1
中国减速机行业最大的门户网站!
免费注册 | 会员登录会员中心 设为首页加入收藏 联系我们
 当前位置:首页 >> 技术讲座 >>博士论文>> 正文
   我要成为会员
陈嵘 研究生——挠性叠片联轴器非线性特性研究
来源:减速机信息网    时间:2007年10月11日10:10  责任编辑:wangtao   
 

5.1.4  特征值问题

5.1.4.1  模态矩阵

由于主振型对质量矩阵[M]和刚度矩阵[K]都具有正交性,因此主振型组成的矩阵作为线性变换矩阵,对系统的原方程进行坐标变换,可以使[M]和[K]同时对角线化,这里由系统的n个主振型(即主模态)按阶次排列成一个n阶方阵称为横态矩阵(或振型矩阵),以[φ]表示:

已知以系统的广义坐标{x}表示的原运动方程为:

[M]{x}+[K]{x}={P}

现以模态矩阵[φ]对上式作线性变换:

{x}=[φ]{q}

{x}=[φ]{q}

所以在新的广义坐标{q}表示的系统运动方程为:

[φ]T[M][φ]{q}+[φ]T[K][φ]{q}=[φ]T]{q}            (5.1.26)

[M]{q}+[K]{x}={}                                  (5.1.27)

上式即为系统的模态方程。

式中:[M]= [φ]T[M][φ]        称为模态质量矩阵

      [K]= [φ]T[K][φ]       称为模态刚度矩阵

对于[M]、[K],所有非对角线上的元素都符合主振型对质量矩阵和刚度矩阵的正交性,所以:

式中:

Mr={A(r)}T[m]{A(r)}       (r=1,2,……n)称为r阶模态质量

Kr={A(r)}T[K]{A(r)}       (r=1,2,……n)称为r阶模态刚度

对于同一阶模态的模态质量和模态刚度:

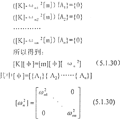
将各阶固有频率和相应的主振型代入系统的特征值问题公式:

将式5.1.30左乘[φ]T得:

[φ]T[K][φ]T=[φ]T[m][ φ][ωn2]       (5.1.31)

即[K]=[M][ωn2]

或Kr=Mr(i)nr2                (r=1,2……n)                       (5.1.32)

即ωm2=Kr/Mr                (r=1,2……n)                        (5.1.33)

上式表明,第r阶有频率平方的值ωnr2等于第r阶模态刚度Kr与第r阶模态质量Mr的比值,由此可见,系统固有频率随刚度和质量变化的趋势,即当系统的刚度增加时,模态刚度Kr值随之增加,则ωnr2值也增加,即固有频率值提高,反之刚固有频率值降低。而当系统的质量增加,模态质量Mr增加,则ωnr2减少,即固有频率值降低,反之,固有频率值提高。

5.2  特征问题解法

对于广义特征问题:

[K]{q}=λ[M]{q}                   (5.1.34)

其中[K]、[M]分别为结构的刚度和质量矩阵,{q}为位移列矢量,有时在工程上判定刚度矩阵[K]的正定性十分重要,则要对应下列标准特征问题:

[K]{q}=λ{q}                   (5.1.35)

对式5.1.35,若λi,则矩阵是正定的:

若λi,则矩轴是半正定的;

若有λi<0,也有λi>0,则矩阵是不定的。

对于刚度矩阵[K]来说,特征值等于0时,说明系统中存在着刚体位移,系统未被完全约束住,0的数目等于系统中刚体位移的数目。一般来讲,在进行结构静力、动力分析时,[K]都为实对称、正定矩阵,质量矩阵[M]常常是半正定的,只有当我们使用一致质量矩阵时,它才是正定的,并且与刚度矩阵有相同的半带度。

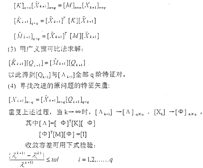
我们在APOLANS程序里对叠片进行计算时,使用的计算方法子空间迭代算法,它是一种求解广义特征问题局部的q个特征值及对应特征矢量的方法,它的基本步骤为:

(1)选取初始迭代矢量[X1]

(2)对k=1,2……迭代

当特征值准确到25位数字时,收敛容差tol应为10-25

(5)在迭代收敛后,利用斯图姆序列检验已算出的是否为所要求的特征值和相应的特征矢量。若有漏根,是需停止求解,可通过加大q和减小tol的方法来继续计算。

5.2  叠片联轴器的振动模型

由于APOLANS程序的局限性,不能计算磨擦状态下的振动问题,因而本文所讨论的叠片振动问题将忽略磨擦对它的影响。我们应该以整个联轴器来进行计算以确定其系统的特性,但由于程序本身的问题,不可能整个系统分毫不差地组成计算模型,因而必须对整个系统进行简化,当然,如何简化才是适当的对计算结果的正确性影响很大。

由第二章所示挠性叠片联轴器的结构可知,两端法兰盘(连接主、从传动轴)均可看做是刚固的,而中间轴法兰a可看做是加在两组叠片上的质量块。

设中间轴质量为m,则加在左边一组的质量为m/2,设一组叠片数为n片,在这里我们知道以叠片组中单片特性来进行强度分析与实际是较为符合的,这说明叠片组的刚度阵和质量阵与每一片的刚度阵和质量阵是相同的。而振动分析时是在强度分析的基础上加阻尼阵和外力矩阵,因而在忽略阻尼的情况下可以借用强度模型,只不过要将集中质量化到单片上去,这样每片所需加的集中质量为m/2n。

在实际工程中,我们进行振动分析是为了得到联轴器振动时的频率以避开共振区,而两叠片组上对应叠片上的位移大小相等,方向相同或相反,即振动时两叠片组的位移关于中间轴的中垂面是对称或反对称的,反对称与对称虽然振型不同,但它们的频率是相等的,因此选取振动的对称模型来计算叠片联轴器的振频和振型,虽然这样会漏掉部分反对称振型,但不会漏掉振频,可以达到我们关注共振问题的目的。

5.3  算例

我们延用强度模型的算例,用上述模型算得其在没有载荷时的1-6阶振频(见下表),另外,我们还可以通过程序的动画功能看到各阶振动模态的形式,由此可知1阶振动频率最低2阶和3阶、4阶和5阶的振频虽然相等,但横态不同,1、3阶的振动虽然类似,但其随着阶数的增加振动波数增多即驻点增多,模态也不同,

振频阶数 1 2 3 4 5 6
频率Hz 97.1 157.9 157.9 159.3 159.3 160.2

对模型进行动频分析时,先加上各种载荷进行非线性静力分析,再在非线性静力分析的基础上进行频率分析即可行到模型的动频。下表为传递功率30KW,轴向位移为2mm,角向位移为1.5时和各阶频率。由此可知加载后,模型由于变形而使刚度增大,则振频也增加。

振频阶数 1 2 3 4 5 6
频率Hz 124.6 183.3 183.3 195.5 195.5 201.1

上一页

 

查看评论 】【关闭窗口
  精品推荐     相关信息
网友留言
发表评论:  标题:    联系方式
  
 
*必须遵守《全国人大常委会关于维护互联网安全的决定》及中华人民共和国其他有关法律法规。
*不得制作、复制、发布、传播含有下列内容的信息:
   (一)反对宪法所确定的基本原则的;
   (二)危害国家安全,泄露国家秘密,颠覆国家政权,破坏国家统一的;
   (三)损害国家荣誉和利益的;
   (四)煽动民族仇恨、民族歧视,破坏民族团结的;
   (五)破坏国家宗教政策,宣扬邪教和封建迷信的;
   (六)散布谣言,扰乱社会秩序,破坏社会稳定的;
   (七)散布淫秽、色情、赌博、暴力、凶杀、恐怖或者教唆犯罪的;
   (八)侮辱或者诽谤他人,侵害他人合法权益的;
   (九)含有法律、行政法规禁止的其他内容的。
* 您发表的文章仅代表个人观点,与减速机信息网无关。
* 承担一切因您的行为而直接或间接导致的民事或刑事法律责任。
* 本站评论管理人员有权保留或删除其管辖评论中的任意内容。
* 您在本站评论板发表的作品,本站有权在网站内转载或引用。
* 参与本评论即表明您已经阅读并接受上述条款。
关于我们 - 联系方式 - 版权声明 - 本站宗旨 - 网站地图 - 广告服务 - 帮助中心 - 设为首页 - 加入收藏
本站域名:www.jiansuji001.com 网络实名:减速机 jiansuji 减速机信息网
Copyright © 2005-2006 By 减速机信息网 All Rights Reserved.
建议使用:1024*768分辨率,16位以上颜色、IE5.0以上版本浏览器