1
中国减速机行业最大的门户网站!
免费注册 | 会员登录会员中心 设为首页加入收藏 联系我们
 当前位置:首页 >> 技术讲座 >>博士论文>> 正文
   我要成为会员
由小川 研究生——超高压钢制输气管道裂纹韧性减速机理的研究
来源:减速机信息网    时间:2007年10月16日9:34  责任编辑:wangtao   
 

第三章  韧性减速机理与相关数值模拟

上一章讨论了稳态扩展前提下的输气管道动态断裂有限元计算。之所以很多研究把稳态扩展作为前提,并曾在相当长的时间内采用Kalininen估算管道极限裂纹扩展速度的(2-6a)式计算裂纹稳态扩展速度,是因为高压输送兴起以来,人们曾长期认为材料的抗力远远不足以抵御高压气体逸出引起的裂纹驱动力,裂纹不断被加速驱动,直至扩展速度达到了接近于极限速度的稳态值。这确实符合早期动态脆性断裂的观测结果。

随着冶金技术水平的提高,管材的性能发生了较大的变化。与此同时,管线的设计压力也有了大的提高。原有的动态脆性断裂几乎不再发生。新的动态延性断裂乃至高压高韧性断裂能够导致断裂速度接近于极限,并形成稳态扩展吗?这个稳态扩展的前提值得怀疑。

3.1  从韧性变化看钢制管道动态断裂

在天然气管线裂纹止裂研究的历史上,对管线断裂现象认识有一个提高的过程。在管线建设的早期,由于当时冶金水平的局限,管材的韧性水平较低,韧脆转化温度DBTT(Ductile-to-Brittle Transition Temperature)较高,发生了很多管线的脆性断裂事故。防止脆性断裂的发生是人们的主要研究课题。

管线的工作温度在管线钢的DBTT以下时,动态断裂呈现宏观脆性断裂的特征,即其横纵向断口都为平直的只有很少剪切唇或完全没有剪切唇的脆性断口。这种动态脆性断裂(DBF)沿着管道的对称面发展,如图3-1a所示。

为了防止管线脆性断裂事故的发生,人们进行了大量的研究工作,提出了用管材的夏比冲击韧性值和落锤撕裂实验(DWTT)的断口形貌转化温度作为判定管线是否发生脆性断裂的依据。

此后铺设的管线采用了DBTT低于管线工作温度的钢材,用高压多次加压检测可能会产生的缺陷,改进老管线的操作条件等多种措施。实践表明,这些措施较为可靠,基本解决了动态脆性断裂的问题。

20世纪70年代以来,随着纯净钢、连铸板坯及低碳微合金化钢板控轧技术的发展,管材的韧性得到飞跃性的提高。随后又引入了计算机自动控制技术和多探头的无损探伤技术等,能够保证超高压运行的高韧性管道得以实现。

近年来,超纯净钢的出现为直焊缝管的发展提供了原材料方面更大的支持,加上整体热处理、热张力减径等原用于无缝管轧制的技术引用于直焊缝管生产,其产品向高等级、多元化方向发展,其性能己等同或超过无缝管。

在管道用钢韧性性能大幅度上升的背景下,20世纪60年代,延性失稳断裂事故首次在输气管线上出现。动态延性断裂(DDF)在宏观剪切面上扩展,与管道表面呈45度倾斜角,有很大的剪切唇,如图3-lb和图3-1c所示。虽然这种断裂的环境温度高于钢材的韧脆转化温度,但由于钢材的韧性相对于强度较低,还是使动态断裂扩展先于显著的塑性应变而发生。

图3-2显示了DBF和DDF的形貌特征。从图中看出动态延性断裂相比于脆性断裂具有速度较低,裂纹扩展途径比较单一,能自行止裂等特点。由于脆性断裂已被广泛遏止,近二十年来,人们把注意力主要集中在延性断裂的起裂扩展和止裂上,对延性断裂的关注远超过对脆性断裂的研究,目前还远未结束。管线钢动态断裂韧性的测定也就成为了人们关注的焦点。

3.2  全尺寸实验中出现的减速现象

为了清楚地阐述在国外高韧性输气钢管的全尺寸爆破实验中观测到的由材料韧性引起的裂纹持续减速现象,有必要先对全尺寸实验的方法作较为细致的描述。本节的数据还会用作第四章小试样实验和本章的韧性减速计算的比较。

说到全尺寸实验,就不能不提凭借全尺寸实验数据进行止裂预测的Maxey双曲线法。下面我们就从Maxey双曲线法开始对全尺寸实验中得到的结果以及遇到的问题做归纳性的陈述,同时引出本文的发现和观点。

3.2.1  Maxey双曲线方法

在延性断裂的止裂研究中,人们一直试图确定材料的韧性值达到多大,可以使管线具有足够的止裂能力。由于全尺寸实验相当昂贵,且结果仅对应于特定的天然气成分、管道性能等因素,因此需要对实验的特性进行定量化以用于动态延性断裂止裂设计。关于止裂韧性临界值的预判模型,国际上应用较多的是1975年BMI的Maxey等人建立的双曲线(Two-Curve)方法。

双曲线法的具体分析过程如图3-3所示,坐标横轴表示速度,纵轴表示气体压力或环向应力。上方的一组曲线表征不同韧性水平下的断裂速度,是内压或环向应力的函数。随着内压或环向应力在断裂过程中的减小,断裂速度不断降低。如果压力或应力足够低,断裂速度即减小到零而发生止裂。

下面的虚线与气体减压波速有关,它也是环向应力或管道内压的函数。在减压过程中,连续的减压波沿管子传播,对应于每个压力有一个唯一的波扩展速度。因此在减压波沿管线从开裂源传播时在很宽的速度范围内压力是连续的。

根据管道动态断裂扩展与止裂的减压波速判据,当裂纹扩展速度低于管内介质的减压波速度时,裂纹会停止扩展;当裂纹扩展速度高于管内介质的减压波速时,不会发生止裂。

这种说法的依据是:对于前一种情况,从裂源处开始,减压波前沿的移动速度比断裂扩展速度更快,使得裂纹尖端的管壁应力因减压波的通过而不断减小,并最终降至止裂应力水平以下而使裂纹止裂;反之裂纹尖端的压力不发生变化,断裂将持续扩展,因为裂纹尖端的动态袭纹驱动力不会减小。

如果断裂速度曲线和压力波速曲线不相交,则在任何条件下减压波速都大于断裂速度。根据减压波速判据,裂纹扩展将发生止裂。如果两曲线相交或相切,则最少有一点压力所对应的压力波速和断裂速度是相等的。这时管道将发生持续的裂纹扩展。因此,图3-3中两条曲线的切点对应于止裂所需的临界韧性,切点处的横坐标即为稳态扩展情况下的断裂速度。

为了得到数值解答,Maxey的延性断裂模型总结出了裂纹扩展速度和管内压力(或环向应力)之间的经验关系:

式中vf表示断裂扩展速度(m/s);C是由经验确定的回填常数;σf为流动应力,MPa,σf=(σy+σu)/2,σy为屈服应力,σu为拉伸强度:c2/3为2/3厚度试样的夏比冲击韧性值(J/mm2);Pd为裂尖处的气体压力(MPa);Pa为止裂时的气体压力(MPa);σH为裂尖处的环向应力(MPa);σa为止裂时的环向应力(MPa)。

式(3-l)中止裂压力(环向应力)Pa(σa)有如下的计算关系式:

式中R为管道半径(mm);E为弹性模量(MPa);h为管道壁厚(mm)。

这种双曲线法的处理还被用于处理富气输送问题。乙烷等其它烷类气体的混入引起了两相减压行为。在两相状态下,减压波速曲线会在相变过程区产生平台,表明相变阻碍了气体从开裂的管道中逸出,使得裂纹止裂更加困难。

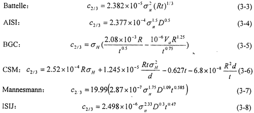
在双曲线法的基础上,结合大量的实验结果对止裂韧性进行标定,世界各大研究机构分别给出了简便易算的经验公式用以估算临界止裂韧性,列举如下:

其中c2/3为估算的2/3尺寸单位面积夏比冲击临界止裂韧性(J/mm2);d为埋入深度(mm);其余符号的物理意义与单位与前面相同。

Maxey双曲线法及导出的经验公式的优点在于理论及算法比较简单,易于工程应用,因而从20世纪70年代起被国际上广泛采纳,并通过了实验的检验。

必须指出的是,这些经验公式都是根据早期的低韧性全尺寸实验(CVN能量小于100J)数据经常数标定而得出的,对于高韧性管线钢,这些公式出现了明显的偏差。随着近年来管道钢管材料特性的变化,材料强度及韧性的提高,以及高压富气输送工艺的采用,使已有的止裂预测公式偏于危险。

图3-4表示了Battelle应用Maxey双曲线法对全尺寸实验数据库所做的DDF止裂韧性预测,图3-4a至图3-4f分别对应于式(3-3)至式(3-8)。图中显示的实验用管的钢级包括X52到Xl00,管径范围从4O6mm到1422mm,实验最高压力超过16MPa。可见,预测模型在管材韧性低于某一水平时预测结果与实物实验结果基本吻合,但当管材韧性较高时出现明显偏差,预测应该止裂的管线没有止裂。经典的止裂预测模型在预测夏比能量值高于94J的管材时,已经偏于危险,即过高估计了管材的止裂性能。

为了保留原有的经验算法,1997年Leis认为保证该算法准确的临界韧性值为94J,并对高韧性结果做了修正:

预测冲击韧性CVN>94J时:CVN′=CVN+O.002CCVN2.04-21.18               (3-9)

预测止裂冲击韧性CVN<=-94J时因非线性影响不明显而不做修正。

这种修正方法仅是一定范围内根据真实实验结果的近似归纳,并不能从趋势上解决双曲线法在描述高韧性淬火回火钢时出现的偏差。其原因是高韧性钢出现后,传统的动态实验手段引起与断裂无关的显著能量散失。

上一页

下一页

 

查看评论 】【关闭窗口
  精品推荐     相关信息
网友留言
发表评论:  标题:    联系方式
  
 
*必须遵守《全国人大常委会关于维护互联网安全的决定》及中华人民共和国其他有关法律法规。
*不得制作、复制、发布、传播含有下列内容的信息:
   (一)反对宪法所确定的基本原则的;
   (二)危害国家安全,泄露国家秘密,颠覆国家政权,破坏国家统一的;
   (三)损害国家荣誉和利益的;
   (四)煽动民族仇恨、民族歧视,破坏民族团结的;
   (五)破坏国家宗教政策,宣扬邪教和封建迷信的;
   (六)散布谣言,扰乱社会秩序,破坏社会稳定的;
   (七)散布淫秽、色情、赌博、暴力、凶杀、恐怖或者教唆犯罪的;
   (八)侮辱或者诽谤他人,侵害他人合法权益的;
   (九)含有法律、行政法规禁止的其他内容的。
* 您发表的文章仅代表个人观点,与减速机信息网无关。
* 承担一切因您的行为而直接或间接导致的民事或刑事法律责任。
* 本站评论管理人员有权保留或删除其管辖评论中的任意内容。
* 您在本站评论板发表的作品,本站有权在网站内转载或引用。
* 参与本评论即表明您已经阅读并接受上述条款。
关于我们 - 联系方式 - 版权声明 - 本站宗旨 - 网站地图 - 广告服务 - 帮助中心 - 设为首页 - 加入收藏
本站域名:www.jiansuji001.com 网络实名:减速机 jiansuji 减速机信息网
Copyright © 2005-2006 By 减速机信息网 All Rights Reserved.
建议使用:1024*768分辨率,16位以上颜色、IE5.0以上版本浏览器