(2)轴向不对中180°位置:当圆环上的单元体旋转到最左端时,也就是180°位置时,单元体的应力如下图所示

此时的受力情况仍然属于二向应力状态,只是分析的平面沿着跟着旋转了90°,得出最大、最小主应力为

此时主平面上的正应力平面的角度有这种关系,即α2较α1逆时针旋转了90°

(3)轴向不对中270°位置:当圆环上的单元体旋转到最下方时,也就是270°位置时,单元体的应力如下图所示

此时的受力情况仍然属于二向应力状态,只是分析的平面跟着旋转了90°,

此时主平面上的正应力平面的角度有这种关系,即α3较α2逆时针旋转了90°

(4)轴向不对中360°位置:当圆环上的单元体旋转到最右端时,也就是360°位置时,单元体的应力如下图所示

此时的受力情况仍然属于二向应力状态,

只是分析的平面跟着再旋转了90°,此时主平面上的正应力平面的角度有这种关系,即α4较α3旋转了90°
tg2α4=-
(4-27)
由上面的分析可知,在轴向不对中时,联轴器受到的最大应力的大小始终不变,
最大应力方向随着旋转角度变化。
4.4 径向不对中时的联轴器的工作状态
径向不对中时,由于径向的偏移,橡胶圆环左端面受到附加的向下的剪应力,右端面受到附加的向上的剪应力,并且在旋转过程中,剪应力τrad的大小和方向都不会随着圆环的旋转角度改变而改变;由橡胶圆环旋转扭矩产生的剪应力τrot,方向始终与其线速度方向相反,而线速度方向在旋转一周的过程中不断的变化,径向不对中时的应力情况应该是τrad与τrot,的叠加。所以其受力情况比较复杂。同样取径向位移的方向为y轴,与径向位移垂直的方向为x轴,建立坐标系。分别取四个象限点的位置状态作为研究重点,分别对单元体进行应力分析。
(1)径向不对中90°位置时,当圆环上的单元体旋转到最上方时,也就是90°位置时,这时由,单元体的应力如下图所示

此时的应力属于空间应力状态分析,变形体中任何一点处的应力在不同方向的平面上有不同的值。所谓应力状态指的是任意一点处的应力的大小和方向以及不同平面上应力间的关系 。在主平面上,只有正应力,而剪应力分量等于零。主平面上的正应力叫做主应力。由代数理论可知,有以下方程
-I1
+I2
-I3=0 (4-28)
该方程有三个实根,分别为σ1,σ2,σ3,且有σ1≥σ2≥σ3,此三个应力即为分别作用于三个相互垂直平面上的主应力值,并且在此三个平面上无剪切应力。当坐标变换时,虽然每个应力分量都随之改变,但是有些量是不变的,Il,I2,I3分别为第一,第二,第三应力不变量。

σzx=τrod分别代入(4-29)(4-30)(4-31),得到具体的三个不变量的值

由式(4-35)可知,最大应力平面刚好在垂直于正弦矢量相加的方向。
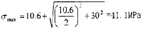
当τrot=10MPa时,可以算出σmax=σ1=
(2)径向不对中180°位置:当圆环上的单元体旋转到最左端时,也就是180°位置时,单元体的应力如下图所示

由图示可知,此时单元体的受力其实是属于纯剪切状态,只是此时的剪切应力为τrad与τrot的叠加。此时剪应力τrad与τrot的方向相反。所在最大应力有所抵消。

此时主平面上的正应力平面的角度有这种关系:tg2α2=-∞,所有α2=-450或-1350
当τrot=10MPa时,可以算出σmax=30-10=20MPa
(3)径向不对中2700位置:当圆环上的单元体旋转到最下方时,也就是2700位置时,单元体的应力如下图所示

此时的受力由图上可以看出,属于空间应力状态,其基本分析过程类似于径向不对中900状态,现在将径向不对中2700时的受力情况:σxx=0,σyy=0,σzz=0,τxy=-τrot,σyz=0,σzx=0,σzx=τrod分别代入式(4-29)(4-30)(4-31),得到

将上述主应力的值代入就可以得知

由式(4-39)可知,最大应力平面刚好在垂直于正弦矢量相加的方向。这与径向不对中90°位置的情况有些相似。
当τrot=10MPa时,可以算出σmax=σ1= 
(4)径向不对中360°位置:当圆环上的单元体旋转到最右端时,也就360°位置时,单元体的应力如下图所示

由图示可知,此时单元体的受力其实是属于纯剪切状态,只是此时的剪切应力为τrad与τrot的叠加。其分析过程与径向不对中1800时的情况相似,只是这时τrad与τrot的方向相同,而在1800时方向相反,所以有

此时主平面上的正应力平面的角度有这种关系:tg2α4=-∞,所以有α4-450或-1350
当τrot=10MPa时,可以算出σmax=30+10=40MPa
从径向不对中的情况可知,可以知道联轴器的单元体即有三向工作应力状态,又存在纯剪切的工作状态,其最大工作应力大小和方向都随着橡胶圆环的改变而改变。,在旋转一周的过程中,综合考虑四个不同的位置时最大主应力的大小,由于(τrot+τrad)>
(τrot-τrad),所以可以知道最大的最大应力为应该是联轴器360°位置时的最大主应力,最大主应力平面方向与y轴成450夹角。即3600位置为径向不对中时的危险点。
上一页
下一页