1
中国减速机行业最大的门户网站!
免费注册 | 会员登录会员中心 设为首页加入收藏 联系我们
 当前位置:首页 >> 技术讲座 >>博士论文>> 正文
   我要成为会员
由小川 研究生——超高压钢制输气管道裂纹韧性减速机理的研究
来源:减速机信息网    时间:2007年10月16日10:05  责任编辑:wangtao   
 

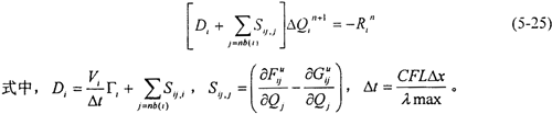
5.5.3  离散方程的求解

在计算出无粘通量和粘性通量后,代入(5-14)式可得到半离散的差分方程:

方程(5-24)可以采用显式或隐式的方法进行求解。但是由于受时间步长的限制,采用显式的R-K时间推进方法需要迭代的步数较多,计算很不经济,因此本文采用了Gauss-Seidel迭代隐式求解的方法。

式(5-24)在时间方向采用Euler后向差分,有

对方程(5-25),采用Gauss-Seidel点迭代法隐式求解。

5.5.4  边界条件

在边界处理方面,采用传统的边界处理方法。

1.计算域的入口采用入流条件,亚声速时给定总压、总温和速度的方向,其他参数值由内点外推;超声速时给定边界上的所有参数值。

2.计算域的出口采用出流条件,亚声速的时候在出口截面上给定环境压力,其他参数值由内点外推,超声速出流边界不提任何条件;

3.对称轴处采用轴对称条件,对称轴上法向速度为O,其他参数值一阶偏导为O;

4.固壁采用无滑移固壁条件,u=v=w=O;

5.人工边界用无反射边界条件。

其中无反射边界条件是根据特征线的方法来求出边界上的参数值。根据一维完全气体无粘非定常运动的方程组,在亚声速的条件下由边界上的入射波和出射波关系可以得到两个Riemann不变量:

其中Vn为沿边界法向的速度分量,c为当地声速,下标∞表示无穷远处的参数值,下标i表示计算域内紧邻边界的点的参数值。

无穷远处的参数值为已知,计算域内的参数值可以通过内点的计算得出,因此我们可以得到边界上的沿边界法向方向的速度分量和当地的声速值:

边界上的沿边界切向方向的速度分量和熵的值可以通过内点外推得到。

5.6  结果分析

图5-2是第二章稳态裂纹扩展计算得到的管道壁道面在某一瞬时的变形状态。

图5-3是以图5-2为依据建立的流场计算网格。设计参数为:裂纹扩展速度200m/s,管道外径1016mm,壁厚14.7mm,内压10MPa。

外部流场区域选取范围为3m×5m。输送介质选用天然气的主要成分甲烷,初始外流场设定为空气。远场压力定义为大气压。在底部和侧面应用对称边界条件。计算段管道全长为35m,裂尖位于距轴向对称面18.88m处。管壁的扩张速度按照第二章的计算结果作为流场的运动壁面边界条件。

计算的结果揭示了一些重要的现象。

图5-4给出了XZ对称面上的马赫数分布。管道中的流动在裂尖出口处达到超声速,而在对称面附近发生了强烈的回流。标示为B的位置压力和密度发生了强间断,意味着出现了激波。

为了进一步观察XY截面上的速度,图5-5绘出了图5-4中标示的A-A截面的速度分布。

矢量箭头表示的是X-Y面内速度分量的方向,等值线表示三维流动区域中的速率大小。从图上可以看出外部流场的速度分布沿Y方向从中心到两侧速度迅速降低。在距管道中心五倍远的外流场,气流速度仍可达到671m/s。

图5-5右侧的放大截面上标出了A至E的五个点。保持各点的X坐标不变,变化Z坐标,可在管壁上分别划出对应于截面上不同位置的轴线。

由于管道内壁处的气体静压等于该处管道承受的压力,图5-6和图5-7中A-E各点沿Z向的气体静压变化反映了管道承受压力的轴向衰减规律。两图中的初始内压分别为10MPa和8MPa。

与线性衰减模式(2-47)(某估算结果在图5-6中用点划线标出)相比,计算得到的静压衰减结果揭示了几个重要问题。

其一是回流区的发现。在轴向两侧扩展裂纹的对称面附近发现了强烈的回流,这在裂纹扩展初期将导致管壁的裂纹后端的抖动,从而对裂纹驱动力起到重要影响。随着裂尖位置的不断前移,回流区的压力将逐渐衰减到大气压值。

其二是回流区的位置。计算表明,回流区宽度随管道工作压力的升高而增长,随裂尖位置的前移而减小。

其三是衰减区的压力变化。气流通过裂纹尖端时,管壁上作用的气体压力沿轴向迅速衰减,经验公式(2-47)中所用的衰减长度一般取为1.5倍管道直径,最终衰减到零。计算表明衰减长度随管道工作压力的升高而增加,并且衰减区压力的最低值与管道的工作压力相关。由于对裂纹的扩展状态影响甚微,裂尖前部的压力不是关心的对象。

此外,本文计算与公式(2-46)基本相符,这和全尺寸爆裂实验得到的结果是一致的。在(2-46)的基础上,本文提出以下的修正压力衰减模式以替代(2-47)进行计算:

通过多种工况验证,该模式与计算结果吻合良好。

另外,通过和意大利CSM的实测管理压力曲线图5-8相比较,证明图5-6和图5-7从趋势上是成立的。

5.7  本章小结

本章以有限体积法为基础,对非定常可压缩的Navier-Stokes方程进行了离散和求解。网格的划分采用非结构性网格,无粘通量采用Roe矢通量分裂,差分格式为二阶精度,时间离散采用Guass-Seidel隐式迭代,在人工边界上采用基于特征线法的无反射边界条件。

对含动态裂纹的高压输气管道的流场模拟结果表明,气体压力模式(2-46)和(2-47)式在裂纹充分发展至不考虑回流区影响的条件下,对高压高韧性管道仍然成立

回流区的发现对裂纹开始扩展不久的一段时间内的裂纹驱动力起重要影响,对于判定止裂点的位置有着重要的工程意义。(5-29)和(5-30)式可直接应用于有限元程序以提高裂纹扩展与止裂的模拟精度。

上一页

下一页

 

查看评论 】【关闭窗口
  精品推荐     相关信息
网友留言
发表评论:  标题:    联系方式
  
 
*必须遵守《全国人大常委会关于维护互联网安全的决定》及中华人民共和国其他有关法律法规。
*不得制作、复制、发布、传播含有下列内容的信息:
   (一)反对宪法所确定的基本原则的;
   (二)危害国家安全,泄露国家秘密,颠覆国家政权,破坏国家统一的;
   (三)损害国家荣誉和利益的;
   (四)煽动民族仇恨、民族歧视,破坏民族团结的;
   (五)破坏国家宗教政策,宣扬邪教和封建迷信的;
   (六)散布谣言,扰乱社会秩序,破坏社会稳定的;
   (七)散布淫秽、色情、赌博、暴力、凶杀、恐怖或者教唆犯罪的;
   (八)侮辱或者诽谤他人,侵害他人合法权益的;
   (九)含有法律、行政法规禁止的其他内容的。
* 您发表的文章仅代表个人观点,与减速机信息网无关。
* 承担一切因您的行为而直接或间接导致的民事或刑事法律责任。
* 本站评论管理人员有权保留或删除其管辖评论中的任意内容。
* 您在本站评论板发表的作品,本站有权在网站内转载或引用。
* 参与本评论即表明您已经阅读并接受上述条款。
关于我们 - 联系方式 - 版权声明 - 本站宗旨 - 网站地图 - 广告服务 - 帮助中心 - 设为首页 - 加入收藏
本站域名:www.jiansuji001.com 网络实名:减速机 jiansuji 减速机信息网
Copyright © 2005-2006 By 减速机信息网 All Rights Reserved.
建议使用:1024*768分辨率,16位以上颜色、IE5.0以上版本浏览器