1
中国减速机行业最大的门户网站!
免费注册 | 会员登录会员中心 设为首页加入收藏 联系我们
 当前位置:首页 >> 技术讲座 >>博士论文>> 正文
   我要成为会员
陈嵘 研究生——挠性叠片联轴器非线性特性研究
来源:减速机信息网    时间:2007年10月11日10:10  责任编辑:wangtao   
 

第五章  叠片联轴器的振动特性分析

5.1  振动分析的有限元法

5.1.1  振动方程

各自由度系统振动方程的矩阵表达式为:

[M]{x}+[C]{x}+[K]{x}={P}                        (5.1.1)

其中[M]为系统的质量矩阵,{P}为各载荷矢量之和,[K]为刚度阵

[M]=

[C]=

上式右边d为各单元阻尼系数

式(5.1.1)又分以下几种情况:

(1)多自由度无阻尼自由振动

[M]{x}+[K]{X}=0                        (5.1.2)

(2)多自由度有阻尼自由振动

[M]{x}+[C]{x}+[K]{x}=0                 (5.1.3)

(3)多自由度无阻尼受迫振动

[M]{x}+[K]{x}={P}                      (5.1.4)

(4)多自由度有阻尼受迫振动

[M]{x}+[C]{x}+[K]{x}={P}                  (5.1.5)

5.1.2  多自由度系统的固有频率和主振型

我们通过求解系统的无阻尼自由振动方程,可以求得系统的固有频率。

多自由度无阻尼自由振动微分方程式为:

[M]{x}+[K]{x}=0                  (5.1.6)

设上列方程的解为:{x}={A}eiωnt                 (5.1.7)

式中,{A}是系统自由振动时,各坐标上的振幅组成的列阵,称为振幅向量,即

又因为

{x}={A}iωNt(iωN)                  (5.1.9)

{x}={A}iωNt(-ωN2)                  (5.1.10)

式(5.1.10)连同式(5.1.7)代入式(5.1.6),简化后得

([K]- ωN2[m]){A}={0}]                  (5.1.11)

解该方程即转为求特征值问题。

{A}要有非零解,则{A}的系数行列式必须为零:

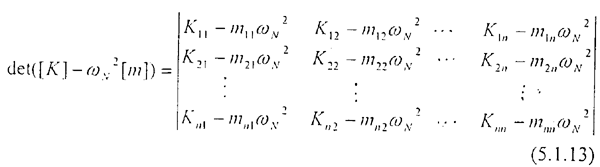
Δ(ωN2)=det[K] - ωN2[m]=0                  (5.1.12)

式(5.1.12)(5.1.13)都称为系统的特征方程或频率方程,将其展开后可得到(ωn2的n次代数方程式:

ωN2n + a1ωN2(n-1) + a2ωN2(n-2) + A + an-1ωN2+ an=0                  (5.1.14)

 

式中系数a都是kij与mij的组合。

对于一个n个自由度的系统,求解特征方程后可得到(ωn)2的n个正实根,即为方程的n个特征值,也是系统多阶固有频率的平方值。将这n个固有频率由小到大按次序排列,分别称之为一阶固有频率(基频)、二阶固有频率……n阶有频率,即0<ωn1<ωn2……<ωnn

于是方程(5.1.14)可写为:

(ω2n12)(ω2n22)……(ω2nn2)=0                 (5.1.15)

ω2n-(ωn12n22……ωnn2) ω2(n-1)+……(-1)nωn12……ωnn2=0      (5.1.16)

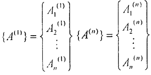
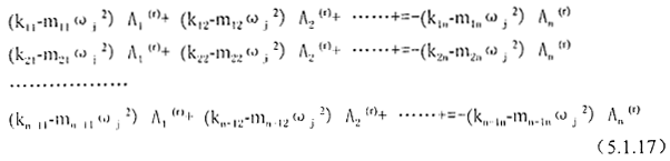
求得各阶固有频率ωni后,将方程5.1.6划去其中不独立的某一式,并将剩下的n-1个方程中的某一相同的Ai项(这里取最后一项),移到等式右边,把某一ωnj2的值代入ω2后,得如下方程组:

这样可对A1(r)A2(r)……An-1(r)求解,显然,Aj(r)与An(r)成正比,于是得出固有频率ωj与振幅值A1(r)A2(r)……An(r)之间的振幅比关系。

显然,这一振幅比表示了系统按第r阶固有频率作振动时的振动形态。我们把由这n个具有确定的相对比值的振幅所组成的列阵称为系统的第r阶主振型即:

将系统的各阶固有频率依次代入5.1.11,可得系统的第一、二……n阶主振型。

n个自由度的系统就有n个固有频率和主振型。

5.1.3  几何非线性对结构刚度的影响

按全拉格朗目列式法(TL法)的公式:

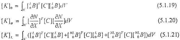
([K]0+[K]σ+[K]L){Δq}=[K]r{Δq }={F}+{T}-{P}        (5.1.18)

其中,{F}、{T}、{P}分别为体力、面力、以及应力在节点上的等价合力,而

对式5.1.18,我们将等号左端三个矩阵的各用[K]T表示,称切线刚度阵,它表示了载荷增量与位移增量之间的关系。

另外,[K]0为常规有限元法中的刚度矩阵,但材料阵[C]却为t时刻的材料刚度阵,其本构关系为:

Δ0Sij=0CijlmΔ0Eij                (5.1.22)

其中0Cijlm为增量材料性质张量。

[K]0的求值并无困难,[K]σ称初应力或几何刚度阵,它表示在大变形情况下初应力对结构刚度的影响,它未明显含有位移增量,但Sij是Δq的函数,因此[K]σ是变量Δq的隐函数,对于[K]σ,当应力为拉应力时,结构的刚度提高,当应力为压应力时,结构的刚度减小。[K]L称为初位移刚度阵或大位移刚度阵,是由大位移引起的结构刚度变化,是Δq的一阶和二阶函数。由公式5.1.19~5.1.21可见三个刚度都是对称的,因而切向刚度阵[K]r也是对称的。(以上考虑惯性力带来的影响)。

对于公5.1.22如果是小应变问题,该公式可由材料实验得到,但对于格林应力与克希霍夫有限应变而言却不是一件易事。

因此,按照几何非线性理论,结构刚度不但取决于结构材料与初始构形,而且很大程度上取决于受载后的应力分布([K]σ)、位移([K]L),刚度是随受载情况而变化的。反映在实际工程中,则有转动结构的动态频率高于静态频率的现象。

对静态问题,求解以下特征方程可得到频率及对应的模态:

([K]-λ[M]){q}=0               (5.1.23)

这是一个广义特征值问题,如何得到所需各阶的频率与对应模态稍后再述,这里要说明的是结构材料与构形决定后,[K]与[M]不随外载变化,因而频率是固定的。

对动态频率而言,如果按几何非线性理论,应求解如下特征值方程:

([K]T-λ[M]){Δq}=0               (5.1.24)

其中对T,L法有

[K]r=0[K]0 + 0[K]σ + 0[K]L

上一页

下一页

 

查看评论 】【关闭窗口
  精品推荐     相关信息
网友留言
发表评论:  标题:    联系方式
  
 
*必须遵守《全国人大常委会关于维护互联网安全的决定》及中华人民共和国其他有关法律法规。
*不得制作、复制、发布、传播含有下列内容的信息:
   (一)反对宪法所确定的基本原则的;
   (二)危害国家安全,泄露国家秘密,颠覆国家政权,破坏国家统一的;
   (三)损害国家荣誉和利益的;
   (四)煽动民族仇恨、民族歧视,破坏民族团结的;
   (五)破坏国家宗教政策,宣扬邪教和封建迷信的;
   (六)散布谣言,扰乱社会秩序,破坏社会稳定的;
   (七)散布淫秽、色情、赌博、暴力、凶杀、恐怖或者教唆犯罪的;
   (八)侮辱或者诽谤他人,侵害他人合法权益的;
   (九)含有法律、行政法规禁止的其他内容的。
* 您发表的文章仅代表个人观点,与减速机信息网无关。
* 承担一切因您的行为而直接或间接导致的民事或刑事法律责任。
* 本站评论管理人员有权保留或删除其管辖评论中的任意内容。
* 您在本站评论板发表的作品,本站有权在网站内转载或引用。
* 参与本评论即表明您已经阅读并接受上述条款。
关于我们 - 联系方式 - 版权声明 - 本站宗旨 - 网站地图 - 广告服务 - 帮助中心 - 设为首页 - 加入收藏
本站域名:www.jiansuji001.com 网络实名:减速机 jiansuji 减速机信息网
Copyright © 2005-2006 By 减速机信息网 All Rights Reserved.
建议使用:1024*768分辨率,16位以上颜色、IE5.0以上版本浏览器