齿轮故障振动的研究
齿轮是机械传动系统的主要部件,它已被广泛地应用在旋转机械及动力传输装置中。齿轮在进行啮合传动时,由于外载荷变化、齿轮加工误差、齿轮啮合刚度的时变性及啮合冲击等因素的影响,齿轮将产生振动。齿轮在振动时构成一个线性时变或非线性时变系统。齿轮在传动过程中,随着齿面磨损的扩展,齿轮的齿形误差、基节误差和齿侧间隙也将增加。齿轮齿侧间隙对齿轮振动特性影响的研究,国外起始于1967年KNakamura的研究,主要利用数值仿真从时域分析研究了齿轮系统的振动特性。近年来国外AKahlarman等学者从频域上研究了一定齿侧间隙对齿轮幅频特性的影响,并从实验上验证了当存在齿轮侧隙时,一个齿轮一传动轴一支撑轴承系统会产生亚谐和超谐共振。本章在建立齿轮振动微分方程的基础上,用变步长Runge-Kutta法求出了存在间隙时齿轮振动的时程响应的数值解,并用FFT方法求出时程响应的幅值谱,对在非共振情况下齿轮侧隙和载荷的变化对齿轮振动频率的影响进行了研究。研究结果表明,齿侧间隙的变化对齿轮的振动故障频率成份有很大的影响;齿侧间隙的值一定时,如果齿轮的工作转速和工作载荷发生改变时,齿轮的振动故障频率成份也有改变。该结果对齿轮的故障诊断和齿轮传动系统动态设计有重要的意义。
此外,本章还对齿轮偏心质量对齿轮扭转振动的影响进行了分析研究,并分析了频谱特征。
2.1齿轮振动力学模型及啮合力分析
设有一对齿轮传动,齿轮1为主动齿轮,齿轮2为从动齿轮,它们分别有一偏心质量m
l和m
2,振动力学模型见图2-l。设主动齿轮的扭转振动角位移、角速度、角加速度和旋转角速度分别为

和ω
1,从动齿轮的扭转振动角位移、角速度、角加速度和旋转角速度分别为

和ω
2,则有ω
1=iω
1(i为齿轮传动比)。
为了研究问题的方便,特作如下假设:
(l)齿轮的支撑轴又短又粗,近似为刚性轴,故不考虑其横向振动及扭转振动;
(2)滚动轴承刚度较大,作为刚性支撑处理并忽略轴及轴承的阻尼。
作用在主、从动齿轮的力矩分析如下:
(1)作用在主动齿轮上的驱动力矩T1(t)是常数,即T1(t)=C;而作用在从动齿轮上的工作阻力矩T2(t)可看作一个恒量Tm与幅值为TaT简弦变量之和:
T2(t)=Tm+TaTsin(ωTt+фT) (2-1)
式中ωTt、фT-分加这从动齿轮上的工作阻力矩T2(t)变化圆频率和初始相位角。
图2-1中,rb1——主动齿轮基圆半径;rb2——从动齿轮基圆半径;K(t)——齿轮啮合刚度;e1——主动齿偏心距;e2——从动齿轮偏心距;β1——主动齿轮不平衡质量的初始角度;β2——从动齿轮不平衡质量的初始角度;δ(t)——齿轮的综合误差;JD1——主动齿轮转动惯量;JD2——从动齿轮转动惯量;C(t)——齿轮阻尼系数;b——具侧间隙;n-n——齿轮啮合线方向。
(2)作用在主、从动齿轮间的动态啮合力及啮合力矩
i)当不考虑齿侧间隙时,动态啮合力:
PnK(t)[X-δ(t)] (2-2)
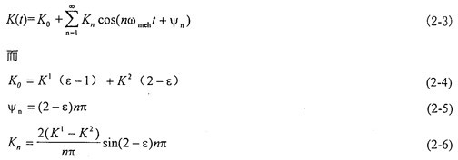
式中X=rb1tgθ1-rb2tgθ2为主、从动齿轮间的相对振动位移;K(t)为齿轮啮合刚度,近似视为矩形波,可展为富氏级数:
式中:ε——重合度;ωmeh——齿轮啮合频率;Kn——齿轮刚度谐波项;K1——单对齿啮合刚度;K2——两对齿啮合刚度;Ψn——齿轮刚度谐波项相位。
一对齿轮的综合误差δ(t)也可展为富氏级数:
式中:δ(t)——齿轮误差谐波系数;

——齿轮误差谐波项相比;
啮合力矩Pnrbi (i=1,2)
ii)当考虑齿侧间隙时,动态啮合力:
Pn K(t)f(rb1tgθ1- rb2tgθ2-δ(t))= K(t)f(t) (2-8)
其中f(t)为分段非线性函数,可表示为如下形式:
(3)阻尼力矩:
C(t)(

- (t))r
b1 (i=1,2)(不考虑齿侧间隙) (2-10)
或C(t)f′(t)rb1 (i=1,2)(考虑齿侧间隙) (2-11)
其中:齿轮阻尼系数C(t)=2

,m
red——啮合齿轮当量质量。阻尼比 根扭图2-2取值。阻尼系数C(t)也可根据下列公式取值:
式中:e——中间变量:V为齿面间相对滑动速度。
(4)由不平衡质量即偏心质量造成的附加力(啮合力方向):
2.2齿轮振动支力学方程
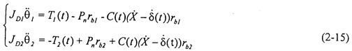
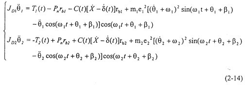
根据上节单级齿轮系统的受力分析,可得θ1、θ2两自由度主从动齿轮振动微分方程:
式中

。很明显,由于θ,

, 前面的系数和时变刚度K(t)、非线性函数f(t)有θ,

有关,不是常数,故方程组(2-14)是一个非线性时方程组。
2.3方程考虑解法考虑齿轮齿侧间隙的振动频谱特征
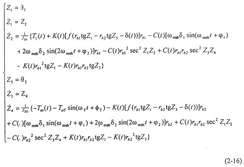
当不考虑偏心质量,而只考虑存在齿轮齿侧间隙时,方程组(2-14)可化为:
由于上式是一个非线性时变方程组,它的理论解无法得出,故采用数值解法求解。为了便于计算,将方程组(2-15)转化到状态空间中,将方程组表达成:

=f
i(Z
1,Z
2,Z
3,Z
4),i=1,2,3,4,则原方程组可表达成:
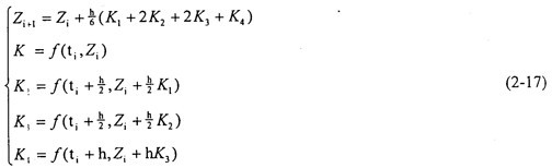
2.3.1方程数值解法
采用经典的四阶Runge-Kutta法或四阶的Runge-Kutta-Gill法方程级的数值解,即可求得齿轮的扭转振动时程响应。为了保证求解收敛,求解过程中应采用步长迭代。其计算公式如下:
1.鬼神代初始值的选取:
有三种方式:
(1)

,即

这种取值方法对求瞬态应较为有利,但计算时间较长时也可求得稳态响应;
(2)

和

的值根据额定扭矩下求得齿轮扭转角,

和

的值取额定旋转角速度,迭代时间很长才能求得稳态响应;
(3)

和

的值根据额定扭矩下求得齿传输线扭转角,

和

,这种方法可在较短的时间内求得稳态响应。
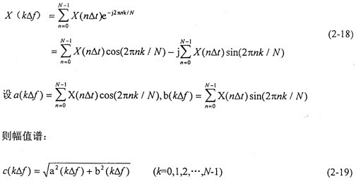
2.幅值谱计算
在求得了齿轮的时程响应后,经过FFT变换可求得齿轮相对振动的幅值谱。幅值谱计算公式:
3.数值算例
以直齿圆柱齿轮为例(斜齿圆柱齿轮应把齿数Z换成当量齿数ZV),计算齿轮齿侧间隙变化对齿轮振动故障频率成份的影响以及齿轮工作载荷及转速的对齿轮振动故障频率成份的影响。取零初始条件计算。
4.齿轮具体参数如下:
模数 m=3mm
齿数 Z123,Z245
分度圆半径 r1=34.5mm,r2=67.5mm
基圆半径 rb132.4mm,rb2=63.4mm
扭矩 T1=63.47Nm,T2124.57Nm
重合度 ε=1.677
齿宽 b=20mm
啮合刚度谐波项: K05.6157×108N/m,K11.8107×108N/m,K2=0.9558×108 N/m,K3=0.0691×108 N/m
齿轮当量质量 m1=0.293kg, m2=1.216kg
阻尼系数 C=3275
齿轮转动惯量 JD1=0.000307945kgm2,JD2=0.004888484kgm2
电动机转速 n=960rpm
齿侧间隙 0~0.3mm
2.3.2考虑齿轮齿侧间隙的振动频谱特征
轴承对箱体动态激励力和齿传输线相对振动位移X=(rb1tgθ1-rb2tgθ2)有相对振动速度 (=rb1sec2θ1 1)有关,文中只列出 的计算结果,图2-3~图2-13为各种工况的齿轮故障振动分析,其中包括齿轮轮齿相对振动速度时程响应图、齿轮轮齿相对振动速度幅值谱图和相平面图。
(l)齿轮工作转速一定时,齿侧间隙的变化对齿轮故障振动频率的影响:
图2-3是工况为:齿轮啮合频率为5888Hz、齿侧间隙b=0齿轮故障振动分析,其中(a)图为齿轮轮齿相对振动速度时程响应图,(b)图为齿轮轮齿相对振动速度幅值谱图。从图上可看出,当齿侧间隙为0时,此时振动故障频率为齿轮啮合频率fmeh。的1、2、3倍。相平面图也稳定于一个椭园极限环(见(c)图)。
图2-4是工况为:齿轮啮合频率为5888Hz、但齿侧间隙b=0.1mm=

。(齿厚)齿轮故障振动分析,其中(a)图为齿轮轮齿相对振动速度时程响应图,(b)图为齿轮轮齿相对振动速度幅值谱图。从图上可看出,当齿侧间隙增加到O.lmm时,此时振动故障频率仍为齿轮啮合频率f
meh的1、2、3倍。相平面图也稳定于一个封闭曲线(见(c)图)。
图2-5是工况为:齿轮啮合频率仍为5888Hz、但齿侧间隙增加到b=0.15mm=

(齿厚)齿轮故障振动分析,其中(a)图为齿轮轮齿相对振动速度时程响应图,(b)图为齿轮轮齿相对振动速度幅值谱图。从图上可看出,当齿侧间隙继续增加到0.15mm时,齿轮轮齿相对振动速度波形有较大的变化,此时振动故障频率成份发生了改变,振动故障频率为齿轮啮合频率f
meh的1/3、2/3、3/3、…倍。极限环经过反复振荡后也稳定于一个封闭曲线(见(c)图)。
图2-6对应工况为:齿轮啮合频率仍为5888Hz、但齿侧间隙增加到b=0.20mm

(齿厚)齿轮故障振动分析,其中(a)图为齿轮轮齿相对振动速度时程响应图,(b)图为齿轮轮齿相对振动速度幅值谱图。从图上可看出,当齿侧间隙为0.20mm时,齿轮轮齿相对振动速度波形也有较大的变化,振动速度幅值较前面增加了,此时振动故障频率成份较复杂,振动故障频率为齿轮啮合频率f
meh的1/6、2/6、3/6、…倍。相平面图趋向于一混沌状态边缘(见(c)图)。
图2-7是当齿轮啮合频率仍为5888Hz、但齿侧间隙增加到b=0.25mm=

(齿厚)时,齿轮轮齿相对振动速度时程响应图((a)图)和齿轮轮齿相对振动速度幅值谱图((b)图)。从(b)图上可看出,当齿侧间隙增加到0.25mm时,此时振动故障频率成份又发生了改变,振动故障频率为齿轮啮合频率f
meh的l/12、2/12、3/12、…倍。
图2-8中,(a)图和(b)图分别是当齿轮啮合频率仍为5888Hz、但齿侧间隙增加到b=0.3Omm

(齿厚)时,齿轮轮齿相对振动速度时程响应图和齿轮轮齿相对振动速度幅值谱图。从(b)图上可看出,当齿侧间隙为0.30mm时,此时振动故障频率成份也发生了改变,振动故障频率为齿轮啮合频率f
meh的1/5、2/5、3/5、…倍。
总之,齿侧间隙的变化对齿轮故障振动频率有很大的影响。
(2)工作转速对齿轮振动故障频率的影响(此时设齿侧间隙b=0.2mm):
图2-9是当齿轮啮合频率为1300Hz、齿侧间隙b=0.2mm时,齿轮轮齿相对振动速度时程响应图((a)图)和齿轮轮齿相对振动速度幅值谱图((b)图)。从(b)图上可看出,当齿侧间隙为0.2mm时,此时振动故障频率为齿轮啮合频率fmeh的1、2、3倍,分数谐波不明显。
图2-10中,(a)图和(b)图分别是当齿轮啮合频率增加到4000Hz、齿侧间隙增加到b=0.2mm时齿轮轮齿相对振动速度时程响应图和齿轮轮齿相对振动速度幅值谱图。从(b)图上可看出,此时振动故障频率仍为齿轮啮合频率fmeh的1、2、3倍,分数谐波也不明显,但2fmeh的幅值比1fmeh的大。
图2-11中,(a)图和(b)图分别是当齿轮啮合频率为so00Hz、齿侧间隙b=0.2mm时齿轮轮齿相对振动速度时程响应图和齿轮轮齿相对振动速度幅值谱图。从(b)图上可看出,此时振动故障频率发生了改变,振动故障频率为齿轮啮合频率fmeh的1/13、2/13、3/13倍,明显出现分数谐波。
(3)工作载荷幅值的变化对齿轮振动故障频率的影响:
图2-4(b)是轻载时(小的齿侧间隙)齿轮轮齿相对振动速度幅值谱图。从图上可看出,此时振动故障频率为齿轮啮合频率fmeh的1、2、3倍,无分数谐波成份出现。
图2-12是中载、齿侧间隙增大时齿轮轮齿相对振动速度幅值谱图。从图上可看出,此时振动故障频率为齿轮啮合频率fmeh的1/6、2/6、3/6、…倍,分数谐波成份明显。
图2-13是更大的载荷(齿侧间隙保持不变)时齿轮轮齿相对振动速度幅值谱图。从图上可看出,此时振动故障频率为齿轮啮合频率fmeh的l/4、2/4、3/4、…倍,分数谐波成份非常明显。可看出非线性时变系统与线性时变系统和线性系统的齿轮振动故障频率有很大的不同。
2.4考虑齿轮偏心的振动频谱特征
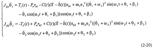
当只考虑齿轮扭转振动而不考虑齿轮及轴的横向振动时,以往研究都没有考虑到齿轮偏心质量对齿轮扭转振动的影响,实际上这个影响是存在的。不考虑齿侧间隙时,Pn取(2-2)式,代入式(2-13)可得单级齿轮系统带偏心质量的振动微分方程:
由于θ,

前面的系数和时变刚度K(t)及θ,

,有关,不是常数,故方程组(2-14)也是一个非线性时变方程组。
采用变步长R-K方法解方程组(2-20),得到齿轮相对振动位移、速度时程响应,如对这时域信号进行FFT变换,就可得到幅值谱。图2-14(a)、2-14(b)分别是考虑齿轮偏心与不考虑齿轮偏心的齿轮振动位移、速度比较图。从图上可看出,考虑齿轮偏心与不考虑齿轮偏心在齿轮振动位移、速度的幅值上是有差别的,前者比后者在最大幅值处大5%左右;两者在振动位移、速度的相位上无差别。图2-15(a)、图2-15(b)是齿轮轮齿相对振动速度时程响应图和齿轮轮齿相对振动速度幅值谱图。从图上可看出,此时振动故障频率发生了改变,振动故障频率除了齿轮啮合频率r
meh的1、2、3倍外,还有齿轮所在轴的轴频。
根据前面的分析结果,我们可认为在分析齿轮的扭转振动故障频率时,由于齿轮轮齿的动力藕合,必须考虑齿轮的偏心质量的影响。
2.5小结
1在齿轮工作转速和载荷不变时,齿侧间隙的变化对齿轮故障振动频率有很大的影响。当齿轮磨损加剧、齿侧间隙增加时,齿轮故障振动频率除了有啮合频率的整数倍成份外,还增加了分数倍的谐波成份。
2当考虑齿侧间隙时,工作转速的变化对齿轮振动故障频率也有影响。当转速达到一定数值时,工作转速越高,齿轮故障振动频率分数成份越明显。而当不考虑齿侧间隙时,工作转速的变化对齿轮振动故障频率的成份无影响。
3当考虑齿侧间隙时,工作载荷幅值的变化对齿轮振动故障频率的影响。轻载时,齿轮故障振动频率无分数成份:中载和重载时,载荷越大,齿轮故障振动频率分数成份次谐波越明显,且幅值也增加。
4在分析齿轮的扭转振动故障频率时,由于齿轮轮齿的动力耦合的效果,应考虑齿轮的偏心质量的影响。