这样(2.17)式中的μ可表示为:

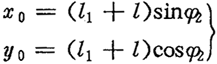
由图2.5(或图2.6)中的△OM1O1还可得

整理后为:

按关系式(2.16)可计算出外滚子工作角a2
而
对于图2.5所示正向结构,在与内齿圈固联的坐标系中,得到外滚子中心轨迹H2的方程为:

及内齿圈齿廓HN的方程为:

对于图2.6所示的反向结构,在坐标系(0,xN,yN)中,得到内齿圈齿廓的方程为:

每给定一个θ值,由激波器廓形方程式计算出TJ, 接着计算dTJ/dθ及μ,然后把由(2.17)式算出的l1的值和由(2.19)式算出的α1的值代入(2.16)式,可算出相应的α2,由式(2.20)便可得到φ2,最后把这些值代入(2.21)式(反向结构代入(2.22)式),便可得到内齿圈齿廓上相应的一个点M2的坐标值(xN,yN)。当θ在激波器的一个周期内取一系列点时,相应的M2点描绘出内齿圈齿廓上一段工作齿廓与非工作齿廓曲线的图形。
由上面可以看出,在选定激波器廓形TJ=TJ(θ)的情况下,正反两种结构所得到的内齿圈齿廓方程式(2.21)与式(2.22)在形式上是不同的。对于反向结构,用-θ代换激波器方程中的θ,即令TJ=TJ(-θ),则θ增加的方向为顺时针方向,若激波器廓形可表示为偶函数,即TJ(—θ)=TJ(θ),让激波器按逆时针方向转动,则所得的内齿圈齿廓方程式完全与(2.21)式相同。因而齿廓方程式(2.22)与式(2.21)虽然形式不同,但实质是一样的。区别在于参数吸的取值方向,今后以式(2.21)作为内齿圈齿廓的标准形式。
2.4.2内齿圈齿廓的曲率及曲率干涉的校核
内齿圈齿廓曲线上某点的曲率,表示该点附近齿廓曲线的弯曲程度,反映了齿廓曲线的几何特性,是研究机构性能的重要参数。前面说过,内齿圈的齿廓HN与外滚子中心轨迹H2是法向等距线,它们在相应点的曲率有一定的关系,所以要求HN的曲率,可以先求出外滚子中心轨迹H2的曲率。
根据微分几何,外滚子中心轨迹H2的相对曲率k2可由下式计算:

由(2.5)式可得:

这样,由(2.24)式便可得到在外滚子中心轨迹上与激波器任一角度θ对应点的相对曲率k2,而内齿圈齿廓HN上对应点的曲率kN为

在对应于内齿圈的齿顶部分,当曲线H2的最小曲率半径Pmin小于或等于滚子半径时,即Pmin≤TZ时,则内齿圈齿廓曲线HN在齿顶处发生交叉,结果使齿顶变尖,称这种现象为顶切。顶切将使机构的传动特性受到影响,使同时参加工作的推杆数目降低。由(2.24)式可计算出曲线H2在对应于齿顶处的相对曲率k2a,不发生顶切的条件为:

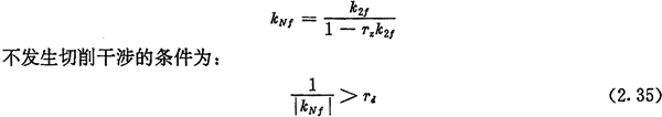
另外,当选用半径为Td的刀具加工内齿圈齿廓时,在齿根处可能发生切削干涉(过渡切削)。同样由式(2.24)可计算出曲线H2在对应于齿根处的相对曲率k2f,齿廓曲线HN在齿根处的相对曲率kNf为:

2.4.3 激波器为偏心圆的机构目前见到的推杆减速器,其激波器廓形都为偏心圆。设激波器廓形的半径为Tb,偏心距为e,由于接触点的法线O1M1必然通过偏心圆的几何中心,如图2.7所示,所以不需要列出激波器廓形的方程,而直接从几何关系就能计算出滚子工作角。


将它们代入(2.19)式,便得到(2.37)式。可见前面所得到的多激波计算公式对激波器为偏心圆的单激波也同样适用。在单激波情况下,内外滚子工作角之间的关系简化成了:

式(2.36)、(2.37)、(2.38)是偏心圆激波器的推杆减速器中l1、a2与φ2的基本关系式,后面常用到它们。

代入(2.24)式及(2.21)式就可求得H2的曲率及内齿圈齿廓HN的方程。
当l=0时,内外滚子合而为一,这时的推杆活齿传动机构成了滚柱活齿传动机构,所以上面的各公式对滚柱活齿传动机构也适用,只需将其中的l=O即可。
2.5由内齿圈齿廓反求激波器廓形
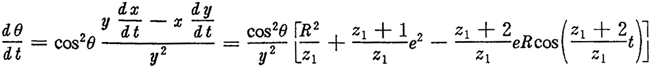
设选定内齿圈齿廓HN的方程为TN=TN(θ),θ 增加的方向为逆时针方向,当内齿圈N相对传动圈转过角度φ2时,对应于激波器相对传动圈转过的角度为φ1,如图2.8所示。设此时HN与外滚子在M2点接触,同样由微分几何,内齿圈齿廓曲



2.6 应用举例
设选定推杆减速器内齿圈齿廓为一外摆线,其方程为:

取e=5mm,z1=11,R=120mm,用外摆法形成此曲线时,R表示基圆与发生圆半径之和,e表示定点离发生圆圆心的距离。取推杆长度l=36mm,滚子半径Tz=10mm,求单激波时的激波器廓形。
由z1=11知内齿圈为11个齿,即zN=11。将摆线化成极坐标方程就是
上式中:

每给一个t值,按上述式子可算出相应的TN及θ,经(2.40)式可算出μ, 然后由式(2.41)、(2.42)、(2.43)和(2.45)算出相应的l2、a2、al及φ1。最后由式(2.47)可算出激波器廓形HJ上对应点的坐标值。一些点的计算数据如表2.2所示,由计算机绘出的激波器廓形如图2.9所示,它并不是一个标准的圆,图中圆的上部稍微有点凸出。由解的唯一性可推知,激波器为偏心圆的推杆减速器,其内齿圈廓形一定不是摆线,虽然形状相似,其实二者是不同的,这已为工程实际所证实。
表2.2 激波器廓形的计算值
| t° |
a°2 |
a°1 |
xJ |
yJ |
0.000000
30.000000
60.000000
90.000000
120.000000
150.000000
180.000000
210.000000
240.000000
270.000000
285.000000 |
>0.000000
23.650020
31.001688
28.389094
20.971822
11.056220
-0.0000000
-11.056620
-20.971822
-28.289094
-30.519488 |
0.000000
3.409274
4.711771
4.291084
3.086500
1.591049
-0.000000
-1.591049
-3.086500
-4.291084
-4.69190 |
0.000000
-16.120000
-33.691177
-50.008323
-55.717625
-38.800958
-0.000000
38.800958
55.717652
50.008323
42.427781 |
63.166667
60.433124
50.604335
30.005329
-2.549328
-37.372742
-53.166667
-37.372742
-2.549328
30.005392
41.871237 |

上一页
下一页