3.2.4.1 联立方程的求取
由建立的坐标系可知:
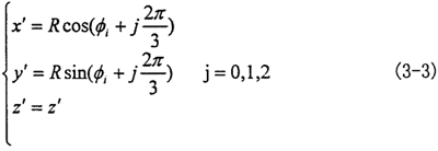
在定坐标系O′X′Y′Z′中输入轴的三滑道轴线m1、m2、m3方程为:

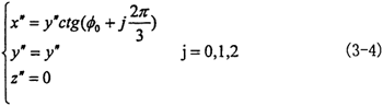
在动坐标系O″X″Y″Z″中三叉杆轴颈的轴线n1、n2、n3方程为:

定坐标系O′X′Y′Z′与定坐标系OXYZ之间的四阶变换矩阵为:

下面讨论如何在固定坐标系O′X′Y′Z′中表达出三叉杆轴线的参数方程。
为求出这个参数方程,我们必须解决动坐标系O″X″Y″Z″同定坐标系OXYZ之间的坐标变换矩阵[Moo″]。
已知O″点在OXYZ中的坐标为:

由于动坐标系O″X″Y″Z″的O″Y″轴取得始终垂直于固定坐标系OX轴,可认为先把OXYZ坐标系绕OX轴转过夹角θx,使OY轴与O″Y″轴平行,再绕新的OY轴转过θy,使OX轴与O″X″轴平行,OZ轴也同时平行于O″Z″轴(变换空间位置如图3-6所示)。则固定坐标OXYZ与动坐标系间的变换关系如下:


所以有:

因O″Z″与OZ的交点S在OXYZ坐标系中的坐标为(O,O,L),在O″X″Y″Z″坐标系中的坐标为(O,O,
),代入式(3-5)
可推出:

由式(3-6)可知|θy|<θ,|θx|<θ一般来说θ值非常小,则θy和θx则更小。到此方向余弦矩阵[Coo″]的所有项均可求出。其具体的形式如下(为简化书写将θy作为已知参数代入):

于是动坐标系O″X″Y″Z″与定坐标系OXYZ之间的四阶变换矩阵[Moo″]为:

其中tgθ=
,(L为圆锥摆中轴线长,P为圆锥摆底圆半径(见图3-3))
又坐标系O′X′Y′Z′与坐标系O″X″Y″Z″之间的四阶变换矩阵为:
[Mo′o″]=[Mo′o] [Moo″]
故三叉杆轴颈的轴线方程由坐标系O″X″Y″Z″转到坐标系O′X′Y′Z′为:

(3-7)式中A1、A2、A3、A4、B1、B2、B3、B4、C1、C2、C3、C4等于其在矩阵[Mo′o″]中对应位置的表达式。
将式(3-3)同式(3-9)式联立,则有:

3.2.4.2 输入、输出转角关系的求取
由式(3-10)中的(1)、(2)两式,消去x″,即可求出输入角
同输出角
的关系。
(A1+tg
·A2)sin
-(B1+tg
·B2)cos
+
(B1+tg
·B2)-
(A1+tg
·A2)=0 (3-11)
在式(3-11)中略去sinθ的平方和高次项(根据实际情况p<<L,故θ也非常小),同时令cosθy≈1(由式(3-6)可知是合理的)。则可得出输入同输出转角关系:
转角关系:
-
≈
tgβtg2
cos3
(此处单位为弧度,后面的分析中转化为度) (3-12)
速比关系:
=
≈1-
tgβtg2
sin3
(单位为弧度/秒) (3-13)
3.2.4.3 小杆的运动分析
3.2.4.3.1 小杆相对于滑道的运动
对式(3-10)中的第(3)式作近似处理sinθ≈
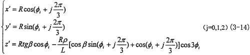
≈0,cosθ≈1(实际上p<<L,近似处理是合理的),则可得到三小杆的球面中心P在固定坐标系O′X′Y′Z′中的运动轨迹:

由式(3-14)则有小杆在滑道中的滑动位移即为坐标z′值,由于三小杆的滑动位移是相同的,可取其中之一进行表示,令h1为其位移量则可表示为:
h1=Rtgβcos
-
[cosβsin
+cos
]cos3
小杆球面中心P在定坐标系O′X′Y′Z′中的坐标(x′y′z′)表示成向量形式为:
=(x′,y′,z′),将其对时间t求导得到:
,则P点的绝对速度为vp=
。
其中:

上式中作
=wo=
=wi的处理(三叉杆式万向联轴器输入同输出的转角差值很小,可以认为是等角速传动,这在后面的分析中可以证明。)
=vpz是小杆沿着滑道的相对速度,将速度
再次对时间t求导可得小杆运动的加速度:
(其中
=αpz是小杆沿着滑道的相对加速度)。
假设输入轴的转速为定值,则ε=
=o,此时:

3.2.4.3.2 小杆(球面中心P)相对于三叉杆轴颈的运动小杆的球面中心P在动坐标系O″X″Y″Z″中的参数方程为:

(方程中hj为小杆的球面中心P到三叉杆轴线的距离,因为三小杆运动相同,故取其中之一分析,可令j=0)
将(3-17)式代入(3-10)式中第(2)个方程可得
Rsin
=B1hocos
+B2hosin
+B4
由
=
,cosθ≈1,sinθ≈0则可得出小杆球面中心P沿着三叉杆轴颈相对位移量为:
ho=R-P-2Pcos2
(3-18)
将位移ho对时间t求导可得小杆球面中心P沿三叉杆轴颈的相对速度:
4PWosin2
(3-19)
将速度
再次对时间t求导可得小杆球面中心P沿三叉杆轴颈的相对加速度:
=
=8
cos2
(3-20)
上一页
下一页