三环减速器的动力模型及动力特性研究
5.1引言
三环减速器是一种利用三相并列双曲柄机构来克服死点的连杆内齿行星齿轮减速器,其基本结构如图5-0所示。它由低速输出轴1 ,两根高速输入轴2 ,三片传动齿板3组成,各轴均平行配置,相同的两根高速轴带动三片传动齿板呈120°相位差作平面转动,传动环板上的内齿圈与低速轴上的外齿轮相啮合,形成大速比,其传动比

三环传动结构
图5-1

式中
Z1是低速轴上外齿轮齿数;
Z2是齿板内齿轮齿数。
三环减速器的主要优点是:
1.传动比大、适应性广,由于采用渐开线少齿差内啮合传动,可以获得较大的传动比,单级传动比达11~99,双级传动比高达9801;又因为减速器的中心距与齿轮参数无关,可根据需要设计,故其适应性广。
2.承载能力强,且重量轻。内啮合齿轮由于接触点处齿廓曲率方向相同,所以齿面接触强度较高,同时由于少齿差传动的多齿接触承载特点,随着载荷增加,接触承载齿数也随之增加,故三环减速器有很强的承载能力和过载能力,可承受过载27倍。又由于三环减速器的结构简单,传动比大、所以其重量轻,比普通圆柱齿轮减速器重量相应减小2/3。
3.传动效率高。三环减速器的效率主要由两部分组成,即啮合效率及轴承效率。它比一般少齿差传动(K-H-V)少一个输出机构,故效率可高达96%。
4.轴承受力小,寿命长。三环减速器的行星轴承受力与K-H-V型行星轴承受力相比,K-H-V型行星轴承受力约为三环减速器的1.86倍,而行星轴承的寿命,三环的约为K-H-V型的6倍以上。
由于以上优点,三环减速器正在日益推广,目前己在矿山、冶金、石油、化工、起重运输、轻工等众多领域实际应用,取得了一定的社会效益和经济效益,通过进一步的理论分析、试验研究和技术推广,有可能成为新一代通用减速器。
但是,由于三环减速器问世仅几年时间,缺乏较全面的理论分析和实验研究,在设计只得采用类比的方法或借助于非常粗略的简化模型进行计算,设计工作缺乏依据,使得产品性能环稳定、在应用中出现发热、振动、轴承早期损坏甚至齿板断裂等现象,影响了这种传动形式的进一步发展。
本章应用本文提出的位移协调原理,从系统变形的角度,建立了三环减速器的动力分析精确模型,并针对SHQ40型三环减速器进行求解,研究了各种因素对其动力特性的影响。
5.2三环减速器动力分析基本方程
三环减速器是三相并列双曲柄输入式的少齿差内齿行星传动装置。因此可按第三章对内齿行星传动建模方法,建立其动力分析模型。
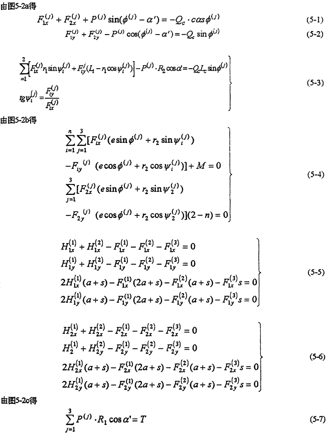
对齿板及高速转臂轴,输出轴进行动态静力分析(见图5-2),可得三环减速器的动力分析基本方程(忽略各构件重力作用)。





根据对三环减速器的静不定次数计算,当单轴输入(n=1)时,S=4,双轴输入(n=2)时,S=5。故应根据输入形式,由位移协调节器条件增加4个或5个动力分析补充方程。
5.3三环减速器的动力分析补充方程
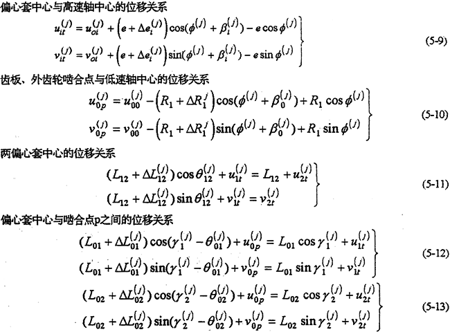
三环减速是多相并列连杆行星齿轮传动过约束机构。应该从整体系统上去考虑其变形关系。图5-3是一相子机构的位移关系图。图5-3(a)是基本位置图、图5-3(b)是高速轴之间的位移关系、图5-3(c)是高速轴与输出轴之间的位移关系(i=1、2)。由图写出各运动副中心的位移关系如下:


以上各式中u(j)it,V(j)it是偏心套中心的位移;
△e(j)i是偏心套偏心距e变形量;
△R(j)1是齿对接触点与外齿轮中心的距离变化量;
△β(j)i是机构变形使高速轴产生的角位移;
△β(j)o是机构变形使低速轴产生的角位移;
u(j)oi,V(j)ot是高速轴轴心因箱体轴承变形及轴弯曲变形产生的位移;
u(j)op,V(j)op是机构变形使啮合点产生的位移;
u(j)00,V(j)00是低速轴中心因箱体轴承变形及轴弯曲变形产生的位移;
△L(j)12,△L(j)01,△L(j)02是机构变形引起各运动副中心之间的距离产生的相对位移量;
θ(j)12,θ(j)01,θ(j)02是各运动副中心连结因机构变形产生的角位移。

式中

当只考虑行星轴承变形和内齿圈变形时,式(5-18)及(5-19)就变成(3-11)、(3-14)。


上式的第一式即为高速轴之间的约束条件,第二式为高速轴与低速轴(输出轴)之间的约束条件,消去试中的
可得4个补充方程,满足单轴输入(n=1)所需的动力分析补充方程的数量(S=4)。对于双轴输入(n=2),若分流机构为齿轮传动,则由式(3-12b)增加一个补充方程得

由式(5-18)、(5-19)、(5-22)、(5-23)就构成三环减速器的动力分析补充方程。将它们与三环减速器的动力分析基本方程联解,可以确定出的运动副的动反力及齿板、轴等的变形角位移,随转角(或时间)的函数关系。各齿板、轴的角位移与转角φ的关系可表示成:

上式是三环减速器转动时,各齿板、轴在机构变形时的角位移关系式,将其求导(对时间)可得角速度、角加速度关系。
式(5-18)中的△u(j)12,△u(j)12为机构变形后两偏心套中心之间的长度L12产生的增量分量,它包括齿板两高速轴孔之间的相对变
形量,两行量轴承的变形量,两偏心套的变形量以及两运动副的间隙等。可表为

式中K(j)bt是齿板高速轴孔周边变形刚度,见表4-3;
K(j)i是行星轴承变形刚度,由文献,K(j)i=4.48×105N/mm;
K(j)ti是偏心套外圆周边变形刚度,见表4-1;
△r(j)ix、△r(j)iy是运动副间隙在x、y方向的分量。
表4-3
| φ+ψ |
k(×108N/m) |
φ+ψ |
k(×108N/m) |
| 0 |
3.2115 |
180 |
12.4935 |
| 10 |
3.2757 |
190 |
14.6264 |
| 20 |
3.45 |
200 |
12.8562 |
| 30 |
3.678 |
210 |
13.1985 |
| 40 |
4.243 |
220 |
14.4738 |
| 50 |
4.969 |
230 |
15.4107 |
| 60 |
6.1059 |
240 |
18.7727 |
| 70 |
7.9875 |
250 |
24.052 |
| 80 |
11.2872 |
260 |
24.7488 |
| 90 |
17.4852 |
270 |
16.5972 |
| 100 |
24.997 |
280 |
10.959 |
| 110 |
22.555 |
290 |
7.8687 |
| 120 |
17.496 |
300 |
6.0639 |
| 130 |
14.5707 |
310 |
4.956 |
| 140 |
13.256 |
320 |
4.2411 |
| 150 |
12.74 |
330 |
30.7701 |
| 160 |
12.5496 |
340 |
3.4509 |
| 170 |
12.4656 |
350 |
3.279 |
表4-1
| ψ |
K(109)N/m |
ψ |
K(109)N/m |
ψ |
K(109)N/m |
ψ |
K(109)N/m |
| 0 |
6.3991 |
90 |
5.0111 |
180 |
5.2938 |
270 |
5.0111 |
| 5 |
2.4935 |
95 |
3.6888 |
185 |
3.4579 |
275 |
2.9738 |
| 10 |
3.6130 |
100 |
3.3156 |
190 |
4.5799 |
280 |
10.016 |
| 15 |
3.2837 |
105 |
6.0076 |
195 |
2.8184 |
285 |
2.8762 |
| 20 |
2.7938 |
110 |
2.7578 |
200 |
9.0791 |
290 |
7.5409 |
| 25 |
5.2028 |
115 |
1.1512 |
205 |
2.6340 |
295 |
3.2680 |
| 30 |
2.5736 |
120 |
2.7683 |
210 |
10.735 |
300 |
4.2517 |
| 35 |
9.1607 |
125 |
5.7354 |
215 |
2.8139 |
305 |
4.4096 |
| 40 |
2.6608 |
130 |
3.3017 |
220 |
4.9712 |
310 |
3.1247 |
| 45 |
7.2520 |
135 |
3.5187 |
225 |
3.5187 |
315 |
7.2520 |
| 50 |
3.1247 |
140 |
4.9712 |
230 |
3.3017 |
320 |
2.6608 |
| 55 |
4.4096 |
145 |
2.8139 |
235 |
5.7354 |
325 |
9.1607 |
| 60 |
4.2517 |
150 |
10.735 |
240 |
2.7683 |
330 |
2.5736 |
| 65 |
3.2680 |
155 |
2.6340 |
245 |
1.1512 |
335 |
5.2028 |
| 70 |
7.5409 |
160 |
9.0791 |
250 |
2.7578 |
340 |
2.7938 |
| 75 |
2.8762 |
165 |
2.8184 |
255 |
6.0676 |
345 |
3.2837 |
| 80 |
10.016 |
170 |
4.5799 |
260 |
3.3156 |
350 |
3.6130 |
| 85 |
2.9738 |
175 |
3.4597 |
265 |
3.6888 |
355 |
2.4935 |
上一页
下一页