4.4.2偏心套的位移及其刚度系数
将轴承载荷加以处理后,就可以得到行星轴承与偏心套接触点的载荷与轴承总载荷的关系。如图4-7所示,若偏心套与轴承的接触中心与坐标轴r的角为φ。则各节点载荷在r和τ方向的分量由式(4-29)和式(4-32)变换得


式(4-35)中的F是行星承轴载荷。偏心套外圆周边某接触点的法向位移

由式(4-43)计算出偏心套刚度系数见表4-1。
表4-1 偏心套综合刚度
| ψ |
K(109)N/m |
ψ |
K(109)N/m |
ψ |
K(109)N/m |
ψ |
K(109)N/m |
| 0 |
6.3991 |
90 |
5.0111 |
180 |
5.2938 |
270 |
5.0111 |
| 5 |
2.4935 |
95 |
3.6888 |
185 |
3.4579 |
275 |
2.9738 |
| 10 |
3.6130 |
100 |
3.3156 |
190 |
4.5799 |
280 |
10.016 |
| 15 |
3.2837 |
105 |
6.0076 |
195 |
2.8184 |
285 |
2.8762 |
| 20 |
2.7938 |
110 |
2.7578 |
200 |
9.0791 |
290 |
7.5409 |
| 25 |
5.2028 |
115 |
1.1512 |
205 |
2.6340 |
295 |
3.2680 |
| 30 |
2.5736 |
120 |
2.7683 |
210 |
10.735 |
300 |
4.2517 |
| 35 |
9.1607 |
125 |
5.7354 |
215 |
2.8139 |
305 |
4.4096 |
| 40 |
2.6608 |
130 |
3.3017 |
220 |
4.9712 |
310 |
3.1247 |
| 45 |
7.2520 |
135 |
3.5187 |
225 |
3.5187 |
315 |
7.2520 |
| 50 |
3.1247 |
140 |
4.9712 |
230 |
3.3017 |
320 |
2.6608 |
| 55 |
4.4096 |
145 |
2.8139 |
235 |
5.7354 |
325 |
9.1607 |
| 60 |
4.2517 |
150 |
10.735 |
240 |
2.7683 |
330 |
2.5736 |
| 65 |
3.2680 |
155 |
2.6340 |
245 |
1.1512 |
335 |
5.2028 |
| 70 |
7.5409 |
160 |
9.0791 |
250 |
2.7578 |
340 |
2.7938 |
| 75 |
2.8762 |
165 |
2.8184 |
255 |
6.0676 |
345 |
3.2837 |
| 80 |
10.016 |
170 |
4.5799 |
260 |
3.3156 |
350 |
3.6130 |
| 85 |
2.9738 |
175 |
3.4597 |
265 |
3.6888 |
355 |
2.4935 |
在内齿行星传动机构动力分析中偏心套的位移分量为

4.4.3行星齿板的位移及刚度系数
行星齿板上作用的外载荷有高速轴行星轴承载荷,及与外齿轮的啮合载荷。因此,齿板上任何点的位移,都应该是由这些载荷引起该点位移的和。设载荷作用位置的位移分量ui,Vi,i=0为时是啮合力作用点的位移,i=1,2时分别是高速成轴孔1和高速轴孔2与行星轴承处圈接触中心点的位移,则有

式中uij,Vij是指在j处的载荷引起i处产生的位移。
1.由啮合载荷产生的位移
考虑多齿承载时,设接触齿数为z,则

式中Pk是齿对接触载荷;
φk是齿对的位置角;
U(P)ikx,U(P)iky,V(P)ikx,V(P)iky是由载荷Pk作用在i处产生位移的柔度系数,由磁盘文件提供。
在式(4-46)中令i=0,z=1,即单齿啮合时,轮齿的变形位移为

由上式看出,行星齿板瞪圈的法向刚度K(P)是随φ角变变化而变化的。其变化规律见表4-2及图4-8所示。由图或表可知,齿圈刚度在90°及300附近出现刚度冲击。其,冲击值为
φ=92.8571°,Kmax=1.976×109N/m φ=298.57°,Kmax=2.04×109N/m
表4-2内齿圈刚度变化规律
| φ |
K(108)N/m |
φ |
K(108)N/m |
φ |
K(108)N/m |
| 1.4285 |
2.633 |
>121.4285 |
1.592 |
241.4286 |
0.551 |
| 7.1428 |
2.477 |
127.1428 |
1.143 |
247.1428 |
0.676 |
| 12.8571 |
2.280 |
132.8571 |
0.8665 |
252.857 |
0.860 |
| 18.5714 |
2.108 |
138.5714 |
0.6805 |
258.5714 |
1.127 |
| 24.2857 |
2.018 |
144.2857 |
0.5528 |
264.2857 |
1.566 |
| 30.00 |
2.000 |
150.0000 |
0.4625 |
270.0000 |
2.298 |
| 35.7142 |
2.042 |
155.7142 |
0.3980 |
275.7143 |
3.351 |
| 41.4285 |
2.181 |
161.4285 |
0.3512 |
281.4286 |
6.055 |
| 47.1428 |
2.376 |
167.1428 |
0.3168 |
287.1429 |
10.53 |
| 52.8571 |
2.712 |
172.8571 |
0.2926 |
292.8571 |
17.99 |
| 58.5714 |
3.223 |
178.5714 |
0.276 |
298.5714 |
20.41 |
| 64.2857 |
3.994 |
184.2857 |
0.2662 |
304.2857 |
14.656 |
| 69.9999 |
5.407 |
190.0000 |
0.2615 |
310.0000 |
9.91 |
| 75.7142 |
7.808 |
195.7143 |
0.2624 |
315.7143 |
6.526 |
| 81.4285 |
12.62 |
201.4286 |
0.2688 |
321.43 |
4.835 |
| 87.1428 |
18.75 |
207.1428 |
0.27915 |
327.1429 |
3.77 |
| 92.8571 |
19.76 |
212.8571 |
0.2969 |
332.8571 |
3.143 |
| 98.5714 |
12.50 |
218.7714 |
0.322 |
338.5714 |
2.772 |
| 104.2857 |
6.641 |
224.2857 |
0.358 |
344.2857 |
2.608 |
| 110.0000 |
3.755 |
230.0000 |
0.443 |
350.0000 |
2.565 |
| 115.7142 |
2.356 |
235.714 |
0.466 |
355.77143 |
2.612 |

图4-8齿板齿圈刚度变化规律
从图中还可以看到,齿圈厚度较小的范围(120°~240°)刚度值较小,在180°附近取得最小值,这与40型三环齿板相符。
2.由行星轴承载荷产生的位移
设行星轴承与齿板高速轴孔接触的节点数为n个,则在j(=1,2)处行星轴承载荷引起1处接触中心节点的位移

式(4-51)~(4-53)中U(Fj)ikx,U(Fj)iky,V(Fj)ikx,V(Fj)iky为行星齿板柔度系数的值,由磁盘文件提供计算。Ckx,Cky由式(4-30)及式(4-33)计算。
当i=j=1、2时,其接触中心位移

表4-3齿板高速轴孔法向刚度
| φ+ψ |
k(×108N/m) |
φ+ψ |
k(×108N/m) |
| 0 |
3.2115 |
180 |
12.4935 |
| 10 |
3.2757 |
190 |
14.6264 |
| 20 |
3.45 |
200 |
12.8562 |
| 30 |
3.678 |
210 |
13.1985 |
| 40 |
4.243 |
220 |
14.4738 |
| 50 |
4.969 |
230 |
15.4107 |
| 60 |
6.1059 |
240 |
18.7727 |
| 70 |
7.9875 |
250 |
24.052 |
| 80 |
11.2872 |
260 |
24.7488 |
| 90 |
17.4852 |
270 |
16.5972 |
| 100 |
24.997 |
280 |
10.959 |
| 110 |
22.555 |
290 |
7.8687 |
| 120 |
17.496 |
300 |
6.0639 |
| 130 |
14.5707 |
310 |
4.956 |
| 140 |
13.256 |
320 |
4.2411 |
| 150 |
12.74 |
330 |
30.7701 |
| 160 |
12.5496 |
340 |
3.4509 |
| 170 |
12.4656 |
350 |
3.279 |
4.5其它零件的位移
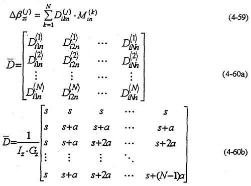
其它零件主要有输出轴、高速轴、外齿轮及轴承等。由于输出轴的直径很大,变形很小,故可能以忽略不计。高速轴的变形主要有扭转、变曲变形。扭转角位移为


式中Iz是轴的扭转惯性矩;
Gz是抗扭弹性模量;
s是最外侧齿板与箱体壁的距离;
a是齿板之间的距离。
轴的弯曲位移可按简支梁上作用N个集中载荷计算:

式中
。等参数号考文献中有关计算。是滚动体的数目。
为了简化计算,在变形不大且大考虑间隙时,可按薄壁圆简计算,得出力与变形之间的线性关系

式中Ki是轴承的接触刚度系数。
输出外齿轮厚度大于3倍齿板厚度以上,故可以只考虑在轮齿齿面法向变形位移。与齿板啮合时,其齿面的法向位移为

式中D(j)W是轮齿的法向柔度,是齿面法向刚度Cn的倒数。

Cn的值由文献给出。
上一页
下一页