1
中国减速机行业最大的门户网站!
免费注册 | 会员登录会员中心 设为首页加入收藏 联系我们
 当前位置:首页 >> 技术讲座 >>博士论文>> 正文
   我要成为会员
由小川 研究生——超高压钢制输气管道裂纹韧性减速机理的研究
来源:减速机信息网    时间:2007年10月16日10:03  责任编辑:wangtao   
 

5.4  非结构性网格

相对于结构性网格而言,非结构性网格能够更有效的适应形状不规则、边界弯曲的复杂领域,以及依据不同的分辨率要求,分配求解域内的网格。特别是三角形网格(对于二维问题)和四边形网格(对于三维问题)。

5.4.1  非结构性网格的特点

在结构网格中,网格点总是分布在某种坐标变换后的坐标线上,在拓扑上是规范的(个别变换的奇点除外),而非结构性网格则不要求拓扑上的规范性。

非结构性网格的网格点在空间的分布比较自由,不要求每个网格点具有相同数量的邻点,每一个网格点参与构成的单元数量也可以互不相同,网格点之间的连接不再具有方向性。在非结构性网格的划分中没有网格线的概念,因而能够更为有效地适应形状不规则、弯曲边界的复杂领域,以及依据不同的分辨率要求,分配求解域内的网格。非结构性网格的划分问题都直接在物理平面(或物理空间)中讨论。

以三角形单元网格为例,互相靠近的不在同一直线上的三个网格点(内点或边界点),均可以相互连接而构成一个计算单元,只要在这个三角形内部以及其边上,没有其他的网格点。

5.4.2  非结构性网格的数值求解方法

非结构性网格的数值求解方法通常必须采用有限体积法建立差分方程。

有限体积法是介于有限差分法和有限元法之间的一种计算方法,它针对一个有限体积的单元体,通过差分离散建立差分方程。由于非结构性网格的网格划分更接近于有限元的网格划分思想,直接采用微分方程出发的差分方法很不方便,而必须采用从积分型方程出发。本文5.5节有详细的介绍。

5.4.3  非结构性网格的生成

非结构性网格的生成大致可分为两大类:两步法和一步法。

两步法就是将非结构性网格的生成分为两个步骤完成,第一步是在求解域内生成网格点:第二步是把边界上的网格点和内部已生成的网格点,连接成合适的三角形网格划分;

一步法则把网格点的生成与三角形单元的形成统筹考虑,在生成网格点的同时考虑连接关系,而在考虑三角形的连接时,又同时考虑网格点的增删,这类工作的代表是Delaunay方法。对于三角形网格单元,每个三角形越接近于正三角形时,网格的素质越好。

本文中的非结构性网格的生成是通过网格生成软件包GAMBIT来实现的,采用的是Delaunay方法。

5.5  有限体积法求解过程

采用有限体积法,控制体选取为网格单元,将物理量置于网格单元中心,如图5-1所示。

对方程(5-10)在单元i上积分,有

(5-14)式中,nb(i)表示单元i的相邻单元数,下标“i,j'”表示单元i和单元j的交界面,表示界面(i,j)处的无粘通量,表示界面(i,j)处的粘性通量,表示界面(i,j)的外法线单位矢量。

在三维的情况下,Vi为单元i的体积,Ai,j为界面(i,j)面积:在二维的情况下,Vi为单元i面积,Ai,j为界线(i,j)长度;Γi表示单元i的Jacobian矩阵Γ。

5.5.1  无粘通量的确定

确定无粘通量的方法较多,大体上可以分成两大类。

一类是中心型格式,这类格式需要加入人工粘性来抑制间断附近的非物理振荡,因此,对于这类格式必须较好的控制人工粘性系数,这带有相当大的人为性,并且难于找到普适的人工粘性系数,因此很不方便;

另一类是迎风型格式,应用的较为广泛的有TVD,ENO和NND等格式。非结构性网格上的TVD和ENO格式在求解Euler方程的时候,取得了较大的成功,但在粘性流体计算中需要借助于网格单元中与控制面相对的顶点值,因而对网格的依赖性较大,要求网格的均匀性较好。

然而,在粘流的计算中,出于分辨边界层的需要,网格在壁面法线方向相当密集。在现有的计算条件下,采用均匀网格是做不到的。NND格式和基于Roe矢通量差分分裂的迎风格式,只借助于控制面两侧单元中心点值,因而对网格均匀性的要求有所减弱。本文采用基于Roe矢通量差分分裂的迎风格式。

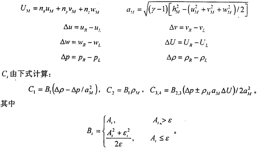
计算无粘通量的时候,采用Roe矢通量差分分裂,有

ε为略大于零的数,一般取ε=0.05aM。

A1由下式计算:A1=|UM|,A2,3=|UM±aM|。

这样,无粘通量的确定就转化成了LR的确定。若取

L1,R=j                      (5-17)

便可方便的得出一阶精度格式。显然,一阶精度格式对于粘流的计算来说是没有应用价值的。为了构造高精度格式,必须寻求确定LR的高精度方法。对于二阶精度格式,LR的表达式可由下式确定:

其中,(▽i和(▽j,分别为Q在单元i和j内的梯度;k为界面(i,j)的中心,表示单元j中心到k的距离矢量,表示单元i中心到k的距离矢量。将(5-18)代入(5-16),即可得到无粘通量。可以证明,这样确定的具有二阶精度。

在(5-18)式,我们用到了原始变量的梯度(▽i和(▽j。在非结构网格中,物理量的梯度可以由高斯积分公式求得。令ф代表任一变量,则

其中,Ω为积分路径构成的封闭体,Ω为该封闭体的边界面,为边界面上的外法线单位矢量。原则上积分路线可以任意选择,只要包围计算点即可。

以二维情况为例,计算图5-1中A点梯度可选C→B→D→C作为积分路径,但为了保证积分的精度,最好使积分路径构成的封闭体形心与计算点重合,或至少比较接近。

但是,由(5-18)直接得到的格式在激波附近是不稳定的,将会出现非物理振荡。迎风格式通过限制物理量的梯度值,来保证物理量在单元内的分布具有单调性,从而达到抑制间断附近非物理振荡的目的。这时,(5-18)式变为

5.5.2  粘性通量的确定

粘性通量由控制面上的速度、压力及密度的梯度项组成,所以粘性通量的计算主要是求出控制面上相关物理量的梯度值。首先由(5-19)式求出各单元内物理量ф的梯度值后,界面(i,j)上物理量的梯度值可简单地由相邻单元内物理量ф的梯度值的算术平均得出:

上一页

下一页

 

查看评论 】【关闭窗口
  精品推荐     相关信息
网友留言
发表评论:  标题:    联系方式
  
 
*必须遵守《全国人大常委会关于维护互联网安全的决定》及中华人民共和国其他有关法律法规。
*不得制作、复制、发布、传播含有下列内容的信息:
   (一)反对宪法所确定的基本原则的;
   (二)危害国家安全,泄露国家秘密,颠覆国家政权,破坏国家统一的;
   (三)损害国家荣誉和利益的;
   (四)煽动民族仇恨、民族歧视,破坏民族团结的;
   (五)破坏国家宗教政策,宣扬邪教和封建迷信的;
   (六)散布谣言,扰乱社会秩序,破坏社会稳定的;
   (七)散布淫秽、色情、赌博、暴力、凶杀、恐怖或者教唆犯罪的;
   (八)侮辱或者诽谤他人,侵害他人合法权益的;
   (九)含有法律、行政法规禁止的其他内容的。
* 您发表的文章仅代表个人观点,与减速机信息网无关。
* 承担一切因您的行为而直接或间接导致的民事或刑事法律责任。
* 本站评论管理人员有权保留或删除其管辖评论中的任意内容。
* 您在本站评论板发表的作品,本站有权在网站内转载或引用。
* 参与本评论即表明您已经阅读并接受上述条款。
关于我们 - 联系方式 - 版权声明 - 本站宗旨 - 网站地图 - 广告服务 - 帮助中心 - 设为首页 - 加入收藏
本站域名:www.jiansuji001.com 网络实名:减速机 jiansuji 减速机信息网
Copyright © 2005-2006 By 减速机信息网 All Rights Reserved.
建议使用:1024*768分辨率,16位以上颜色、IE5.0以上版本浏览器