关键的零部件进行验算(如转速高适应验算轮毂外缘的离心应力,并需进行平衡检验,如是弹性联轴器应计算单性元件的变形)。大部分的联轴器已经标准化和系列化,可以参照有关手册查阅和选用。有时可根据工作要求,参照详尽联轴器的标准自行设计,决定联轴器的结构和尺寸。
选择联轴器时,联轴器的计算扭矩应取机械不稳定运转时的动载荷及过载时的最大扭矩。如最大扭矩能精确求出时,则此最大扭矩就可作为联轴器的计算扭矩,而最大扭矩不能精确求得时,联轴器的计算扭矩可按下式确定
Mtj=KMt (2-4)
式中Mtj——计算扭矩,kgf·m
K——工作情况系数,其值见表2.1
Mt——联轴器需传递的扭矩,kgf·m
表2.1 工作机械的工作情况系数
|
原动机 |
工作机械 |
K |
|
电动机 |
皮带运输机,鼓风机
链式运输机,刮板运输机,螺旋运输机,离心泵,搅拌机等
往复式泵,往复式压缩机,球磨机,破碎机,冲剪机等
起重机,升降机等 |
1.25~1.5
1.5~2.0
2.0~3.0
3.0~4.0 |
|
涡轮机
往复式
发动机 |
发电机,离心泵,鼓风机等
发电机等
离心泵等
往复式工作机(如压缩机) |
1.2~1.5
1.5~2.0
3~4
4~5 |
从表2.1中可知,有比较大的变化范围,机器的工作愈不平稳,K值就愈大。应特别注意表中给出的K值有比较大的变化范围,一般对刚性固定式联轴器、刚性可移式联轴器选用表中较大的K值,弹性联轴器选用表中较小的K值,工作机械的转动惯量小,载荷平稳时,取较小的K值,对于安全联轴器则选用最小的K值。
2.5联轴器的工作情况
大功率柴油机输出转矩的不均匀性对传动装置的工作可靠性和寿命有重大影响。对多缸柴油机采说,由于以下四方面原因的存在:
(l)柴油机气缸内爆发压力所产生的激振力矩是脉冲式周期变化的;
(2)柴油机曲柄连杆机构的质量及惯性所产生的激振力矩是周期变化的;
(3)接受功率部件所吸收的转矩不是定值而产生的激振力矩是随机变化的;
(4)各缸功率不均衡偏差的客观存及其分布的随机性导致柴油机输出转矩产生随机波动性等,致使柴油机输出转矩的不均匀性不可避免。
为了改善传动装置的工作条件、延长其使用寿命,一般在柴油机与传动装置之间安装具有减振性能的弹性联轴器,从而达到有效衰减柴油机输出转矩的不均匀性。但是,具有某一定值弹性的联轴器,并不是在任意的变扭矩作用下都能产生减振的效果,有时反而会引起更强烈的振动。其原因不在于此联轴器刚度的大小。只有联轴器的刚度与整个传动轴系的其他参数和在和协调时,才能产生减振效果。
联轴器的弹性元件采用剪切型橡胶元件,该橡胶元件的弹性高,外形尺寸大,适用于对减振和缓冲要求较高的传动。联轴器受到来自柴油机的不均匀的输出转矩以及万向节所传递的扭转振动,使联轴器两轴存在相对径向位移,引起一定数量的径向附加载荷和轴向附加载荷,从而导致弹性原件的失效。如果径向位移过大,不仅对弹性联轴器会造成影响,还将使万向轴和轴承承受很大的附加径向载荷;产生振动,噪声等不良影响。
联轴器是一种用来连接两轴或轴和回转件的机械部件,并且能够传递转速和扭矩的一种机械装置,在传递过程中一同回转而不脱开也不改变转动方向和扭矩大小,有些联轴器还有补偿两轴相对位移和缓冲减振等功能。本章通过对联轴器的系统介绍,基本了解了普通联轴器以及弹性联轴器的特点及所用场合。了解联轴器的选用标准和方法,同时还分析了的联轴器的工作情况。联轴器受到来自柴油机的不均匀的输出转矩以及万向节所传递的扭转振动,使联轴器两轴之间产生相对位移,引起一定数量的径向附加载荷和轴向附加载荷,从而导致弹性元件的失效。