速度补偿仿真分析
本章以工程应用的冲压机械为研究对象,选用两种工况,首先对柔性速度补偿装置在单自由度下,即伺服电机不动作情况下,采用系统动力学理论方法,应用Adams仿真软件,分析柔性速度补偿装置的整体动力学性能、承载性能以及速度补偿效果。然后,本章选定采用基于迭代的学习控制方法作为该柔性速度补偿装置的控制策略,对柔性速度补偿装置进行两自由度情况下的动力学仿真,研究其速度补偿效果和柔性性能。
本章所做的动力学仿真和控制算法对解决其在工程问题的实际应用具有重要的参考价值。
§4.1基本概念
4.1.1虚拟样机技术
机械工程中虚拟样机技术又称为机械系统的动态仿真技术,是国际上20世纪80年代随着计算机技术得发展而迅速发展起来得一项计算机辅助工程(CAE)技术。工程师在计算机上建立样机模型,对模型进行各种动态性能分析,然后改进样机设计方案,用数字化形式代替传统得实物样机实验。运用虚拟样机技术,可以大大简化机械产品得设计开发过程,大幅度缩短产品开发周期,大量减少产品开发费用和成本,明显提高产品质量,提高产品得系统级性能,获得最优化和创新得设计产品。
虚拟样机作为产品设计的一项新技术,对传统的产品设计方法是一次革命。通过虚拟样机技术,工程师可以通过机诫系统运动仿真,在产品设计阶段发现产品设计中的潜在问题,并快速进行修改,减少了对于物理样机的依赖,这样不仅可以节省成本,缩短产品开发周期,而且可以提高产品性能,增强产品竞争力
虚拟样机技术的研究范围主要是机械系统运动学和动力学分析,其核心是利用计算机辅助分析技术进行机械系统的运动学和动力学分析,以确定系统及其各构件在任意时刻的位置、速度和加速度,同时,通过求解代数方程组确定引起系统及其各构件运动所需的作用力及其反作用力。
虚拟样机仿真技术包含两方面的内容:一是几何仿真,即机构的几何特性与装配关系的仿真;二是性能仿真,即系统运动性能及动力特性的仿真。几何仿真是通过虚拟造型技术直观、准确地反映产品的几何特征与装配关系,进而在设计早期预测系统干涉、检验装配缺陷,以便顺利进入下一步的运动学、动力学仿真中。建模的过程是为几何模型施加切合实际的特性,如约束、驱动力、摩擦及刚度等性能参数。合理的几何仿真是通过性能仿真进行优化设计的前摸与基础。
4.1.2 Adams仿真软件
机械系统动力学自动分析软件ADAMS (Automatic Dynamic Analysis of Mechanical Systems),是美国MDI公司(Mechanical Dynamics Inc.)开发的虚拟样机分析软件。
目前,ADAMS一方面是虚拟样机分析的应用软件,用户可以运用该软件非常方便地对虚拟机械系统进行静力学、运动学和动力学分析。另一方面,又是虚拟样机分析开发工具,其开放性的程序结构和多种接口,可以成为特殊行业用户进行特殊类型虚拟样机分析的二次开发工具平台。
ADAMS软件,可以自动生成包括机一电一液一体化在内的、复杂系统的多体动力学数宇化虚拟样机模型,能提供从产品概念设计、方案论证、详细设计、到产品方案修改、优化、试验规划甚至故障诊断各阶段、全方位、高精度的仿真计算分析结果,从而达到缩短产品开发周期、降低开发成本。提高产品质量及竟争力的目的。
作为数字化功能样机技术的代表,ADAMS的主要功能有:
l、丰富的分析功能:系统运动分析、静态分析、准静态分析、动态分析、灵敏度分析等;
2、完善的前后处理功能:简单的建模功能;曲线(频域和时域)、表格、图形(包括动画)的输出;
3、可以对直接设计的系统进行预测,如干涉检验,轨迹校核、灵敏度分析等;
4、可对已有的系统进行性能评估,诸如振动与噪音的分析等;
5、可对原有系统进行改进,如提出最佳的几何结构与装配方案。
4.1.3.衡量速度波动的参数
机械运行过程中必然会产生速度波动,但是速度波动的大小的有一个衡量标准,通常是用机械运转速度不均匀系数δ来表示速度波动大小的。
如图4-l所示为在一个周期内等效构件角速度的变化曲线,其平均角速度田。在工程实际当中,常用其算术平均值来表示,即ω
m=

。ω
m也可由机械的名牌上查得额定转速n(r/min)后进行换算而得到。
机械速度波动的程度不能仅用速度变化的幅度(

)来表示。这是因当(

)一定时,对低速机械和对高速机械其变化的相对百分比显然是不同的。因此,平均角速度ω
m也是一个重要指标。综合考虑这两方面的因素,故可以用机械运转速度不均匀系数δ来表示机械速度波动的程度,其定义为角速度波动的幅度(ω
max-ω
min)与平均角速度。ω
m之比,即:
不同类型的机械,对速度不均匀系数石大小的要求是不同的。表4-1中列出了一些常用速度不均匀系数的许用值。
表4-1常用速度不均匀系数的许用值
|
要求的速度平稳性 |
[δ] |
|
非常平稳 |
<0.003 |
|
中等平稳 |
0.003-0.012 |
|
平稳,允许有某种波动 |
0.012一0.05 |
|
中等的波动 |
0.05一0.2 |
|
容许大的波动 |
>0.2 |
所设计的机械速度波动不应超过其参考许用值,即满足如下条件:δ≤[δ],例如传统的冲压机、轧压机器[δ]=1/7-1/10。本文设计的柔性速度补偿装置,是针对精密冲压机械的,所以[δ]参考值至少为0.012-0.05(平稳,允许有某种波动)。
§4.2建模和仿真
鉴于本文物理建模的需要,下面针对该软件的建模方式做介绍。
实体建模对于本文来讲即为柔性速度补偿装置的机构虚拟样机的造型与组装,其中基本元件有:构件、力、约束、运动激励等。
1、构件,即相互运动的刚体或刚体固定件,当定义构件时,需要给出构件的局部坐标系的原点方向、构件的质心位置、质量、对某一参考座标系的转动惯量、惯性积等,所有这些属性特征完全由ADMAS本身建模后自动建立。
2、约束,是指机构内两构件间的联接关系,它限制两构件在某个方向上的相对运动,相对运动的方向由约束的类型所决定。ADAMS提供的约束类型有:理想约束、虚约束、运动激励。
3、运动激励,是指定一个构件相对于另一个构件按约束允许的运动方式、以给定的运动规律进行的运动。
ADAMS丰富的建模元素在适当的技巧与自定义函数的协助下,可充分描述实际存在的各种运动及力学分析。
系统的仿真步骤为:
1.运动分折:对机构进行必要的运动分析,大致了解其运动规律:
2.环境设置:设置仿真环境并定义备部件的材料性能等参数;
3.约束定义:施加约束,并定义各约束的属性;
4.定义激励:建立驱动及力,即计算系统在给定位置上对给定激励的各种响应,包括位移、角位移、速度和加速度响应等,并计算有激励产主的约束力;
5.结果处理:显示、处理并输出仿真结果。
4.2.1工况给定
取冲压机械中典型载荷为例,在冲压运动周期中,冲头受载荷的时间很短,而冲压载荷比空程时的摩擦阻力要大得多,这是冲压机械的典型特征。就是这种瞬时极大的冲击载荷给速度造成很大的波动,导致系统电压不稳,加工工艺降低等弊端,而且电机要按高峰载荷来选取,回程时负载极小,造成浪费。
将冲压机械简化为一曲柄滑块机构,物理参数为:
曲柄长度Ll=35mm,连杆长度L2=80mm,滑块的体积为750mm3,材料为钢材(密度为780Ikg/m3),电动机型号为Y1ooL2-4,电动机轴至曲柄的传动比为i=23.833。
现假设有两种运行工况,其负载分别如图4-2、图4-3所示。通过两种具体冲压载荷情况来分析柔性速度补偿装置的补偿性能。
首先在Adams下对曲柄滑块机构进行样机建模,如图4-4所示,然后在理想情况下(忽略摩擦)进行动力学仿真,具体如下:
等效驱动力矩可由电动机机械特性导出,设Mm、Mde分别为电动机输出力矩和等效驱动力矩,两者有如示关系:Mde=iMm,式中i为传动比。则可得出等效驱动力矩:
Mde=-14845.5+6076.82ω-580.256ω2
式中ω为曲柄转速。
将以上驱动力矩和阻力施加在虚拟样机上,进行动力学仿真,ω初始值设为6.55rad/s。分别得出图4-5、图4-6所示的两种工况的速度稳态响应图。
图中虑线表示空载情况下ω的稳态响应,可见很快达到稳定,速度滤动很小,实线表示加载过程ω的稳态响应。显然,在加载时段,当载荷骤增时,会导致速度大幅降低。
用机械运转速度不均匀系数δ来表示机械速度波动的程度,

。在加载过程中,依据这两个公式,分别计算两种工况的速度波动情况如表4-2。
表4-2速度补偿前速度波动情况
|
工况1 |
=6.5957rad/s |
=5.7962rad/s |
δ1=0.1290 |
|
工况2 |
=6.6063rad/s |
=5.5377rad/s |
δ2=0.1760 |
根据推荐值,选用速度平稳性级别为“平稳,允许有某种波动”的不均匀系数许用值:[δ]=0.012-0.05,显然δ1、δ2都超过了[δ],上述两种情况己超出了该许用范围。
4.2.2第一阶段的速度补偿
首先在伺服电机不动作的情况下,机构只有常速电机驱动,进行仿典。针对所取实例的负载情况,设计该柔性速度补偿装置的各项结构参数,并应用Adams软件对其进行动力学分析,验证其速度补偿的效果。
经反复试验,建立样机模型如图4-7所示,标号同图3-1,模型尺寸为:r1=20mm,r4+r6=200mm,r2+r3=2OOmm,厚度均为5mm,材料为钢(同曲柄滑块),滑块同前,不计摩擦,经减速器减速,驱动力矩函数关系式不变,加在曲柄1上。
各项参数、力矩函数设定好后,首先不加负载,试验空载状况,如图4-8所示。
可以看到,经过柔性速度补偿装置之后输出的速度波,也不是平稳的,也有波动,然而正是要合理的利用该速度波动,来抵消瞬间峰值负载造成的速度波动,比如,利用产生的速度波峰来抵消载造成的波谷,两者大小相当,位置相当(这要靠设计合造的机构和调整合适的参数来实现),就可以叠加后产生一个平稳的速度输出,其它不是负载的时段,柔性速度波动造成的波动,不影响工作,甚至可以行程急回,这更有利于整个系统。
再看电机的状态,如图4-9所示,电机在只驱动柔性速度补偿装置,不加前面所示的负载时,电机输出的速度波动很小,很快就达到平衡,电机的驱动力矩也很快达到稳定,且力矩波动微小,如图4-10所示。
现要对上述两种工况的波动幅值、宽度、时间段、阻力矩等数据进行分析,然后通过对柔性速度补偿装置的滑块3初始位置的设置,设计一种波动,使得该装置分别产生一个和图4-5、图4-6所示波峰值大小基本相等,但波形相反、位置匹配的速度波,以抵消原来加载时引起的速度波动,达到速度调节的作用。
工况1:加载时设置滑块3初始状况为从中间位置右移10mm,电机函数及其它参数不变,进行动力学仿真,其结果如图4-11、图4-12所示。图中,纵轴上速度为负值,表示与输入轴曲柄速度方向相反。
上述工况下,电机力矩和负载力矩的变化如图4-13,图4-14:
工况2:加载时设置滑块3初始状况为从中间位置左移8mm,电机函数及其它参数不变,进行动力学仿真,其结果如秋4-15、图4-16所示。图中,纵轴上速度为负值,表示与输入轴曲柄速度方向相反。
和工况上相比,工况2的负载特点不变,仍然是在一周期运动过程当中,加载的时段,载荷剧增。只是载荷的大小、位置,调节结构参数,仍然可以得到很好的速度补偿效果。
只是这种情况只在一定的载荷变化范围内,调节的是有效的,如果载荷变化大,超出允许的范围,该装置的补偿效果就不理想了。
上述情况下邮电机力矩和岁载力矩的变化如图4-17、图4-18:
将上述两种工况下经柔性速度补偿装置速度补偿之后的数据分析计算如表4-3所示。
表4-3速度补偿前速度波动情况
|
工况1 |
ωmax=7.2969rad/s |
ωmin=7.0178rad/s |
δ1=0.0390 |
|
工况2 |
ωmax=6.0128rad/s |
ωmin=5·7656rad/s |
δ2=0.0420 |
以上两组数据分析表明,加载时,经柔性速度补偿装置速度补偿后的速度输出,在加载的时段,速度波动明显减小,具体数值可参看其局部放大图,另外,阻力矩和电机的主动力距和加柔性速度补偿装置前数值大小没有明显变化,表明对原机械系统的电机和其它动力、强度等一些性能参数没有大的影响。
两种工况下,δ均在不均匀系数许用值范围内,速度平稳,可见速度补偿装置的速度调节作用显著。
§4.3控制策略与第二阶段的速度补偿
本论文所研究的柔性速度补偿装置的设计思想是立足于传统机构学,强调以机构为主体,以控制为辅助,但也同时重视机构与控制的有机集成。因此选择合适的控制策略,和机构能很好的配合,才能完成所设计的速度调节。计算机具有的软件可调性为机器控制系统提供了柔性化和智能化的可能性,所以也是本论文极为重要的一环。
4.3.1选定控制方法
经分析,认为基于适度柔性机器理论的柔性速度补偿装置,其控制方式仍具有挑战性,这主要是因为:
(1)常速电机在系统的运转过程当中是不可控的。
(2)由伺服电机驱动的输入运动和常速电机驱动的输入运动是否能很好的耦合。
控制方式有多种,有经典的PID控制,也有现代的智能控制。经分析,并参考前人在该类机构控制方面所做的一些研究工作,决定系统采用学习控制(1eaming control)的方法。这也是由该柔性速度补偿装置本身的特点决定的:
(1)模型不确定。工作当中会因工作环境变化、磨损、受力受热等情况使工作情况发生变化,但这些变化无规律可循,只能靠控制来逐渐逼近期望输出。
(2)周期性。柔性速度补偿装置是以常速电机驱动的曲柄旋转一周为一周期的。
(3)需要控制简单、迅速,成本低。
依据这些这些特点,选择学习控制的方法作为柔性速度补置的控制方案。
学习控制是智能控制策略的一种。简单的说,由干对未知信息的估计逐步改善而导致控制性能的逐步改善,就是自学习控制。对学习控制的定义,不少学者给出了各自的见解:
Y.Z.Tsypkin把系统中的学习一词理解为一种过程,通过重复各输入信号并从外外部校正该系统,从而使系统对于特定的输入信号具有特定的响应。而自学习就是不具有外来校正的学习,或即不具有惩罚和奖励的学习。
G.N.Saridis认为,如果一个系统能对一个过程或其环境的未知特征所固有的信息进行学习,并将得到的经验用于进一步估计、分类、决策或控制,从而使系统的品质得到改善,那就称此系统为学习系统。
而学习系统将其得到的信息用于控制具有未知特征的过程,就成为学习主之制系统。
L.walter和J.A.farrell给出了比较完整、规范的学习控制表述是:一个学习控制系统是具有这样一种能力的系统,它能通过与控制对象和环境的闭环交互作用,根据过去获得的经验信息,逐步改进系统自身的未来性能。
这种表述说明了学习控制的一般特点:
(1)有一定的自主性。学习控制系统的性能是自我改进的;
(2)是一种动态过程。学习控制系统的性能随时间而变,性能的改进在与外界反复作用的过程中进行;
(3)有记忆功能。学习控制系统需要积累经验,用以改进其性能;
(4)有性能反馈。学习控制系统需要明确它的当前性能与某个目标性能之间的差距,施加改进操作。
学习控制有多种分类,本文采用基于迭代和重复的自学习控制。这类学习控制主要是针对在一定周期内作重复运动的系统,它不但与传统的控制理论相联系,而且可导出易于工程实现的学习控制规律。这正符合本课题的要求。
基于迭代和重复的自学习控制,其基本思想是针对一类特定的系统但又不依赖系统的精确数学模型,它通过反复训练的方式进行自学习,使系统逐步逼近期望的输出。控制作用的学习是通过对以往控制经验(控制作用与误差的加权和)的记忆实现的。算法的收敛性依赖于加权因子k的确定。这种学习系统的核心是系统不变性的假设以及基于记忆单元的间断的重复训练过程,因而不但有较好的实时性,而且对干扰和系统模型的变化具有一定的鲁棒性。
4.3.2控制算法
柔性速度补偿装置特征之一就是具有柔性、可控性功能。这一特征主要是靠控制器通过对伺服电机的实时在线控制来实现的,伺服电机是控制系统关键的执行元件。
系统的具体控制算法如下:
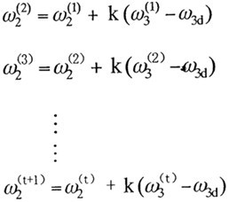
设ω1、ω2、ω3、k分别为常速电机输入速度,伺服电机的输入速度,输出速度,理论输出速度(理想值)和加权因子,e为输出速度和理论输出速度值的误差范围。迭代周期以常速电机旋转一周(2π)为一周期,迭代进行一次。
则迭代过程如下:
迭代直至判断式:δ=|

|≤e。满足时,即说明该周期系统的误差收敛,则该周期终止,输出

,然后进入下一轮迭代,依此循环下去。
整个柔性速度补偿装置系统的控制方式如图4-19所示:
4.3.3第二阶段的速度补偿
第二阶段的速度补偿是在常速电机和控制器控制的伺服电机混合驱动的情形下,进行的动态仿真,是跟进一步的速度补偿。
依照此学习控制算法,第一输入还是采用上述等效力矩模型不变,然后设置第二自由度输入函数,再进行两自由度的动力学仿真分析,研究该柔性速度补偿装置的柔性功能和速度补偿效果。
由于控制的数学模型不确定,所以只能通过先给第二输入一个初始函数,比如三角函数,加权因子先给一个假设值,然后经两自由度机构输出一个速度波,根据算法和理想值比较,误差如果超出允许范围,计算机经计算给定第二步的输入函数,再进行速度补偿,取得第二个输出速度波……依次循环,逐步逼近理想输入函数。通过不断的调试,选择合适的加权因子,直到速度输入函数逐渐收敛为止,这样就得到了理想的第二输入速度函数。
迭代步骤如下:
初始设置加权因子k=10,ω1=ω3d=6.5rad/s,第一输入等效力矩模型和负载力矩模型依前述单自由度仿真建立。v2为ω2经螺旋传递装置转化为往复运动的速度。
第一步:(1)给第二输入一个函数,假设

,如图4-20所示。
(2)在adams下建立的样机模型里,将上述速度值设置到第二输入中,设置好后,进行仿真。得到输出速度图4-21。
(3)将上述输出速度图每隔0.005秒采样一次,得到一组输出速度值的离散数据,以数据文件格式输出,如图4-22所示(图中只截取0.2秒内)。
(4)将上述数据,形成一组输出速度函数

,控制器调用学习控制算法,先根据判断式:
判断是否超出许用值,在误差范围内。如果超出,用以下算式计算,
得到新的一组

值,数据处理转化成平动速度,拟合形成3阶拟合曲线函数,如图4-23所示(实线为拟合曲线,下同)。
第二步:(1)将上述拟合的函数:作为新的第二输入函数:
(2)在Adams下建立的样机模型里,将上述

速度函数设置到第二输入中,设置好后,进行仿真。得到输出速度曲线,如图4-24所示。
(3)同样,将上述输出速度图每隔0.005秒采样一次,得到一组输出速度值的离散数据,以数据文件格式输出,如图4-25所示(截取0.05秒内)。
(4)将上述数据,形成一组输出速度函数

,控制器调用学习控制算法,先根据判断式:
判断是否超出许用值,在误差范内。如果超出,用不以下算式计算,
得到新一组

值,数据处理转化成平动速度,拟合形成3阶拟合函数曲线,如图4-26所示(图中实线为拟合函数)。
第n步:
依次类推,程序一周期迭代一次,直至得到符合要求的输出速度,最后得到一组理想的第二输入速度函数。
由于算法是用C语言编写的,它和Adams软件的接口技术问题一直没有很好的解决,导致上述过程事实上分两阶段手动完成的,就是先仿真得到输出速度曲线,然后将该曲线离散化输出到数据文件当中,然后在C语言环境下,调用该数据文件,编程处理计算出新的ω2。所以这一部分没有实现完全的控制和仿真联合起来,导致无法得到一个收敛的ω2函数和一个比较适合的加权因子k的值,很是遗憾。
§4.4本章小结
在本章中,经理论分析和仿真研究表明,该柔性速度补偿装置主要融合一些适度柔性机器原理,利用机构自身的运动特性,并通过伺服驱动系统的适度调整来调节速度的波动。
首先伺服电机不动作,该装置作为一个单自由度机构就可以补偿大部分的速度波动。然后,采用学习控制的方法作为该柔性速度补偿装置的控制策略。因为基于迭代的学习控制基本思想是针对一类特定的系统但又不依赖系统的精确数学模型,它通过反复训练的方式进行自学习,使系统逐步逼近期望的输出。在控制算法控制下伺服电机依据波动情况驱动第二输入,实现在两自由度机构和控制系统协同工作,最终为执行机构提供一个比较平稳的速度输入。
该补偿装置的主要特点是具有适度的柔性,可在一定范围内根据机械参数或运行工况的变化而进行相应调整。此外,其柔性还体现在对非加载时段的速度波动可根据需要选择是否进行补偿,不是全程速度补偿,从而适度降低补偿的代价。