第6章 两级三环减速器用于抽油机的探讨
6.1 引言
有杆抽油方法是各油田最为广泛使用的一种人工举升采油法,占我国机械采油井的90%以上。有杆抽油设备的地面驱动部分就是抽油机。而减速器是抽油机的重要部件,其作用是传递动力和降低运动速度,将电动机的高速转动(1450,96,735r/min)变为抽油机曲柄的低速转动(4~15r/min)。由于抽油机的工况恶劣和在用的外啮合减速器的特点,减速器的一级传动齿轮寿命短,影响了抽油机的正常工作。三环减速器是在普通减速器技术的基础上开发的一种新型传动装置,其基本件运动和受力均匀并充分利用了功率分流和内啮合多齿接触的原理,因而它具有体积小、重量轻(比普通软齿面圆柱齿轮减速器轻1/3-2/3)、结构紧凑、传动比大、传动效率高(单级为92%-96%)、承载能力大等优点。笔者提出了一种以金属弹性均载环作为均载和隔离振动元件的积极隔振的可用于抽油机的新型带有同步带传动的完全平衡均载减振的三环减速器,该减速器齿轮传动部分的惯性力和惯性力矩完全平衡,同步带传动实现了三环传动的双轴输入和功率分流及均载,并克服了死点问题,弹性均载环实现了三环减速器均载和减振。本章笔者首先对一种新型抽油机进行了结构、运动和动力学研究,随后提出了一种可用于抽油机的新型三环减速器,最后,根据振动理论对处于弹性支撑的输出轴进行了动态受力分析,结果表明:该新型三环减速器完全可取代在用的减速器用在抽油机上,且新型三环减速器有着优越的动力学性能。
6.2 双摆增程式抽油机的几何尺寸计算及动力分析
6.2.1结构及工作原理
双摆增程式抽油机的结构如图6-1所示。其工作原理为:电机的高速旋转运动,通过两级三环减速器、四连杆机构转变成游梁的往复摆动,游梁上的摆轮随游梁一起摆动,再通过链条缠绕滑轮组传动并带动光杆上下运动,实现抽油过程。该机是利用链条行程是摆轮行程两倍的原理,实现增程的。

6.2.2 双摆增程式抽油机的几何尺寸计算
双摆增程抽油机几何关系如图6-2所示。

双摆增程式抽油机主体机机由四连杆机构和滑轮组组成,各杆件的尺寸决定了抽油机的运动性能。相关的几何参数计算公式如下:
(1)曲柄位置角φ,井口位于观察者左侧,曲柄铅直且位于时针12点的位置时,φ=0,曲柄顺时针旋转为正。
(2)机架位置角φ0,当φ=0时,曲柄与机架K0所夹的角:

(3)当曲柄处于任意位置时的其它参数公式如下:

6.2.3 运动和动力分析
曲柄随减速器输出轴作匀速圆周运动,连杆作平面运动,游梁绕支架轴承中心摆动,安装在游梁上的摆轮随游梁一起摆动,通过链条绕滑轮组传动,抽油机悬点加速度的大小是评价抽油机优劣的重要因素之一,外负荷是引起三环减速器振动的重要因素。
1.四杆机构的运动分析 曲柄角速度:
ω1=2πn/60,
式中 n——曲柄转速,(r/min)。
连杆角速度:

游梁角速度:

连杆角加速度:

游梁角加速度:

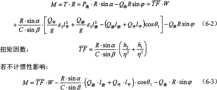
2.连杆力和曲柄轴扭矩计算 设地游梁上作用有链条拉力W2、W3,连杆作用力P连,游艺机梁支点o1的反作用力R平、R垂,游梁重和摆轮重的折合力Q游以及平衡重Q平。
对o1作力矩平衡式,得出P连:

式中 l平——平衡重质心到o1的距离;
l游——考虑摆轮后的游梁质心到o1的距离;
W——悬点载荷;
η——单滑轮的效率。
在曲柄销处的作用力有切向力T,连杆作用力P连,曲柄折合力Q曲,曲柄轴承沿曲柄的反作用力P柄以及曲柄质量造成的离主力Q曲ω2R/g。
对曲柄轴中心o作力矩平衡式,得扭矩

公式(6-2)、(6-3)为双摆机减速器曲柄轴扭矩的计算公式。
同型的双摆机与塔架机相比,具有减速器配备功率低,整机高度低,重量轻,投资小等优点。
6.3 用于抽油机的两级三环减速器
6.3.1 结构及工作原理
用于抽油机的新型两级三环减速器的结构如图6-3所示。

其工作原理为:电机轴上的小带轮通过啮合传动,带动同步带运动,同步带再通过啮合传动,带动两大带轮同步旋转,实现一级减速、均载和功率分流。相同的大带轮使三环减速器的曲柄轴1和8同步旋转,传动环板上的内齿圈2, 3和4与输出轴7上的外齿轮6相啮合,形成了大传动比,实现了二级减速及动力传递。三环减速器轮齿啮合的均载由弹性均载环实现。采用平顶圆弧齿同步带传动作为一级减速的目的是进行功率分流并形成双轴输入以克服死点,同时还可增加减速器的传动比,并使内齿环板的运动速度下降,这样,能够使减速器在重载高速的条件下,环板引起箱体5的振动较小。同时,可采用价格较低的转速在1500r/min 以上的高速电机。
6.3.2结构特点及用于抽油机应注意的问题
设计的新型三环减速器由于在结构上采用了对称布置的承载能力高(多齿啮合)的内啮合传动,并利用了内齿环板上的内齿圈的空间体积,使完全相同( 2和4可看作为一块)的两块内齿环板均匀的分担输出轴外齿轮上的载荷,这使每个轮齿所受的负荷较小。减速器是机械采油用抽油机的重要部件,目前,主要采用双圆弧齿轮减速器,该部件采用的是两级外啮合传动,传动过程中的啮合齿数较小,单齿受的力较大,一级传动轮齿易发生破坏。同时,外啮合使得减速器的体积和重量大。安装在输出轴轴承外圈和轴承孔座之间的弹性均载环的弹性变形使得输出轴上的外齿轮浮动,可以补偿减速器的制造、安装误差和传动中的变形,实现三环减速器的均载和减振。针对抽油机的工况,我们认为,带有同步带传动的完全平衡均载减振的新型三环减速器完全可用于抽油机,一级同步带传动既能实现三环传动所需的同步输入,又可通过调整大小两同步带轮的尺寸比例(调一级传动比),实现调整抽油机的冲次,满足生产需要。刹车装置布置在输入轴无带轮一侧。输出轴处在减速器的中心,抽油机的两根曲柄分别对称安装在输出轴的两外伸端上,这使得减速器受力合理。为了避免曲柄转动时与输入轴端的同步带轮相碰,应使输出轴的外伸端向外伸出长―些。
6.4用于抽油机的两级三环减速器的振动分析
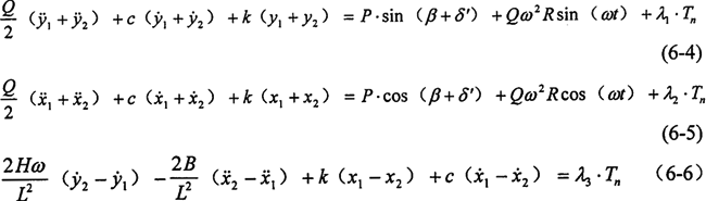
6.4.1动力学模型
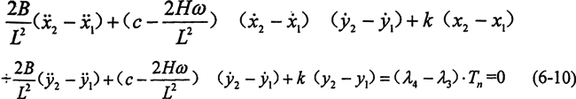
抽油机曲柄轴的弯曲和扭转刚度较高,而设计的弹性支撑的刚度较低,又由于重载工况下,内啮合时,啮合的齿数较多,啮合刚度波动小,可看成定值,且啮合刚度远高于弹性支撑刚度,故曲柄轴可简化成水平布置的轴对称刚性转子在两个完全相同的弹性支撑中回转的形式,且轮齿的 的合点受恒定的啮合力作用。如图6-4所示。

设:弹性支撑的刚度和阻碍尼分别为k和c,输出轴与曲柄和平衡块构成的转子的主中心轴惯性矩为H,赤道惯性矩为B,质量为Q,R为中心对回转轴线的偏心距,L中心到支撑点的距离,左右弹性支撑上相应两点的坐标分别为y1,x1和y2,x2。λ1,λ2,λ3,λ4为载荷分配不均匀的影响系数,可由均载试验的结果或力平衡方程求得,若均载效果好,均载系数接近1,λ1,λ2,λ3,λ4的值近似为0。
依据牛顿第二定律和惯性中心运动的理论以及在相对运动中对于惯性中心的力矩理论,可得转子的运动微分方程为:


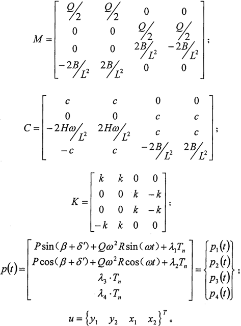
用矩阵形式表示为:

式中

方程中的惯性矩阵、阻尼矩阵和刚度矩阵均匀为非对角阵,故,该方程是一个相互耦合的二阶常微分方程组。
6.4.2 激振力的处理
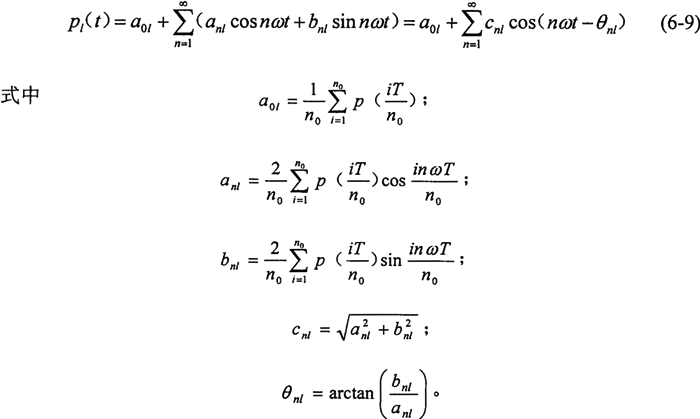
方程右端的激励精图治振力是复杂周期函数,依据傅里叶级数展开原量,可将非简谐的周期性激振力展成多个频率成整倍数关系的简谐激振力函数之和。由前面分析知,连杆力分力、惯性力和曲柄轴扭矩均为曲柄转角的函数,由于曲柄轴转速恒定,故,激振力为时间的函数,设为Pl(t),(l=1,2,3,4)其周期为T,考虑到激振力函数复杂且连杆力中的悬点载荷W难以用数学表达式描述,积分难以实现,采用求和的方法求系数更为有效,以n0作为一个周期的等分区间数(一般取n0=36),时间区间为△t=T/n0,则它的傅里叶级数为:

上式中的各系数可通过自编的简单计算机求和程序求得,均分网格n0越多,计算精度越高,取n0=36时的计算精度已足够高了。
6.4.3 动态响应的求解方法
由于新型三环减速器的均载机构均载效果好,均载系数接近1,则:λ1,λ2,λ3,λ4的值近似为0。
则式(6-7)-(6-6),有:

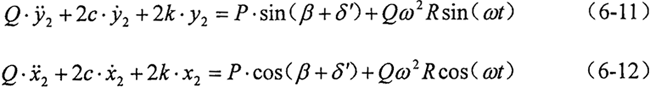
对于对称的新型三环减速器,观察方程(6-10),x2=x1,y2=y1是方程的解。
将上述关系代入式(6-4)和(6-5),有:

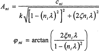
根据叠加原理,对方程(6-11)和(6-12)求解,可得系统在x和y方向的总响应分别是:

式中

这里,i是x或y。
上面讨论了未考虑均载影响,即:均载系数为1,λ1,λ2,λ3,λ4的值为0时的新型三环减速器弹性支撑时的动态响应问题。若均载效果较差时,则需考虑λ1,λ2,λ3,λ4的影响,即使均载较好,均载系数的影响也是不可忽略的,这时需要对方程进行以复模态为基础的复模态分析。
6.4.4讨论
1.固有频率的变化 安装弹性均载环后,系统的质量不变,但是系统的刚度较安装均载环前降低许多,由公式
知,系统无阻尼固有频率也随之降低。也就是说,弹性作用降低了冲击力的幅值,使振动减弱。
2.同步带传动的影响 新型三环减速器增加了一级同步带传动,带的弹性作用可有效的吸收部分高速轴运动时产生的振动,同时实现了两曲柄轴的扭矩分布均匀,克服了单轴输入时的高速轴受到的水平方向的双向冲击,这使得新型三环减速器的受力合理,传动效率高,产生的冲击力变小。
3.新型结构对振动的影响 采用一级传动后,二级传动的输入轴的转速降低,二级传动中的单片内齿环板所产生的惯性力和惯性力矩较原三环减速器的要小的多(仅为一级带传动比的平方分之一),整机的惯性力和惯性力矩为零,使得惯性力(力矩)引起的振动减弱。
6.5本章小结
本文依据功率分流、弹性环均载减振、同步齿形带缓冲及吸振和机构动力平衡原理,提出了一种具有圆弧齿同步带传动的完全平衡、均载减振,偏心相位差为180 。的新型三环减速器。并对该减速器用于抽油机进行了研究。
根据机构学理论和力学原理,建立了双摆增程式抽油机的几何关系式和运动学和动力学方程,为振动分析提供了激振力研究了新型减速器用于抽油机的可行性,提出了用于抽油机的新型三环减速器设计中应注意的几个问题。
依据振动理论建立了具有弹性支撑的输出轴的动力学分析模型,采用周期函数的傅里叶级数展开,将复杂的激振力分解成为多个频率成整倍数关系的简谐激励函数,其系数采用在区间内均分后再求和的方法得到。依据牛顿第二定律和惯性中心运动的理论以及在相对运动中对于惯性中心的力矩理论,导出了相互耦和的运动微分方程,并给出了动态响应表达式,结果表明,输出轴两端支撑同步,保证了轮齿的良好啮合。该新型减速器可用作抽油机的传动装置。
上一页
下一页