第4章 不对中状态的理论分析
4.1 以材料力学为基础的受扭分析
联轴器正常工作情况下,只受到一个旋转的扭矩。因此首先来研究圆环受扭转时的应力,这要综合研究几何、物理和静力等三方面的关系。

4.1.1 变形几何关系
为了观察圆轴的扭转变形,与薄璧圆筒受扭一样,在圆周表面上作圆周线和纵向线,在扭转力偶矩m作用下,得到与薄璧圆筒受扭时相似的现象。即:各圆周线绕轴线相对地旋转了一个角度,但大小,形状和相邻圆周线的距离不变,在校变形的情况下,纵向线仍然近似地是一条直线。只是倾斜了一个微小的角度,变形前表面上的方格,变形后错动成菱形。
根据观察到的现象,做下述基本假设:圆周扭转变形前原为平面的横截面,变形后仍保持平面,形状和大小不变,半径仍保持为直线;且相邻两截面间的距离不变。这就是圆周扭转的平面假设。按照这一假设,扭转变形中,圆轴的横截面就像刚性平面一样,绕轴线旋转了个角度。以平面假设为基础到处的应力和变形计算公式,符合试验结果,且与弹性力学一致。
在图4.1中,ф表示圆周两端截面的相对转角,称为扭转角。扭转角用弧度来度量。用相邻的横截面p-p和q-q从轴中取出长为dx的微段。剪应变
y=P
(4-1)
式中dф/dx是转角φ沿x轴的变化率。对一个给定的截面来说,它是常量。公式表明,横截面上任一点的剪应变与该点到圆心的距离p成正比。
4.1.2 物理关系
以
P表示横截面上距圆心为ρ出的剪应力,由剪切胡克定律知道
P=G·y (4-2)
将式(5-1)代入上式则可以得到
P= G·P
(4-3)
这表明,横截面上任一点的剪应力
ρ与该点到原新的距离ρ成正比。因为Yρ发生于垂直于半径的平面内,所以Yρ也与半径垂直。如果注意到剪应力互等定理,则在纵向截面和横截面上,沿半径剪应力的分布如图4.2所示

因为公式中的 dф/dx尚未求出,所以仍不能用它计算剪应力,这就要用静力关系来解决。
4.1.3 静力关系
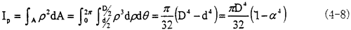
于圆轴横截面内,按极坐标取微分面积dA,求出内力系对圆心的力矩就是截面上的扭矩即:

Ip称为横截面对圆心点的极惯性矩。由公式可以算出横截面上距圆心为ρ的任一点的剪应力为:

在圆截面边缘上,ρ为最大值R,得到最大剪应力为:

引用记号Wt=
,Wt为抗扭截面系数,便可以改写公式为τmox=
,导出的公式中引进了截面极惯性矩和抗扭截面系数,在空心轴的情况下有


其中D和d分别为空心圆截面的外径和内径,R为外半径,α=d/D
最后建立圆轴扭转的强度条件,根据轴的受力情况或扭矩图,求出最大扭矩Tmax。对于等截面杆,按照公式算出最大剪应力τmax不超过许用应力[τ],

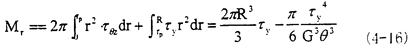
4.2 以弹塑性力学为基础的受扭分析
在材料力学中已知圆轴扭转时的变形规律。随着扭矩MT的增加,剪应力也不断增大。由于圆轴最外层剪应力最大,因而最外层首先进入塑性状态,此时的扭矩就是圆轴的弹性极限扭矩
MT=
(τθz)max (4-11)

(1)当最外层开始屈服时,此时最外层剪应力应达到剪切屈服应力τy,即(τθz)max=τy,如图4.4(a),于是有
=
τy。
若选用Mises屈服准则,则有

若选用Tresca屈服准则,则有

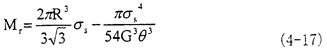
(2)当圆轴整个截面都进入塑性状态,如图4.4(c),此时的扭矩就是圆轴的塑性极限
,即

若选用Mises屈服准则,则

若选用Tresca屈服准则,则

(3)当扭矩MT处于弹性与塑性极限扭矩之间时,即
<MT<
时,则圆轴外层处于塑性状态,内层处于弹性状态,弹性区与塑性区的分界面半径为rP,此时扭矩

此时剪应力在截面上沿半径R的分布情况见如图4.4(b)所示。
若先Mises屈服准则,则有

若选用Tresca屈服准则,则有

随着扭矩的增加,塑性区由圆轴的外层向轴的中心逐渐扩大,直至整个截面全部进入塑性状态。当轴的整个截面全部进入塑性状态后,圆轴将进入无约束的塑性变形,此时的圆轴将完全丧失承载能力。
弹性与塑性极限扭矩之比为:

4.3 轴向不对中时的联轴器的工作状态
在像胶右端面圆环上取单元体,且在分析过程中时取关键的四个象限点的位置作为研究对象,分别为90°,180°,270°,360°位置为研究对象。后面的径向不对中、角向不对中以及综合不对中也采用相同的4个位置进行分析。

轴向不对中时,由于轴向的偏移,橡胶圆环左端面受到附加的向左拉应力,右端面则受到附加的向右的拉应力,并且在旋转过程中,拉应力σax的大小和方向的大小和方向都不会随着圆环的旋转角度改变而改变;由橡胶圆环旋转扭矩产生的剪应力τrot方向始终与其线速度方向相反,而线速度方向在旋转一周的过程中不断的变化。轴向不对中时的应力情况应该是σox与τrot的叠加,所以其受力情况比较复杂。
根据实际情况计算出工作时的剪应力:GK2型内燃机车启动发电机ZQF-38TH,115V,38KW,1170~358Or/min;GK2型内燃机机用柴油机型号为MTU16V396TC14,持续功率为1378KW,旋转角速度为18O0rad/min。柴油机冷区液温度为40℃时最小启动转矩包括加速余量约8OON.m,曲轴扭矩约75ON.m

根据联轴器破坏时的橡胶圆环的裂纹方向和角度,可以知道裂纹有一个400的斜角,也就是说引起破坏的应力平面具有一定的角度。首先假设破坏仅仅是源于轴向不对中应起的,下面对具体的位置进行讨论。
(1)轴向不对中90°位置:当圆环上的单元体旋转到最上方时,也就是90°位置时,单元体的应力如下图所示。

此时的受力情况其实属于二向应力状态,利用解析法可知

最大主应力平面如图4.9所示。
上一页
下一页