第3章 弹性联轴器运动与动力特性
3.1 弹性联轴器的刚度和阻尼
弹性联轴器由于具有能产生较大弹性变形和阻尼作用的弹性元件,因此除能补偿两轴相对位移外,还能起缓冲和吸振的作用。弹性联轴器能适应载荷的波动,所以其应用较广,类型也较多。这种联轴器的缓冲和吸振性能主要与其刚度和阻尼有关。
联轴器的刚度可分为径向刚度、周向刚度和扭转刚度。由于载荷变化多数以扭矩波动形式出现,由此引起的振动也是以扭转振动为主,所以联轴器最主要的刚度是扭转刚度。扭转刚度易产生单位扭转变形所需的扭矩表示。通常,由于传动轴系中其它零件的刚度都比弹性联轴器的刚度大得多。所以为了简化起见,其它零件的弹性可以略去不计。仅考虑联轴器弹性,并根据这一情况以联轴器的刚度作为传动轴系的刚度。
刚度可用下式表示:
C=T/
(3-1)
式中 T——联轴器传递的扭矩;
——在扭矩作用下两半联轴器的相对扭转角。
当轴系接近发生共振时,刚度随扭矩增大而增大,改变传动轴系的固有频率与振动频率之间的关系,就能避开共振。
弹性联轴器在传递不稳定扭矩的过程中,弹性元件的弹性变形随扭矩的改变而增减。由于变形的不稳定,在弹性元件相对运动的接触表面上产生外摩擦,同时在弹性元件内部还存在内摩擦。这些摩擦将吸收一部分动能转化为热能,使温度升高。这就是联轴器的阻尼作用。阻尼作用能实现缓冲和衰减振动。联轴器的阻尼性能可以用阻尼系数表示。它是每一次载荷循环中产生的阻尼能和储存在扭转弹性元件中的变形能之比,即ф=Wd/We。在振动运动微分方程中,粘滞阻力系数用γ来表示,它与阻尼系数之间的关系为γ=
,ω为振动频率或绕动力矩变化频率。阻尼系数大,由于摩擦而消耗的能量就多,反之,阻尼系数小,由于摩擦而消耗的能量就少。
弹性联轴器一般都有缓冲和吸振功能,但是具有某一定值弹性的联轴器,并不是在任意的变扭矩作用下都能产生减振的效果,有时反而会引起更强烈的振动。其原因不在于此联轴器的刚度大小。可见,只有刚度和整个传动轴系的其他参数和载荷协调时,才能产生减振效果。因此,必须根据课题条件,通过计算来定出联轴器的刚度。
3.2 周期性载荷作用下的动力特性计算
对于某一已定的传动轴系,转动惯量和固有频率可由计算求得,如果已知所传扭矩的变化规律,如振幅和频率等,就能建立起轴系在扭转振动式的运动微分方程,对该方程求解,即可得到所需的联轴器的刚度。
为了便于求解运动微分方程,需要对传动轴系中联轴器的主动和从动两侧的转动惯量和刚度作力学模型的简化。根据具体结构情况,可以将轴系简化为若干个等效转动惯量圆盘,以具有某一刚度的周联系起来。通常比较典型的是简化为两个等效的圆盘,配置在联轴器的两侧。并设定所联两轴的刚性很大,只有联轴器具有弹性和阻尼。如图3.1所示

设定主动轴与圆盘1以恒扭矩经联轴器带动从动轴上的圆盘2,而在从动圆盘上有按简谐规律变化的扰动扭矩分量。此时,根据动量矩定理,按联轴器两侧力矩平衡条件,可以分别列出两圆盘的转动运动方程式,即系统扭振的微分方程为:
I1
+r
+C
=0 (3-2)
I2
- r
- C
+Td2sinωt=0 (3-3)
式中
,
——主从动圆盘的转角
——两圆盘的相对扭转角
I1,I2——主、从动轴上圆盘的等效转动惯量
,
——主、从动轴的角速度
,
——主、从动轴的角加速度
C——联轴器的刚度
r——联轴器粘滞阻力系数
Td2sinωt——从动轴圆盘上的扰动扭矩
以上两式合并得到二阶常系数线性非其次微分方程

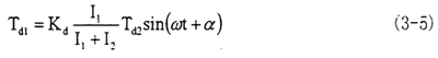
上式的解由两部分组成,即对应的其次方程的通解和本方程的特解。经运算后可得到联轴器所受的谐振扭矩为:

当sin(ωt+α)=l时,表示谐振扭矩达到最大值:

由上式可知,在有阻尼的受迫振动中,经连轴器传递振动扭矩的振幅,主要与动力放大系数和转动惯量有关。当扰动扭矩作用一侧的转动惯量大于另一侧的转动惯量时,可以减小振动扭矩的振幅。反之,对减小振动扭矩振幅的作用不大。动力放大系数对振动扭矩振幅的影响与阻尼系数、扰动扭矩的变化频率及轴系固有频率的比值等有关。当阻尼系数一定时,振动扭矩的振幅仅与轴系的固有频率有关,即与联轴器的刚度有关。
以下分几种不同的扰动扭矩变化频率与轴系固有频率的比值,分析对振动扭矩振动的影响。为了简便起见,不计阻尼系数,即
项等于零。
(l)当
=0,或
,动力放大系数Kd=1。
这表示经联轴器的振动扭矩没有放大,前一种情况相当于没有扰动扭矩,或者可认为轴系的固有频率为无限大,即联轴器为绝对刚性体,其刚度C无限大。后一种情况表示联轴器具有一定的刚度,轴系的固有频率与扰动扭矩的变化频率的比值刚好为
。
(2)当0<
<
时,动力放大系数Kd总大于1。
表示在该扰动扭矩的变化频率下,联轴器的刚度还太大,而弹性不够,不能起到减振的作用,以致使经联轴器传递的振动扭矩增大。若
=1,则Kd=∞,这表明经过联轴器传递振动扭矩的振幅达到无限大,也就是说,轴系发生扭转共振。此时如有阻尼存在,则动力放大系数为Kd= 
即不会使扭转振动的振幅无限增大。但是通常
都是大于1,因此即使有阻尼,扭振还是存在,阻尼对传动系统的影响程度,完全取决阻尼系数的大小。
(3)当
>
时,动力放大系数Kd<1。
表示只有在固有频率为扰动扭矩的变化频率的
倍时,弹性联轴器才能起到减振的效果。频率比值
>>
,意即采用刚度很小的弹性联轴器,这样动力放大系数可降到很小值,这对减振的效果最好,但是却过分降低了联轴器的承载能力。此外当比值过分大时,也有可能与较高一阶的共振频率接近,仍会引起共振。因此,联轴器的刚度也不宜过分小。
3.3 冲击载荷作用下的动力特性
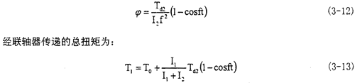
机械可能受到周期性的扰动扭矩作用而引起轴系振动,也可受非周期性的扰动扭矩作用而引起轴系振动。例如有冲击载荷引起的轴系振动。在许多机械上,比较常见的是冲击式作用的变载荷。对于从动轴上作用有常量冲击载荷的情况,与前述情况相似,仍可通过根据冲击载荷条件列出的运动方程,得到在常量冲击载荷作用下的物阻尼系统。有冲击载荷产生的扭转角为:

上式表明轴系有冲击载荷作用时,经联轴器传递振动扭矩的大小,除与转动惯量有关外,还与冲击载荷作用的时间长短有关。以下为按冲击载荷作用时间的长、短的两种情况:
1.冲击载荷突然作用后,在长时间内保持不变,这样的承载方式相当于机械先空载起动,然后在满载条件下工作。此时经联轴器传递的总扭矩为
T1=T0+
Td2(1-cosft) (3-9)
式中T0经联轴器传递的稳定扭矩,Td2表示作用在从动轴上的冲击扭矩,当t=
时,经联轴器传递的扭矩达到最大值:

上式表明,如果发生冲击扭矩一侧轴上的转动惯量较小,经联轴器传递的扭矩接近于冲击扭矩的2倍,联轴器的振动周期T为:

在冲击载荷作用下,联轴器的弹性高低,对冲击载荷引起,经联轴器传递最大扭矩的幅值并无影响。只是改变振动周期的长短。联轴器的弹性愈高,固有频率愈低,经联轴器传递的扭矩达到最大值的时间就愈长。因此,联轴器的弹性对改善传递扭矩的平稳性有利。影响联轴器传递的扭矩最大值的因素之一,就是联轴器两侧转动惯量的比值。当冲击载荷作用一侧轴系的转动惯量大于另一侧轴系的转动惯量时,就能减小经联轴器传递的振动扭矩值。此外,当联轴器具有阻尼时,由于阻尼消耗了一部分冲击能量,也可减小最大扭矩。
2.冲击载荷突然增加后,只持续一段较短的时间t1就恢复正常值。当冲击载荷持续作用的时间t1≥
,即持续时间大于或等于固有频率的周期的一半时,经联轴器传递的扭矩仍然有时间达到最大值。因此,这种短时受冲击载荷与冲击载荷增加后在较长时间内保持不变的情况一样,在0<t<t1这一时间内,经联轴器传递的扭矩,当不计阻尼时,仍可用(3-1)计算。只有当冲击载荷作用时间t1<
,才是属于突然的短时间受冲击载荷。此时经联轴器传递的振动扭矩仍可按上述方法得出有关计算式。
当时间区间为O≤t≤t1时(即冲击载荷开始作用至消失时的时间)由冲击载荷引起的两半联轴器的相对扭转角为:

这与(3-9)相同,对于t≥t1,即在冲击载荷消失之后的某一时刻,以上两式转化成
如下形式:
因冲击载荷引起的两半联轴器相对扭转角:

由式(3-10)可知,在短时冲击载荷作用下,联轴器传递的最大扭矩随t1与f之间的关系而变。例如

由此可见,随着冲击载荷作用时间的缩短,经联轴器传递的最大扭矩也随着减小。或者在冲击载荷作用时间相同的条件下,只要所选联轴器的弹性相当大,使得轴系的固有振动频率降低以达到保持
t1,就能使经联轴器传递的最大变动扭矩小于冲击扭矩。综上所述,有冲击载荷作用时,选择具有弹性的联轴器,能够起到缓冲作用。需要多高的弹性,则与冲击载荷持续作用的时间、轴系的转动惯量等有关。一般联轴器的承载能力,随着弹性的增加而降低。因此,对于大型的和需要量较多的联轴器,如果按上述方法选定联轴器,则其尺寸和重量都有加大,从而增加制造成本并增加轴系的附加载荷。为此,当冲击载荷作用次数不多时,可以采用安全性联轴器,或采用具有较高阻尼的弹性联轴器。
上一页
下一页