1
中国减速机行业最大的门户网站!
免费注册 | 会员登录会员中心 设为首页加入收藏 联系我们
 当前位置:首页 >> 技术讲座 >>博士论文>> 正文
   我要成为会员
由小川 研究生——超高压钢制输气管道裂纹韧性减速机理的研究
来源:减速机信息网    时间:2007年10月16日10:00  责任编辑:wangtao   
 

第五章  管道开裂射流场的数值模拟

本章利用已有的流场求解程序,通过有限体积法求解气体动力学基本方程。文中对开裂后的高压输气管道气体逸出引起的可压缩高速自由射流流场进行了数值模拟,得到了作用于管壁的分布气体压力和管道内外气流场的特征参数。

本章数学符号独立,与其他章节没有继承关系。

5.1  湍流场的数值模拟方法

5.1.1  直接数值模拟(DNS)

直接模拟方法即不引入任何湍流模型,通过高精度、低色散、低耗散的差分格式求解完整的非定常N-S方程,对湍流的瞬时运动进行直接的数值模拟。

这种方法的优点是:方程本身是精确的,仅有的误差只是由数值方法引入的误差;数值模拟可以提供每一瞬间所有流动量在流场上的全部信息。

但是,湍流的直接数值模拟一直受到计算机速度和容量的限制。它的难点及存在的问题主要有:计算量十分巨大;流动平均量一般要比扰动量大几个量级。求解时,由于差分格式存在截断误差,从而可能将真实扰动量淹没掉。

理论上,直接数值模拟是射流流场数值模拟最精确的方法,但由于该方法计算量巨大,对计算机的计算能力有很高的要求,目前的计算机性能还不能够满足复杂流动的直接数值模拟的要求,利用直接数值模拟求解射流流场问题还没有见到和实验结果进行比较的文献。

5.1.2  大涡模拟(LES)

大涡模拟的基本思想是把包括脉动运动在内的湍流瞬时运动通过某种滤波方法分解成大尺度运动和小尺度运动两个部分。大尺度量要通过数值求解运动微分方程直接计算出来;小尺度运动对大尺度运动的影响将在运动方程中表现为类似雷诺应力一样的应力项,称之为亚格子雷诺应力,它们将通过建立模型来模拟。

大涡模拟的最主要的困难不在于计算机的限制,而是大涡模拟方法本身。例如,现有的亚格子应力模型还很不完善,特别是近壁区内的模型以及边界条件的提法等等都是急待解决的问题。使用该方法进行射流流场的数值模拟也还在探索之中。

5.1.3  湍流模型理论

湍流模型理论在射流流场的数值模拟中已经取得了较好的应用,目前人们已经广泛的应用湍流模型理论对射流的流动进行分析,并取得了很大的进展。

所谓的湍流模型理论就是以雷诺平均运动方程为基础,依靠理论与经验的结合,引进一系列模型假设,建立一组描写湍流平均量的封闭方程组的理论计算方法。目前,在射流流场的数值模拟中常用的湍流模型有B-L混合长模型,S-A一方程湍流模型,RNGK-ε方程湍流模型,雷诺应力湍流模型等。

在湍流模型的选择方面:

AndrewT.T.和ChistopherK.W.T.(1996)应用修正的k-ε二方程湍流模型计算了轴对称及方形、椭圆形喷嘴的自由射流,马赫数为0.4~2,计算结果与实验值进行了比较,吻合较好:

EghlimiA.和SahajwallaV.(1999)分别采用了k-ε湍流模型、RNGk-ε湍流模型、Realizek-ε湍流模型和雷诺应力湍流模型对轴对称的亚声速自由射流进行了数值模拟。通过计算值与实验值的比较,可以发现除了标准的k-ε湍流模型对轴对称的亚声速自由射流流场数值模拟的结果与实验值有较大偏差外,采用其他三种湍流模型计算结果与实验值都吻合得比较好;

NASA的ReddyD.R.,SteffenC.J.,ZamanK,B.M.Q.(1999)应用S-A湍流模型对三维方形喷嘴自由射流进行了数值模拟,计算结果表明,在超声速流动下,计算值与实验值吻合较好,在亚声速流动时偏差较大。

5.2  S-A湍流模型

根据流场数值计算领域已有的研究经验,结合本文问题的性质,在大量试算的基础上,本文选择了S-A湍流模型。这一节介绍该模型的原理。

S-A湍流模型是Spalart和Allmaras在1992年提出的一方程湍流模型,具体描述如下:

湍流运动粘性系数满足输运方程

S-A湍流模型常用于大梯度、近壁的气体流动的数值模拟,在涡轮机械、高速气体流动等方面的计算中有着广泛的应用。

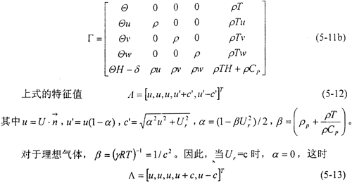
5.3  N-S控制方程

非定常可压缩的射流满足如下的积分形式的N-S方程:

上式中,Ω是控制体,Ω是控制体边界面,W是求解变量,F是无粘通量,G是粘性通量。

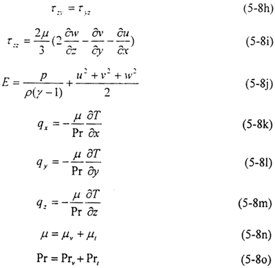
式中P为密度,U=u+v+w表示速度,E为总能,分别为沿x,y,z方向的单位矢量。为粘性应力项,是热通量。

将以上各项写成分量形式:

其中μv是分子粘性系数,μt是湍流粘性系数,Prv是分子普朗特数,Prt是湍流普朗特数。

为了便于粘性通量的计算,采用原始变量为变量,定义为

上一页

下一页

 

查看评论 】【关闭窗口
  精品推荐     相关信息
网友留言
发表评论:  标题:    联系方式
  
 
*必须遵守《全国人大常委会关于维护互联网安全的决定》及中华人民共和国其他有关法律法规。
*不得制作、复制、发布、传播含有下列内容的信息:
   (一)反对宪法所确定的基本原则的;
   (二)危害国家安全,泄露国家秘密,颠覆国家政权,破坏国家统一的;
   (三)损害国家荣誉和利益的;
   (四)煽动民族仇恨、民族歧视,破坏民族团结的;
   (五)破坏国家宗教政策,宣扬邪教和封建迷信的;
   (六)散布谣言,扰乱社会秩序,破坏社会稳定的;
   (七)散布淫秽、色情、赌博、暴力、凶杀、恐怖或者教唆犯罪的;
   (八)侮辱或者诽谤他人,侵害他人合法权益的;
   (九)含有法律、行政法规禁止的其他内容的。
* 您发表的文章仅代表个人观点,与减速机信息网无关。
* 承担一切因您的行为而直接或间接导致的民事或刑事法律责任。
* 本站评论管理人员有权保留或删除其管辖评论中的任意内容。
* 您在本站评论板发表的作品,本站有权在网站内转载或引用。
* 参与本评论即表明您已经阅读并接受上述条款。
关于我们 - 联系方式 - 版权声明 - 本站宗旨 - 网站地图 - 广告服务 - 帮助中心 - 设为首页 - 加入收藏
本站域名:www.jiansuji001.com 网络实名:减速机 jiansuji 减速机信息网
Copyright © 2005-2006 By 减速机信息网 All Rights Reserved.
建议使用:1024*768分辨率,16位以上颜色、IE5.0以上版本浏览器