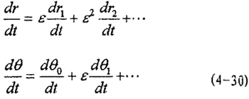
为得到(4-2)式的频闪方程,首先由(4-20)求导得:

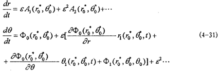
将(4-20)式代入(4-19)式,并将A1,ф1在
,θ0邻域内展开为ε的幂级数得:

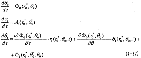
比较(4-31)式与(4-30),由ε的同次幂系数相等得:

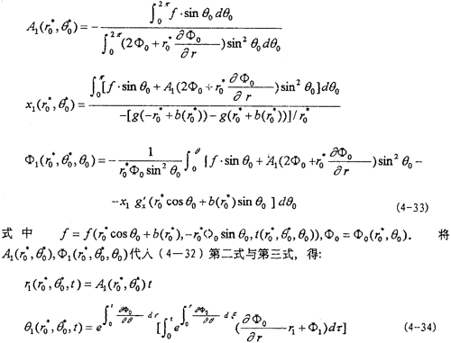
由此可解得θ0=θ0(
,
,t),反函数t=t(
,
,θ0),将此式以及(4-20)代入(4-26)~(4-28)式,令等号两端在
,θ0邻域内展开为ε的幂级数并令不含ε的项相等得:

设频闪时间间隔为T=nT0,其中T0为x0=
cosθ0+b(
)的周期,n为正整数。于是有θ0(
,
,T)-θ0(
,
,0)=0。据此,由(4-20)和(4-34)并略去ε二次以上微量得:

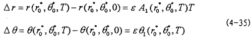
令△τ=εT,则上式化为:

这就是对应于(4-2)式的频闪差分方程,即(4-2)式在Poicare平面上以T为周期的点变换方程。如ε充分小,则可令△τ=dτ,△r=dr,△θ=dθ,此外,(4-36)中的
,
虽为初始值但却可以是平面上任一点(r,θ)于上(4-36)可写成:

此式就是对应于(4-2)的频闪方程。如果(4-37)存在—稳定—次奇点(r*,θ*),则在此奇点ε邻域内必存在一点(
,
),使(4-2)以此点为初始的解为稳定周期解,周期为T,其一次近似表达式为:

在非线性振动系统中,为了求出系统的各次谐共振解,必须考虑(4-15)中各次谐波的影响,为此对以上方法作如下改进:
由(4-15)式可知,-dθ0/dt应为实数,因此,可以证明(4-15)中的

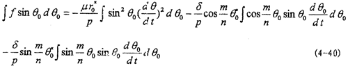
的绝对值小于1。于是可将(4-15)式中的根号部分展开成收敛幂级数。为了将幂级数形式的dθ0/dt引入(4-33)、(4-34)各式进行计算,须对(4-33)中的积分项
进行变换。利用(4-18)式,得变换如下:

为求(4-2)的各次谐共振,令ω=(m/n)p,其中m,n,为互质整数。于是有:

在非线性振动系统中,当系统受到周期性外力作用的情况下,有可能产生三类运动,非共振运动,共振运动,由非共振运动到共振运动的过渡过程,即瞬态运动。对于共振运动来说,有三类,(l)m=n,即ω=p,这是通常所说的共振,称为主共振,(2)n=1,ω=mp,产生泛音共振,当m为奇数时,产生次谐波共振,(3)m=1,ω=p/n,当n为奇数时,产生超谐波共振。将幂级数形式的dθ0/dt代人(4-40),并计算该式在O~2π区间的定积分,可以得出结论:只有当n=1,m=±1,±3,±5,±7,……时才可能得到(4-2)的周期解,并且(4-2)式只可能产生主共振解和次谐波共振解。
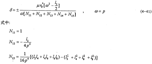
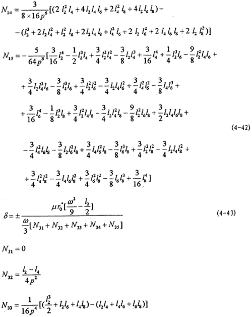
由前面推导可知,系统(4-2)有周期解时,第一个频闪方程dr/dτ=A1(r,0)=0,于是由(4-33)第一式和(4-40)式,再令n=1,m=1,3,5,7可求得(4-2)系统存在主共振解,1/3次谐波共振解,1/5及1/7次谐波共振解时,μ与δ,
应满足的关系式为:



上一页
下一页