基于图形结构的智能化设计方法
【本章摘要】本章首先分析了基于产品图形的智能化设计的内涵、发展和形式描述,详细分析了参数化设计的原理、集成化设计的系统结构和智能图元化设计的详细内容。
4.1CAD系统的智能化
CAD系统的智能化一直是人们追求的目标。目前,智能化的研究重点是在传统CAD系统中加强推理和对知识库的管理、查询能力,形成智能CAD(ICAD)系统。当前的智能设计分成两种类型,即设计型专家系统和人机智能化系统,人机智能化系统是面向CIMS的复杂智能设计技术,其研究尚处于起步阶段,而设计型专家系统研究的核心问题是模式设计,典型应用领域是方案设计,很难应用到产品的结构设计中。
到目前,智能化CAD系统的发展经历了三个阶段:参数化设计、集成化设计和智能图元化设计。从整个发展历史来看,智能化CAD系统主要存在二个本质问题:一、需要一定的交互干涉控制;二、智能化适用范围的限制。而从智能化CAD系统的三个阶段来看,智能化CAD的智能化程度也是在这二个问题上不断地探索和发展的程度。
参数化CAD设计,主要是针对传统的CAD系统大部分仅局限于建立产品几何漠型,擅长设计阶段中某一时刻设计信息的表达,而在表述产品设计的工程意义和动态设计过程方面显得十分乏力。参数化CAD系统的关键是参数化模型的建立。从智能化角度上说,参数化CAD的优点是:(一)通过参数化模型中参数的传递,实现“工程信息一图形信息”。(二)通过参数的改变,使图形自动发生相应的改变。而缺点是:它是通过已建立的特定的参数化模型赋值而驱动图形,所以它只能驱动参数化模型对应的图形,对于工程上用的多的复杂图形,特别是组合图形来说,不太实用;它很难反向从图形中的获取较多的工程语义,不具有面向对象的概念。
集成化CAD设计,这是目前用的比较多的专业CAD系统,主要是针对一些特味行业(如室内装修、室内设计等行业),在这些行业的工程图纸描述中,都是由有若干行业中工程实体组成。正是根据这个特点,我们将行业相关的实体,按照面向对象的思维,进行封装。从智能化角度上看,其优点是:引入了面向对象的编程思维,初步实现由通过简单的几何元素(线、圆、圆弧等)画图转变成由实体进行拼图,将大大提高工作效率。缺点是,系统参数化功能不强,系统应用范围过于专一,并且由于系统中描述的工程实体不具有自适应性,不利于新产品的设计。
智能图元化设计综合了参数化设计和集成化设计的优点,尽量避免他们的缺点,它是通过“智能图元”来实现。智能图元是完全按照“面向对象”的思维上建立的,它外在表现为图形的集成,但又不同于集成化设计,首先,智能件图元表现的图形不是完全针对某个产品,而是针对常用图形单元;其次,智能图元具有良好的参数化;最后,也是最重要的,智能图元具有自适应性,能够根据一定的外在条件改变自己的拓扑属性,能够真正实现“拼图”功能。4.2参数化设计原理
CAD系统的参数化设计主要是针对产品建模,当前,在产品建模中,也主要是约束建模。在产品约束建模中,将工程知识与产品模型的几何元素和拓扑关系结合起来,建立图形和工程信息的联系,实现计算机参数化设计的智能化。
实现参数化CAD系统的关键是建立参数化模型。模型的建立需要图形信息的描述。图形信息包括几何信息和拓扑信息。拓扑信息主要是描述几何信息之间的约束。参数化所要解决的二个主要问题:约束的描述和约束的求解。
4.2.1约束的描述
设计过程可视为约束满足的过程,设计活动本质上是通过提取产品有效的约束来建立其约束模型并对约束求解。约束可以解释为若干个对象之间的关系,也就是限制一个或多个对象满足一定的关系R(A、B、C……),对约束的求解就是找出约束为真的对象的值。
在参数化模型中约束可分为几何约束和工程约束面向二大类。
几何约束是指几何元素之间满足的某种关系.利用几何约束,就可以方便地表达其设计意图。
几何约束包括结构约束和尺寸约束,其中结构约束是指拓扑与结构上的约束,体现的是图形元素之间的关系,在参数化设计中,一般是不变动的对象,又成为不变约束,主要包括水平、铅垂、共点、相切、平行、垂直、共线、夹角等约束。尺寸约束是指固定几何元素之间相对位置的约束,是对图形元素的几何属性的描述,一般是可变的对象,又称为可变约束,包括角度、长度、半径、坐标、方向等约束。
由于给予变分几何的方法用多元非线形方程组来描述一组约束,采用数值方法迭代求解,能较好地解决复杂的约束关系。因此,本文采用了变分几何为核心算法的基础,同时对同样存在的效率问题作了修改和完善,并提高了可靠性。
基于变量几何法的参数设计中,约束描述方法是将其表示为代数方程组。对图形实体的所有几何或尺寸约束都可以表示为方程,方程中的变量是坐标点的分量。这些点一般称为特征点。在二维图形中,每个特征点有二个自由度,即(x,y)坐标值。用N个特征点定义的图形共有2N个自由度。相应需要建立2N个独立约束的方程组才能唯一确定图形的形状和位置。
结构约束有水平、铅垂、共点、相切、平行、垂直、点在直线上,相切、共线、共圆,固定点等。尺寸约束有点到点的距离,夹角,半径等。对于工程约束,也可以转化成几何或尺寸约束。
以上几种约束的表示方法如下:
(1)水平:y2-y1=O
(2)铅垂:x2-x1=O
(3)直线1((xl,y1),(x2,y2))与直线2((x3,y3),(x4,y4))平行:
(x2-x1)*(y4-y3)-(y2-y1)*(x4-x3=O
(4)直线1((xl,yl),(x2,y2))与直线2((x3,y3),(x4,y4))垂直:
(y2-yl)*(y4-y3)+(x2-xl)*(x4-x3)=0
(5)点((x1, y1)在直线((x2,y2),(x3,y3))上:
(x2-xl)*(y3-y1)-(y2-y1)*(x3-x1)=O


工程约束是指尺寸之间的约束关系以及变量尺寸和其它外在设计变量之间的约束关
系,通过人工定义尺寸变量及它们之间在数值上和逻辑上的关系来表示。相应的,在参数化设计系统中,设计人员根据工程关系和几何关系来指定设计要求,要满足设计要求,不仅需要满足尺寸或工程参数的初值,而且要在每次改变这些设计参数来维护这些基本关系,其中尺寸值是可以变的,而几何元素的各种连接几何信息是不变的。图形参数化设计的本质是根据图形中的不变约束,进行几何求解,确定可变约束,产生新的图形的过程。
4.2.2基于变量几何法的约束的求解
在参数化图形中,含有N个特征点,则在二维平面中,将所有特征点的未知分量写成分量:
x=(x1,x2,…,xn)T, n=2N,表示形体的总自由度
同样,将已知的尺寸标注约束方程的值,包括结构约束条件在内,也写成
矢量:
d=(d1,d2,…,dn)T,
于量,变量几何的一个实例就是求解以下一组非线形方程组的一个具体解:

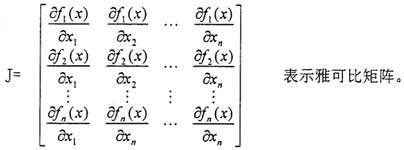
或写成一般形式:F(xi,dI)=0 i=1,2,3,…,n
约束方程组中有三个方程用来阻止刚体的平移和旋转,剩余的(n-6)个约束取决于具体的尺寸标注方法和约束的类型等条件。求解非线形方程组的具体方法是牛顿迭代,即xn+1=xn-[F(xn)]-1F(xn)
或J·△x=r
其中△x={△x 1,△x 2,…△x n}T 表示各个自由度的少量位移。
r={-F1,-F2,-Fn}T,表示方程组的残余个数。

在变量几何法中,约束转化为一系列以特征点为变量的非线形方程组,对于给定的约束,通过数值法求解非线形方程组确定出几何细节。
4.2.2参数化设计实现
参数化设计实现的流程图如图4-1所示。

从这个流程图上,整个参数化过程是围绕“参数模型”,也就是约束的方程建立和求解。在注解过程中,如果图形中的图形元素较多,则求解的方程回很多,使得求解的复杂程度大,时间长,未了简便方程组的求解,采用分解的方法,简化求解的复杂度。也正是如此,参数化设计适合于一些简单的图纸设计,而对于复杂的图形,由于方程组求解的时间太长而不适用;
4.3集成化CAD设计
集成化CAD设计是面向对象的编程思维用在CAD系统中的产物。在传统的CAD系统中,设计者所面对的和所操作的是一些简单几何的点、线、圆、圆孤等,其图形设计思维是:由简单几何(线、圆、圆弧等)一零件图形一产品图形。参数化设计主要是实现第一步,利用约束方程组的求解,进而实现产品的结构单元图的实现,这对于简单的图形或草图是合适的,但对于工程中复杂的图形来说,是不合适的。而集成化CAD,它主要是高效率地实现第二步过程,忽略了第一步,直接由零件图形拼成产品图形。
集成化CAD设计,是专用CAD系统中所采取的设计方法,主要是针对一些行业(如建筑设计、室内设计等行业),在这些行业的工程图纸内容描述中,仅仅是一些具有该行业中的实际实体意义的实体图形组合而成,例如门实体、窗实体和墙实体等。而这些具有实际实体意义的实体,也正是面向对象的编程编理中的对象(object,进一步抽象成具有共同特定属性的“类”,并赋予这些实体相应的属性,即类的成员变量、成员函数等。
通过对这些行业中的实体封装以后,面对系统操作者的都是一些具有实际意义的行业实体和绘图相关实体,而屏蔽了几何的点、线、圆、圆弧等。最重要的突破是对工程图形的理解的突破,由原先简单几何的点、线、圆、圆弧等组合成一个产品图形,发展到由工程实体图形拼成产品图形,是一种彻底的组装装配图,将面向对象的概念完全引入到CAD设计中,集成化设计基本脱离了参数化建模的过程,对每个实体的参数化功能要求不高。
在传统的CAD系统中,我们以在PC机上最流行的AutoCAD软件为例。在其二次开发中,AutoCAD软件R14以前的版本中,对典型的面向对象的语言C++中“类”不支持,故只能做一些参数化的二次开发,而不能对Au七。CAD软件进行真正意义上的面向对象的集成开发;但是,AutoCAD软件的R14版本彻底改变了这种情况,Autodesk公司在AutoCAD R14中吸收了ObjectARX技术,可以对AutoCAD R14版本进行ARX开发。利用C++中的“类”的技术,将AutoCAD系统的基本核心模块(如各种几何操作函数)进行封装,而不必关心其内部是如何操作的,减少重复开发底层模块的工作,把主要精力放在开发应用模块上,扩充已有模块的功能,体现了面向对象技术中的“封装性”、“继承性”。
4.3.1集成化CAD系统的总体结构
集成化CAD系统,从系统的整体结构上,在CAD系统的UI之上,建立集成化后工程实体的UI,通过UI进一步调用集成后的对实体操作的UI。在AUTOCADRl4的面向对象的集成开发,引入了ObjectARX技术,增加了对“类”的全面支持,应用了具有面向对象技术中“类”特性的实体模块,将所有操作集成在若干类的函数或方法里,其体系结构简图见图4-2。面向对象的CAD集成软件主要包括了实体核心模块、信息存储模块和用户界面模块。其中,实体核心模块是最主要、最基础的模块,是它对CAD系统进行彻底的封装,使得系统在用户面前体现的不再是简单几何的点线圆,而是一个个工程实体;同时,它也是不同行业对CAD不同集成要求的具体体现。

1、用户界面
用户使用系统接触到的第一个功能就是用户界面。软件工程的一个重要指标就是用户界面友好、操作方便。根据目前的潮流,以Windows为基础的交互式的界面最受人们欢迎。AutoCAD的界面就是以Windows为基础的交互式的界面,而且,AutoCAD软件有一个很好的接口(对acad.mns文件进行编辑)让用户自行开发所须界面。故,可以以AutoCAD的界面为基础,根据各个行业的行业习惯,把不同实体进行归类,编写所须的菜单条和对话框去触发各个实体的属性、函数和方法。
2、实体集合
实体(Object)是面向对象中的核心内容,实体也是面向对象系统中的唯一的操作者和承受者,总的来说,实体主要由三部分构成:属性、方法和函数。实体也是面向对象的CAD集成开发系统中的最重要的核心部分,根据工程图纸正系统中所实现的内容,主要分为:图纸实体、通用实体、工程实体和.工具实体。图纸实体主要是描述每一张图纸的所有特征信息和相关图纸操作;通用实体主要是描述AutoCAD中的所有系统变量及其值的设置;工程实体是描述工程产品的特征信息及其信息处理服务,工具实体主要是对整个图纸的信息标注。
3、信息存储
在CAD系统里,一般对一张图纸信息的存储是通过一个文件(即图形数据库)实现,而在这个文件中,文件图形数据库中仅仅存储图纸的几何点、线、圆和圆弧等信息;而在面向对象的CAD集成开发系统里,需要存储的是整个图纸的实体集合信息,并且由于每个实体又是由若干几何点、线、圆和圆弧等信息构成。因此,仅仅一个文件还是不够的,还需要利用附加文件去记录图纸中所有实体完整的特征产品信息。
4.3.2实体模型
在面向对象的CAD集成开发系统里,系统数据模型的基本元素就是ARX开发语言中的(多是C/C++语言)类,类实例化后称为对象或实体,整个图纸就是一个实体集合,主要由四大块组成:图纸实体集合、通用实体集合、工程实体集合和工程实体集合。其中,图纸实体、通用实体和工具实体都为独立类,没有父类或子类;而工程实体集合中的各工程实体是由具有基本特征的基类实体派生而来,具有一个基类和若干个派生类,并且各实体集之间互相独立(如图4-3所示)

实体集合中的各类实体在图纸的绘制和再认识过程中,分工明确,互不干涉。在图纸实体集合里,图纸信息实体主要管理图纸的图幅、比例等图纸特征属性的设置;图纸操作实体主要管理图纸的打印、视图的放大缩小等等。在通用实体集合里,图层信息实体主要管理图层(Layer)中的线型、颜色等图层特征属性;空间信息实体主要管理图纸的维数、视图的种类等。在工具实体集合里,尺寸标注实体管理图纸的尺寸标注;其他标注实体管理汉字的标注、公差的标注等等。在最核心的工程实体集合里,基类实体主要管理所有工程实体都具有的共同的属性及方法,而派生类工程实体是基类实体的派生类,是不同行业甲的具体实体,它不仅继承了基类实体的所有共同属性和方法,还具有工程实体一些独特的属性和方法。
在上面所说的四种实体里,图纸实体、通用实体、工具实体都是一些简单实体,基本上是对一些AutoCAD的操作命令进行集成,使之能够对工程实体进行操作,并且符合不同行业的命名规则。而最复杂的是工程实体,首先,每个行业中工程实体的种类繁多,必须进行细致有序的分类,使之符合行业习惯;其次,确定基类与派生类之间的关系,有效地定义基类的各个属性、方法和函数,便于扩充派生类;最后,要完整的定义每一个工程实体的所有的属性、方法和函数,特别重要的是,要很好地利用AutoCAD已提供的所有信息资源。对于以上的问题,第一,要对行业的需求十分清晰,能够对行业中涉及到的工程实体进行归纳,要具有“面向对象”的编程思维;第二,基类涉及的属性方法和函数基本上与实体图形的操作有密切关系(如图4-4所示);派生类主要涉及到工程实体的特征属性、特征方法和特征函数(如图4-5示),完整地定义其基类和派生类是“面向对象的CAD集成开发系统”中的核心部分;第三,要充分的利用AutoCAD已提供的资源,主要就是要利用AutoCAD系统中的*,dwg文件的图形文件数据库中的资源,熟悉各种AutoCAD中实体(例如点、直线、圆弧等)的DXF码规则,并从中提取相关特征信息;第四,由于在AutoCAD中的.dwg文件中,存储的是一些简单的几何的点、直线、圆、弧等信息,故还需要另一个文件去记录整个图纸的工程实体图形的逻辑关系(下一节详细介绍),随同*.dwg文件的打开而打开,标识*.dwg文件图形中的实体图形逻辑关系,随同*.dwg文件的关闭而记录*.dwg文件中的实体图菜逻辑关系。

4.3.3信息存储
如前所述,在AutoCAD中的*,dwg文件中只存储简单的几何点、直线、圆、圆弧等信息,而在面向对象的AutoCAD集成开发系统里,还所须存储的工程实体的信息,而这些实体在图纸上就是通过若干简单的几何点、直线、圆、圆弧等信息的集成而体现的。因而,对于系统的信息存储,不仅利用*.dwg文件的图形数据库记录整个图纸的简单几何信息,还须记录实体信息,或者说,记录描述图纸的信息,这对于图形的再认识是非常重要的。图纸信息存储主要包括二个方面:一、单个实体的信息存储;二、整个图纸里所有的实体的综合信息存储。
1、单个实体的信息存储
单个实体是通过点、直线、圆、圆弧等信息的集成而体现的,因此,在对实沐类进行定义时,可充分利用AutoCAD中的“实体集合”这个设计概念,把*.dwg图形数据库中的若干几何信息集成起起来,使之成为一个整体,再将此“实体集合”并入实体类的一个属性(见图4-6),当实体在绘制、移动等操作中被调用。

2、整个图纸实体综合信息的存储
用户对实体进行查找、移动、旋转、删除等操作,系统首先要在整个图纸中搜索该实体,因而,系统必须对整个图纸的实体的综合信息进行存储,多采用链式结构,设置一个链头和一个指向当前实体的指针。采用链式结构的原因是它很方便进行查找、插入、删除,效率高,简单明了。(见图4-7)

4.3.4参数化过程
在面向对象的CAD集成开发系统里,我们操作的对象是工程实体,由于同一类型的工程实体的由于各自的型号不同,在图纸表现上也有不同的,例如对于建筑图纸中的“门”实体,各种门的高度与宽度是不同的,因此在图纸表现上也应该区分的,需要一定的参数化的功能,而参数化的数据就是实体自身的特性尺寸。在系统里,对工程实体是作为一个类的实例来处理,将所有的属性函数封装起来,利用类的函数对实体的特性尺寸进行重新设置。因此,通过实体的函数对实体属性进行改变和对实体函数的再调用,实现参数化CAD系统。
简图如下:

4.4智能图元设计法
智能图元设计法是以智能图元为核心、以图形的可分解性为思路的一种全新的CAD系统设计。它不同于参数化设计和集成化设计,从设计思路上说,依据“一个复杂图形是由若干个简单图形逻辑组合而成”,升华了“简单几何的点线圆圆弧组合成产品图形”的思维。参数化设计是针对建立的参数模型,通过传递的参数,根据参数模型的拓扑关系,组合简单的几何实体(点、线、圆、圆弧);集成化设计是针对专门行业中的工程实体的图形单元设计,是围绕整个图纸而言。智能图元设计法与集成化设计一样,是面对对象的,但智能图元设计法是以智能图元为目标,不受行业的限制,扩宽了系统应用范围,并且,智能图元设计法是针对图形的,最重要的是,智能图元的功能远比工程实体图形单元的功能丰富。智能化图元也具有参数化功能,集成到智能图形单元的“类”属性和函数中。
对于每一张工程产品图纸,尽管图与图之间是千差万别的,但是一个产品图的某个结构总是可以从其他零产品图中找到相同或相似的。为了有效地利用这些相同或相似的图形单元,提出拼图法绘图:在装配图中,一个机器由若干个零件图组装而成;而在零件图中,一个零件可看作是由若干图形单元组成,如:一个零件外型图形单元和若干个零件内腔图形单元(包括开孔)组成。归纳来说,无论是装配图还是零件图,都是由若干图形单元拼成,而且不是简单的把图形放到一起,还存在图形单元的变化。例如:由零件图拼成装配图中,需要有部分零件图的打断、消隐等工作;由零件外型图形单元和内腔图形单元组成零件图时,更要涉及到图形图形之间的打断、消隐、圆角化等等。这就决定了图形单元应具有部分智能化,命名为智能图元,它与普通的图形单元最大的不同在于:智能图元可以在不同的周围图形环境下自动调整其表现形式。这种以“智能图元”为设计单元的设计方法称为智能图元法。
4.4.1智能图元
智能图元是具有一定拓扑关系、特征点、内函数、外函数和几何单元的图形单元,是拼图法绘图思维中的基本单元。特别地,智能图元具有面向对象设计中的“类”的特性,即封装性和继承性。如前所述,任何一幅图形都是由若干图形单元按照一定的逻辑关系组合而成,例如,在装配图中,图形单元表现为零件图形单元,而在零件图中,图形单元则表现为零件结构单元。
1、智能图元的模型
在系统实现中,智能图元是一个典型的“类”的结构,包括几何单元集合、拓扑关系描述、特征点集合、内函数和外函数(见图4-9),定义如下:
class Intellitive_Graphics_unit
{
Private:
INT FeatUre_size[MAX];//特征尺寸
INT Circumstance_ID;//环境ID
ads_point base_point;//基点
INT Entity_Color;//颜色
INT Entity_Lttype;//线形
Public:
RTPICKS Geometry_Entitvy;//几何单元实体几何
INT Topology_ID;//拓扑关系的ID
RTPICKS Feature_Point;//特征点
Void Show(INT scale);//显示
Void delete();//删除
Void move(ads_point new_position);//移动
Void rotate(ads_real_new_angle);//旋转
Void Get_circumstance_ID();//取得环境ID
Void adapt_function(INT circumstance_ID);//外函数
几何单元是智能图元的最基本图形结构单元的集合,例如线、圆、圆弧等,其具体的组合规则是受拓扑关系控制;拓扑关系是智能图元的内在特征属性,它是具体指导几何单元的有机地组合方式,它和几何单元一起构成了智能图元的外在表现形式;特征点是智能图元对外界信息响应的入口点,当智能图元在继承另一个智能图元时的拓扑关系的改变,以及各智能图元在图纸中组合时的拓扑关系改变,都是通过对特征点的激活,调用图元的外在函数,从而使智能图元的拓扑关系按照一定的规则进行改变,重要的是,它能够根据已确认的规则而实现智能化。外在函数就是一个智能图元响应具体的外界信息时,其拓扑关系改变的具体方式,外在函数种类繁多,全部存放在智能图元的外在函数库里,根据具体的外界信息,选择相应的外在函数;但它也受拓扑关系和几何单元的约束,就好象无法求得二条平行线的交点;内在函数是指对智能图元几何单元操作的具体功能,例如:绘制、移动、删除、旋转等等。
2、智能图元的结构特征
智能图元,是图纸单元与“面向对象”设计思维的结合体,不仅具有类的两大属性:封装性、可继承性;而且具有图纸单元的特征不定性。
封装性:对于某个智能图元的具体操作,能且只能通过对其内部函数或(和)外部函数实现,而不能通过其他操作实现,以防止产生信息干扰。
可继承性:一个智能图元不仅可以是其他智能图元的父图元,也可以是一个或多个智能图元的子图元,最底层的智能图元称为基图元,他们没有父图元;最上层的智能图元称为表图元,他们没有子图元,其集成度最高;就象一个机器的装配图由若干个零件图组成,而一个零件图是由若干个结构单元组成,整个智能图元集合属于一种比较复杂的层次结构,如图4-9。
特征不定性:当一个智能图元继承另一个智能图元后,其属性并不是被简单的扩大了,而是一些属性消失而另外一些属性出现了。这也是智能图元之间由于智能图元特征点的激活而使智能图元拓扑关系逻辑迭加、几何单元的改变(打断,消隐等)表现形式。

3、智能图元的工作模式
智能图元设计法是以智能图元为最小设计单位,利用智能图元对环境的自适应功能,完成实际意义的拼图法设计,智能图元对环境的自适应功能首先是通过对智能图元的特征点激活开始。详细见图4-10。

通过对特征点的激活,首先判断激活值,是调用外部函数还是调用内部函数,如果是调用内部函数,则根据激活值,调用某个内部函数,实现智能图元自身的操作,如删除、放大、旋转等等;如果是调用外部函数,则再获取周围图元信息,并以此查询外部函数库,得到某个外部函数,则调用此外部函数,实现智能图元的拓扑关系和几何单元信息的改变。(如图4-11所示)
4.4.2智能图元法程序设计步骤
1)通过阅读常用图纸信息,提炼出其中具有一般特性的图形单元。提取图形单元的一般规则:
(l)先提取结构简单的基图元,再提取高层结构复杂的图元,充分利用智能图元的继承性。
(2)基图元的提取要相对通用但不完全通用,而高层结构复杂的图元则相对专用。
2)记录每个图元的拓扑关系、特征点
3)建立图形单元拓扑关系变化库,赋予图元智能化,并建立智能图元的外在函数库。
4)建立智能图元的调用规则:复杂智能图元优先于简单智能图元。
4.4.3智能图元的分类
根据拼图法对智能图元的智能化的侧重点要求不同,将智能图元分为二类:基于产品结构的智能图元化和基于特性尺寸的智能图元化。基于产品结构的智能图元主要是对各种图形单元的抽象,其重点是对特征点的激活和外函数中拓扑关系对环境适应的描述,建立此类智能图元难度很大;而基于特性尺寸的智能图元主要是对拓扑关系固定的图形单元的抽象,建立此类智能图元难度不大,这类智能图元一般都是基图元,很少有继承图元。例如,对各种标准件和通用件等系列化的产品等的引用。
1、智能图元模型实例
按照智能图元提取的一般规则,对于一般工程图纸的实际状况,常用简单零件结构的外形是四边形(图4-11),对于此类四边形的定义,根据“基图元的提取要相对通用但不完全通用”原则,一般是用梯形结构来归纳,其定义如下:

几何单元:五条线段:a,b,c,d,e
拓朴关系:满足梯形定义(a//c),a,b线交B点,a、d线交A点,d、c线交C点,c、b线交D点,e是梯形的中线。
特征点:可定义为四个顶点(A、B、C、D)或线段中点或其他点
内函数:智能图元的移动、删除、旋转等
外函数:线段的打断、与凹凸槽的接口等
2、智能图元继承实例
为减少图元开发的重复性工作,应充分利用智能图元的继承性,例如,另外一个智能图元继承上面的智能图元,是在图4所示的智能图元的基础上,增加内腔结构智能图元(图4-12),形成子图元,其定义如下:

几何单元:若干线段
拓扑关系:满足图4-12形状
特征点:Ll、LZ线段上的所有点
内函数:智能图元的移动、删除、旋转等
外函数:线段的打断,圆角化等
3、智能图元拼图实例
图4-12所介绍的图元为一个简单的机架结构,现在要完整其结构,利用拼图,拼上一个内部支座的智能图元(图4-13),激活特征点,调用外部函数,智能图元将会自动打断如图4-12中所示的Ll、L2线段。

4.4.4智能图元法绘图的特点.
1)绘图效率高,把若干个图元(特别是集成度较高的表面图元)按照一定的逻辑顺序拼成一幅图,当然比用简单的几何绘图元素(线、圆、圆弧)绘图的效率高的多。
2)绘图范围广,参数化好。图元不同与AutoCAD中的“block”,他可以在基本的拓朴关系变的前提下,图元中的几何单元可以呈现出多种图形,并且,当图元在继承其他图元或图元互相组成完整图时,可改变拓朴关系,更使图形多种多样。
3)绘图准确性高,通过激活图元的特征点,可以自动改图元的拓朴关系,实现对某些线条的添加、删除和剪切,可减少绘图中常见的错误。