1
中国减速机行业最大的门户网站!
免费注册 | 会员登录会员中心 设为首页加入收藏 联系我们
 当前位置:首页 >> 技术讲座 >>博士论文>> 正文
   我要成为会员
杨永喜 硕士——减速机计算机辅助设计、绘图与信息管理系统研究
来源:减速机信息网    时间:2007年10月10日8:40  责任编辑:wangtao   
 

3.8  轮齿疲劳强度及其修正系数

1、试验齿轮的疲劳极限σHlim、σFlim

σHlim和σFlim是指某种材料的齿轮经长期持续的重复载荷作用后轮齿保持不失效时的极限应力。其主要影响因素有:材料成分,力学性能,热处理及硬化层浓度、硬度梯度,结构(锻、轧、铸),残余应力,材料的纯度和缺陷等。

σHlim是指某种材料的齿轮经长期持续的重复载荷作用(对大多数材料其应力循环数为5×10)后,齿面不出现进展性点蚀时的极限应力。

σF1im是指某种材料的齿轮经长期的重复载荷作用(对大多数材料其应力循环数为3×l06)后,齿根保持不破坏时的极限应力。

2、寿命系数ZNT,YNT

寿命系数ZNT和YNT分别考虑齿轮寿命小于或大于持久寿命条件循环次数Nc时,其可随的接触应力和弯曲应力值与其相应的条件循环次数Nc时疲劳极限应力的比例的系数。

3、润滑油膜影响系数ZL、ZV、ZR

确定润滑油膜影响系数数值的理想方法是总结现场使用经验或用具有可类比的尺寸、材料、润滑剂及运行条件的齿轮箱实验。当采用与设计的齿轮完全相同的参数、材料和条件实验决定其承载能力或寿命系数时,应取润滑油膜影响系数ZL、ZV、ZR的值均等于l.0。

对持久强度设计,ZL、ZV、ZR可由公式(53)、(55)、(57)分别计算。对静强度,取ZL=ZV=ZR=1.0

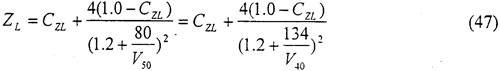
a、润滑剂系数ZL

其中,在850N/mm2≤σH1im≤1200N/mm2范围内,CZL可由式(47)算得。当σH1im<850N/mm2时取CZL=0.83;当σHlim>1200N/mm2时取CZL=0.91

V50-在50℃时润滑油的名义运动粘度,mm2/s(cSt)

V40-在40℃时润滑油的名义运动精度,mm2/s(cSt)

式(47)、(48)在应用某些具有较小磨擦系数的合成油时,对于渗碳钢齿轮ZL应乘以系数1.1,对于调质钢齿轮应乘以系数1.4。

ZL对静强度几乎没有影响,因此静强度计算时可取ZL=1.0。

b、速度系数ZV

其中,在850N/mm2≤σHlim≤1200N/mm2范围内,CZL可由式(50)算得。当σHlim<850N/mm2时以850N/mm2计,当σHlim>1200N/mm2时以1200N/mm2计。

CZV=0.85+0.08               (50)

v-节点线速度

ZV对静强度几乎没有影响,因此静强度计算时可取ZV=1.0

b、粗糙度系数ZR

当所计算的齿轮要求持久寿命时,ZR可由式(51)计算得出,

式中:CZR系数。当时σH1im<850N/mm2时,CZR=0.15;当σHlim >1200N/mm2时,CZR=0.08在850N/mm2≤σHlim ≤1200N/mm2范围内,CZR可由式(52)算得。

CZR=0.32-0.0002σHlim                   (52)

RZ10-相对(峰一谷)平均粗糙度。

RZ1,RZ2一小齿轮及大齿轮的齿面微观不平度10点高度,μm

pred一节点处诱导曲率半径,mm;pred=p1p2/(p1±p2)。式中“+”用于外啮合,“一”用于内啮合,p1,p2分别为小轮及大轮节点处曲率半径。

ZR对静强度几乎没有影响,因此静强度计算时可取ZR=1.0

d、齿面工作硬化系数ZW

工作硬化系数ZW是用以考虑经光整加工的硬齿面小齿轮在运转过程中对调质纲大齿轮齿面产生冷作硬化,从而使大齿轮的许用接触应力得以提高的系数。齿面取载能力的提高还和其它许多因素有关,如材料中的合金元素、赫兹应力、硬化过程、表面粗糙度等。ZW值可由式(54)计算得出。此公式的使用条件为:小齿轮齿面微观不平度10点高度RZ<6μm,大齿轮齿面硬度为130~470HB。

ZW=1.2-                   (54)

式中HB为大轮齿面布氏硬度值。

当HB<130时,取ZW=1.2;当HB>470时,取ZW=1.0。

e、尺寸系数ZX、YX

尺寸系数ZX和YX是考虑因尺寸增大使材料强度降低的尺寸效应因素,分别用于接触强度和弯曲强度计算。确定尺寸系数最理想的方法是通过实验或经验总结。当用与设计齿轮完全相同尺寸、材料和工艺的齿轮进行实验得到齿面承载能力或寿命系数时,应取ZX或YX值为1.0。静强度(NL≥NO)的ZX=YX=1.0。

6、相对齿根圆角敏感系数Yσreit

相对齿根圆角敏感系数Yσreit是考虑所计算齿轮的材料、几何尺寸等对齿根应力的敏感度与试验齿轮不同而引进的系数。定义为所计算齿轮的齿根圆角敏感系数与试验齿轮的齿根圆角敏感系数的比值。

持久寿命时的相对齿根圆角敏感系数Yσreit可按式(55)计算得出。

式中:p’一材料滑移层厚度

Xm一齿根危险截面处的应力梯度与最大应力的比值。其值可由下式确定:

Xm(1+2qs)                   (56)

qs一齿根圆角参数

一试验齿轮齿根危险截机处的应力梯度与最大应力的比值,仍可用上式计算,式中qs取为qst=2.5此式适用于M=5mm,其尺寸的影响用YX来考虑。

7、相对齿根表面状况系数YRrelT

相对齿根表面状况系数YRrelT为所计算齿轮的齿根表面状况系数与试验齿轮的齿根表面状况系数的比值。持久寿命时的相对齿根表面状况系数YRrelT可按可见参考资料1相应图表中查出。

3.9  多级齿轮传动的设计

1、多级齿轮传动系统的方案设计

减速机的方案设计就是根据设计要素(传输功率,传动比,工作状况、输出转速和输出方向),对减速机的型号进行选择。

一般原则如下:

(一)输出轴的方向是水平方向,选用卧式减速机。

(二)传动比很大,选用多级减速机或蜗轮蜗杆减速机,但前者较便宜。

(三)工作状况要求高的(例如振动和噪音等),优先选用斜齿轮传动。

(四)如果传动比特别大,输出转速很小,可选用行星齿轮传动

(五)如果齿轮材料不是很好,可以选用斜齿轮传动。

2、减速器传动比的分配

在设计一级或多级减速器时,合理地将传动比分配到各级非常重要。因它直接影响减速器的尺寸、重量、润滑方式和维护等。

分配传动比的基本原则是:

(一)使各级传动的承载能力接近相等(一般指齿面接触强度)。

(二)使各级传动的大齿轮浸入油中的深度大致相等,以使润滑简便。

(三)使减速器获得最小的外形尺寸和重量。

a、二级圆柱齿轮减速器按齿面接触强度相等及较有利的润滑条件,可按下面关系分配传动比,高速级的传动比i1

式中i—总传动比

a1、a2—高速级、低速级齿轮传动的中心距

σHP1、σHP2—高速级、低速级齿轮接触强度的许用应力

a1a2—高速级、低速级齿轮的齿宽系数

二级卧式圆柱齿轮 减速器,按高速级和低速级的大齿轮浸入油中的深度大致相等的原则,传动比的分配,可按下述经验数据和经验公式进行:

对于展开式和分流式减速器,由于中心距al<a2,所以常使i1>i2

对于同轴式减速器,由于a1=a2,所以常使i1=i2,或按下式计算,使浸油深度相等。

i1=(0.01-0.05)i                   (59)

b、二级圆锥一圆柱齿轮减速器对这种减速器的传动比进行分配时,要尽量避免圆锥齿轮尺寸过大、制造困难,因而高速级圆锥齿轮的传动比i1不宜太大,通常取11=0.25i,最好使i1≤3。当要求二级传动大齿轮的浸油深度大致相等时,也可取i1=3.5-4。

c、二级涡轮减速器这类减速器,为满足a1≈a2/2的要求,使高速级和低速级传动浸油深度大致相等,通常取i1=i2=

3、多级传动减速器的设计

依据上一节,得到各级的传动比ia(a=1,2,3一般只用到三级传动),再根据第二章的齿轮对的啮合的设计与校核,设计每一级的齿轮对,需要注意下面几个问题:

(1)尽管齿轮传动的效率很高,但是在设计时,要考虑到它的损耗。

(2)设计每一级的齿轮对后,再从总的角度,各级齿轮的受力强度是否大致相同,一般允许偏差为5%,否则要重新设计,多次迭代,选择最优值。

(3)对于斜齿轮、锥齿轮、涡轮蜗杆的设计,判断轴的受力是否合理,如何正确布置它们的位置。

3.10  齿轮设计实例

用户参数:

电机功率:40KW

电机转速:1500r/min

输出转速:100r/min

载荷状态:均匀平稳

安全系数:弯曲强度安全系数-1.1;接触强度安全系数-1.4

小齿轮的支撑位置:不对称布置

搅拌料的状态:均匀密度

齿轮的工作寿命:10年*300天*2班*8小对

选用传动方式:斜齿轮二级减速传动。

粗选齿轮特性参数:

材料:小齿轮-3OCrMOA1A调质后氮化;大齿轮一42CrMo调质后氮化

精度:8级精度

齿轮类型:螺旋角为11.48°的调质斜齿轮

初步选择小齿轮的齿数:一级传动-14;二级传动-16

设计校核后的结果:

一级传动:

传动比:3.68;模数:5

小齿轮齿数:14;节圆半径:81.63mm;变位系数:0.13;齿宽:95mm

大齿轮齿数:59;节圆半径:301.0mm;变位系数:O;齿宽:90mm

理论中心距:191.3mm;实际中心距:192mm

小齿轮齿根弯曲强度(Mpa):实际67.78<许用574.39        合格

小齿轮齿面接触强度(Mpa):实际588.12<许用634.87       合格

大齿轮齿根弯曲强度(Mpa):实际55.43<许用647.03        合格

大齿轮齿面接触强度(Mpa):实际588.12<许用646.99       合格

二级传动:

传动比:4.07;模数:8

小齿轮齿数:15;节圆半径:122.4mm;变位系数:0.22;齿宽:140mm

大齿轮齿数:61;节圆半径:497.9.0mm;变位系数:O;齿宽:135mm

理论中心距:310.2mm:实际中心距:312mm

小齿轮齿根弯曲强度(Mpa):实际67.78<许用574.39        合格

小齿轮齿面接触强度(Mpa):实际588.12<许用634.87       合格

大齿轮齿根弯曲强度(Mpa):实际55.43<许用647.03        合格

大齿轮齿面接触强度(Mpa):实际588.12<许用646.99       合格

一级齿轮的最大接触强度:588.12Mpa;二级齿轮的最大接触强度:589.4Mpa

(589.4-588.12)/588.12=0.0022<0.05   设计正确合理。

实现界面见图3-4。

在系列化产品CAD系统中,完成了设计计算后,将设计计算的结果传送到智能化CAD系统中,利用CAD参数化功能,快速实现工程图线的绘。

上一页

下一页

 

查看评论 】【关闭窗口
  精品推荐     相关信息
网友留言
发表评论:  标题:    联系方式
  
 
*必须遵守《全国人大常委会关于维护互联网安全的决定》及中华人民共和国其他有关法律法规。
*不得制作、复制、发布、传播含有下列内容的信息:
   (一)反对宪法所确定的基本原则的;
   (二)危害国家安全,泄露国家秘密,颠覆国家政权,破坏国家统一的;
   (三)损害国家荣誉和利益的;
   (四)煽动民族仇恨、民族歧视,破坏民族团结的;
   (五)破坏国家宗教政策,宣扬邪教和封建迷信的;
   (六)散布谣言,扰乱社会秩序,破坏社会稳定的;
   (七)散布淫秽、色情、赌博、暴力、凶杀、恐怖或者教唆犯罪的;
   (八)侮辱或者诽谤他人,侵害他人合法权益的;
   (九)含有法律、行政法规禁止的其他内容的。
* 您发表的文章仅代表个人观点,与减速机信息网无关。
* 承担一切因您的行为而直接或间接导致的民事或刑事法律责任。
* 本站评论管理人员有权保留或删除其管辖评论中的任意内容。
* 您在本站评论板发表的作品,本站有权在网站内转载或引用。
* 参与本评论即表明您已经阅读并接受上述条款。
关于我们 - 联系方式 - 版权声明 - 本站宗旨 - 网站地图 - 广告服务 - 帮助中心 - 设为首页 - 加入收藏
本站域名:www.jiansuji001.com 网络实名:减速机 jiansuji 减速机信息网
Copyright © 2005-2006 By 减速机信息网 All Rights Reserved.
建议使用:1024*768分辨率,16位以上颜色、IE5.0以上版本浏览器