4-1 引言
在探索具有非线性迟滞特性元件的系统在简谐激励下稳态响应的求解方法时,我们拟研究以下系统:
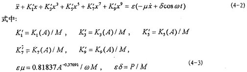
M

+

(x,

,A,ω)=Pcosωt (4-1)
式中M为系统质量,P为激励力幅值,ω为激励园频率

(x,

,A,ω)=
1(A,x)+
2(A,x,

),
1和
2分别为上章中的(3-12)和(3-41)式。为研究方便,将(3-12)和(3-41)式代入(4-1)式并改写成以下形式:
式中K1(A),K3(A),K5(A),K7(A),K9(A)为(3-27)式。由式(4-2)可知,这一系统是一个强非线性非自治系统。
目前文献上的一些方法对于弱非线性系统是有效的,而对于(4-2)式的强非线性系统则遇到了麻烦。由于描述非线性振动系统的微分方程种类繁多,没有普遍的解法,因此,仍然只有极少非线性振动方程可求得精确解。可行的办法是针对不同非线性振动方程的特点寻求一些近似数值解法。为研究方便,将(4-2)式进一步写成以下形式:
式中:
f(x,

,t)=-μ

+δcosωt (4-6)
ε为正小参数。
对于形如(4-4)式这样的强非线性系统,李骊提出了一种新的频闪法,近年,杜惠英和李骊用频闪法研究了含有x5项强非线性系统的共振解和亚谐解虽然原则上该方法可适宜和于任意阶强非线性系统,但是在实际应用中对更高阶项会遇到积分计算问题,大大地限制了这种方法用于高阶强非线性系统的研究。为了解决积分计算的困扰,本章提出一种新的方法一频闪一谐波平衡法。
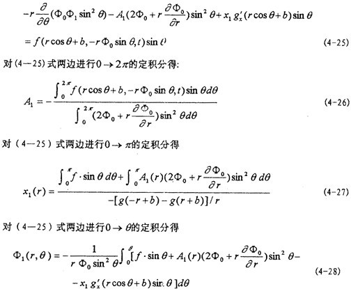
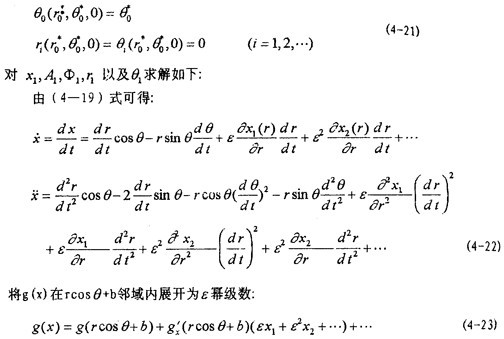
4-2 频闪一谐波平衡法
式中

,然后将(4-22),(4-23)及f(x,

,t)在rcosθ+b与-rф
0sinθ邻域内以ε幂级数展开式代入(4-4)式,由等号两端ε的系数相等得:
合并后得
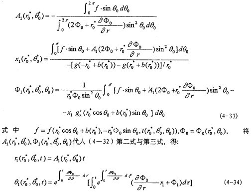
式中f=f(rcosθ+b,-rф0sinθ,t),在进行以上积分时f中的时间t 代入以θ表示的函数,求法如下:
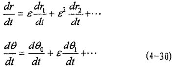
因为A1,x1,ф1各式右端均为ε=0时(4-19)中第二式和第三式中ε=0得:
由此两式可求得r=常数,θ=θ(r,

,t)然后可求出反函数t=t(r,

,θ)。由于t式中包含θ
0的初值

,因此由(4-26)~(4-28)式求得的A
1,x
1,ф
1中也必然所含

,即A
1(r,

), x
1(r,

),ф
1(r,

,θ
0)。
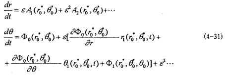
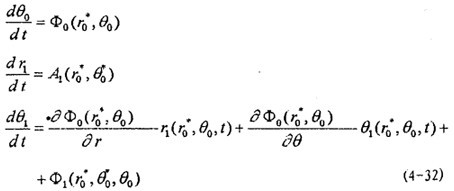
为得到(4-2)式的频闪方程,首先由(4-20)求导得:
将(4-20)式代入(4-19)式,并将A
1,ф
1在

,θ
0邻域内展开为ε的幂级数得:
比较(4-31)式与(4-30),由ε的同次幂系数相等得:
由此可解得θ
0=θ
0(

,

,t),反函数t=t(

,

,θ
0),将此式以及(4-20)代入(4-26)~(4-28)式,令等号两端在

,θ
0邻域内展开为ε的幂级数并令不含ε的项相等得:
设频闪时间间隔为T=nT
0,其中T
0为x
0=

cosθ
0+b(

)的周期,n为正整数。于是有θ
0(

,

,T)=0。据此,由(4-20)和(4-34)并略去ε二次以上微量得:
△r=r(

,

,T)-r(

,

,0)=εA
1(

,

,T)T
△θ=θ(

,

,T)-θ(

,

,0)=εθ
1(

,

,T) (4-35)
令△τ=εT,则上式化为:
这就是对应于(4-20式的频闪差分方程,即(4-2)式在Poicare平面上以T为周期的点变换方程。如ε充分小,则可令△τ=dτ,△r=dr,△θ=dθ,此外,(4-36)中的

,

虽为初始值但却可以是平面上任一点(r,θ)于上(4-36)可写成:
此式就是对应于(4-2)的频闪方程。如果(4-37)存在一稳定一次奇点(r*,θ*),则在此奇点ε邻域内必存在一点(

),使(4-2)以此点为初始的解为稳定周期解,周期为T,其一次近似表达式为:
在非线性振动系统中,为了求出系统的各次谐共振解,必须考虑(4-15)中各次谐波的影响,为此对以上方法作如下改进:
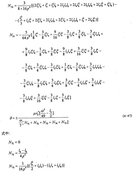
由(4-15)式可知,-dθ0/dt应为实数,因此,可以证明(4-15)中的
的绝对值小于1。于是可将(4-15)式中的根号部分展开成收敛幂级数。为了将幂级数形式的dθ
0/dt引入(4-33)、(4-34)各式进行计算,须对(4-33)中的积分项

进行变换。利用(4-18)式,得变换如下:
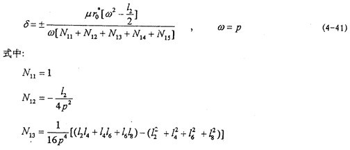
为求(4-2)的各次谐共振,令ω=(m/n)p,其中m,n,为互质整数。于是有:
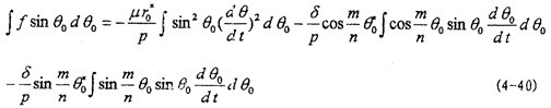
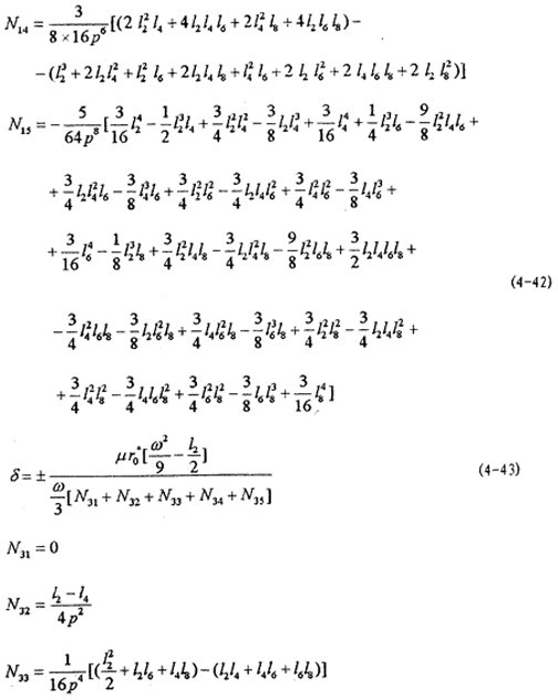
在非线性振动系统中,当系统受到周期性外力作用的情况下,有可能产生三类运动,非共振运动,共振运动,由非共振运动到共振运动的过渡过程,即瞬态运动。对于共振运动来说,有三类,(l)m=n,即ω=p,这是通常所说的共振,称为主共振,(2)n=1,ω=mp,产生泛音共振,当m为奇数时,产生次谐波共振,(3)m=1,ω=p/n,当n为奇数时,产生超谐波共振。将幕级数形式的dθ0/dt代人(4-40),并计算该式在O-2区间的定积分,可以得出结论:只有当n=1,m=±1,±3,±5,±7,……时才可能得到(4-2)的周期解,并且(4-2)式只可能产生主共振解和次谐波共振解。
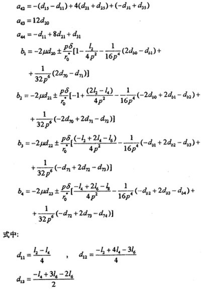
由前面推导可知,系统(4-2)有周期解时,第一个频闪方程dr/dτ=A
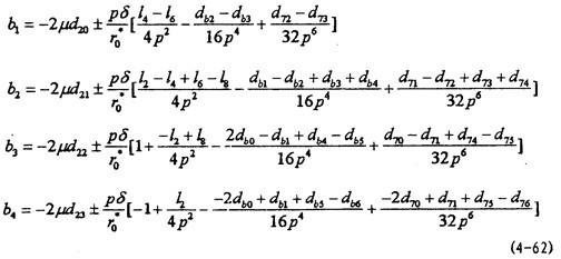
1(r,0)=0,于是由(4-33)第一式和(4-40)式,再令n=1,m=1,3,5,7可求得(4-2)系统存在主共振解,1/3次谐波共振解,1/5及1/7次谐波共振解时,μ与δ,

应满足的关系式为:
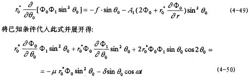
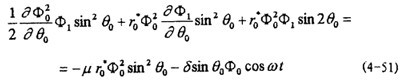
由(4-33)可算得x1=0,然而要在算得ф1后由(4-34)算得θ1,则会由于积分函数繁复而难以进行,在这种情况下,建议用以下方法来求ф1,从而求得θ1:
由(4-33)第三式得
等式两边同乘ф0得:
由于(4-49)右端是θ0的偶函数,因此,ф1将是θ0的奇函数,于是
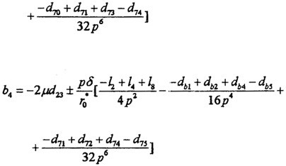
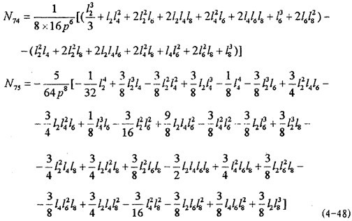
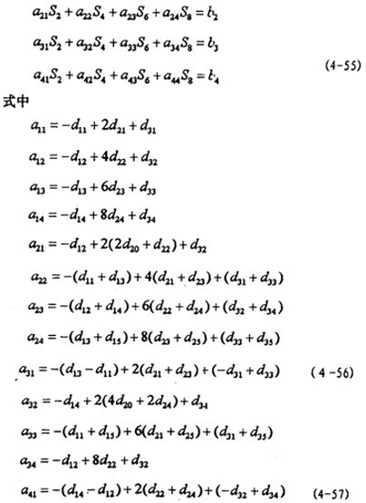
将有关式代入(4-51)并比较等式两边各次三角函数的系数,得:
(4-54)
n=1, m=1 时,有方程组:
a11S2+ a12S4+ a13S6+ a14S8=b1
式中{Sk}=[S2 S4 S6 S8 ],系数矩阵[aij]在形式上与m=1时相同,但其中p=ω/3,而
式中各系数d形式上与m=1时相同,但其中p=ω/3。
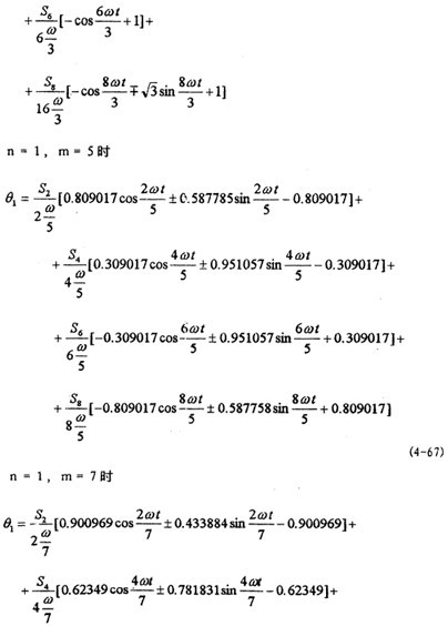
n=1,m=5 时,有方程组
[aij]{Sk}={bi} i,j=1,2,3,4, k=2j (4-61)
式中[aij]形式上与m=1时的(4-56)相同,但其中p=ω/5,而
式中各d系数形式上与m=1时相同,但其中p=ω/5。
n=1,m=7 时,有方程组
[aij]{Sk}={bi} i,j=1,2,3,4, k=2j
(4-63)
式中[aij]形式上与m=1时的(4-56)相同,但其中p=ω/7,而
式中各d系数形式上与m=1时相同,但其中p=ω/7。
通过求解以上几组四元一次线性方程组可求得S2,S4,S6,S8。在此基础上根据(4-19)、(4-20)式中ф1与θ1的关系和(4-53)、(4-54)可得:
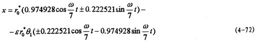
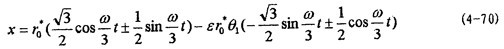
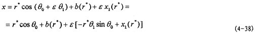
在以上工作的基础上,便可根据系统周期解的一次表达式(4-38),得各种情况下的解析解:
x=±(

sinωt-ε

θ
1cosωt) (4-69)
式中θ1为(4-65)式。
m=3,系统的解析解为:
式中θ1为(4-66)式。
m=5时,系统的解析解为:
式中θ1为(4-67)式。
m=7时,系统的解析解为:
式中θ
1为(4-68)式。以上各式中上排符号对应正

,下排符号对应负

。由频闪方程奇点的稳定性可知,

取正值时对应的解是稳定的。
代入(4-73),成为一个一元四次方程
a0R4+ a1R3+ a2R2+ a3R+a4=0 (4-75)
所以

可用公式直播妆求解(4-75),也可用数值求解。本文同时采用了公式法和数值法(牛顿-撒网格法)来求解

,比较表明后者较好。
至此,全部求出了(4-2)式的近似解析解。
4-3 近似解析解与数值仿真解的结果比较
为了说明柴油机闪一谐波平衡法的正确性和精度,我们分别用一个简单例子和大挠度
弹性联轴器系统(4-2)进行计算,同时与相应的数值仿真计算作比较。
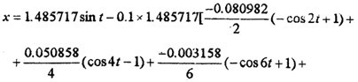
例

+3x-3x
3+x
5-2x
7+x
9=0.1(-2.03059 +3cost) (4-76)
曲线图如图4-1所示。从图中可以看到解析解曲线1和数字仿真解曲线2重合性较好,在振幅与相位上误差都较小。
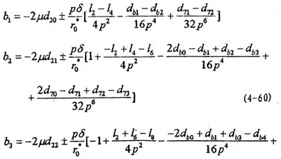
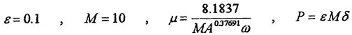
钢丝绳弹性联轴器系统(4-2)式中的参数取为:
式中p为激励力幅值。
分别计算了八种振幅下的解析解和对应的数字仿真,如图4-2~4-9所示。曲线1为解析解,曲线2为数字仿真解。各对应的解析解为:

=1时,δ=0.81837
从各曲线图可以看到(1).解析解曲线1与数字仿真解曲线2的振幅误差较小,

=1和

=2时两者的重合性很好。(2).随着振幅的增大,解析解曲线1和仿真解曲线2在相位上产生微小变化,解析解的相位超前仿真一个小量,原因是随着振幅的增大,系统呈现更为强烈的非线性,而在推导中略去了高次项,但还是可以满足工程的要求。(3)从(4-78)-(4-85)式中的各δ值可知,在联轴器产生主共振的情况下,激振力很小。
4-4小结
本章针对稳态响应求解问题,作了以下工作并得结论:
1.在研究前人求解非线性系统响应的基础上,针对稳态响应求解的买际需要,分析了方法的优点和不足,提出一种新方法一频闪一谐彼平衡法,用于求解一类强非线性系统稳态响应的近似解析解。
2.频闪一谐波平衡法的优点是:从有关公式可以一目了然知道系统的基本参数对系统特性的影响,如由(4-16)式可以知道系统的固有频率p是动刚度、振幅、系统质量的函数,改变这些基本参数,可以改变系统特性,因此用这一方法对具有强非线性特性系统的动力学设计是十分有利的。
3.利用频闪一谐波平衡法,以钢丝绳联轴器为例,求出了这类强非线性系统主共振解和次谐共振存在的条件,为避免共振提供了理论依据。
4.用频闪一谐波平衡法和数字仿真比较表明,求得的共振解在定性方面是正确的,在定最方面精度可以满足工程要求。