中国减速机行业最大的门户网站!
免费注册 | 会员登录会员中心 设为首页加入收藏 联系我们
 当前位置:首页 >> 技术讲座 >>博士论文>> 正文
   我要成为会员
龚宪生 博士生——具有非线性迟滞特性的大挠度联轴器及轴系动力学研究 
来源:减速机信息网    时间:2007年10月17日16:35  责任编辑:wangtao   
 

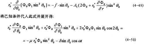
由(4-33)可算得x1=0,然而要在算得ф1后由(4-34)算得θ1,则会由于积分函数繁复而难以进行,在这种情况下,建议用以下方法来求ф1,从而求得θ1

由(4-33)第三式得

等式两边同乘ф0得:

由于(4-49)右端是θ0的偶函数,因此,ф1将是θ0的奇函数,于是

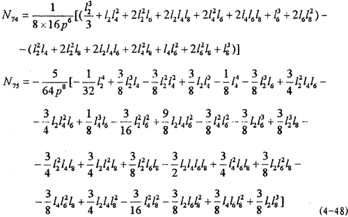
将有关式代入(4-51)并比较等式两边各次三角函数的系数,得:

(1)n=1,    m=1,cos=0,    
(2)n=1,    m=3,cos=0,    
(3)n=1,    m=5,cos=0,    

(4)n=1,    m=7,cos=0,                                  (4-54)

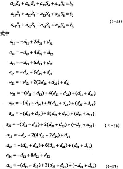
  n=1,   m=1   时,有方程组:

a11S2+ a12S4+ a13S6+ a14S8=b1

上一页

下一页


查看评论 】【关闭窗口
  精品推荐     相关信息
网友留言
发表评论:  标题:    联系方式
  
 
*必须遵守《全国人大常委会关于维护互联网安全的决定》及中华人民共和国其他有关法律法规。
*不得制作、复制、发布、传播含有下列内容的信息:
   (一)反对宪法所确定的基本原则的;
   (二)危害国家安全,泄露国家秘密,颠覆国家政权,破坏国家统一的;
   (三)损害国家荣誉和利益的;
   (四)煽动民族仇恨、民族歧视,破坏民族团结的;
   (五)破坏国家宗教政策,宣扬邪教和封建迷信的;
   (六)散布谣言,扰乱社会秩序,破坏社会稳定的;
   (七)散布淫秽、色情、赌博、暴力、凶杀、恐怖或者教唆犯罪的;
   (八)侮辱或者诽谤他人,侵害他人合法权益的;
   (九)含有法律、行政法规禁止的其他内容的。
* 您发表的文章仅代表个人观点,与减速机信息网无关。
* 承担一切因您的行为而直接或间接导致的民事或刑事法律责任。
* 本站评论管理人员有权保留或删除其管辖评论中的任意内容。
* 您在本站评论板发表的作品,本站有权在网站内转载或引用。
* 参与本评论即表明您已经阅读并接受上述条款。
关于我们 - 联系方式 - 版权声明 - 本站宗旨 - 网站地图 - 广告服务 - 帮助中心 - 设为首页 - 加入收藏
本站域名:www.jiansuji001.com 网络实名:减速机 jiansuji 减速机信息网
Copyright © 2005-2006 By 减速机信息网 All Rights Reserved.
建议使用:1024*768分辨率,16位以上颜色、IE5.0以上版本浏览器