中国减速机行业最大的门户网站!
免费注册 | 会员登录会员中心 设为首页加入收藏 联系我们
 当前位置:首页 >> 技术讲座 >>博士论文>> 正文
   我要成为会员
龚宪生 博士生——具有非线性迟滞特性的大挠度联轴器及轴系动力学研究 
来源:减速机信息网    时间:2007年10月17日16:48  责任编辑:wangtao   
 

二、Galerkin法的应用

为了求出{a},引入无量纲时间τ=ωt,则(5-10)式可以写成:

式中[q0  q1   … qN  ]T的各分量为联轴器恢复力,τ)的傅立叶级数各简谐分量的系数分量。[f10  f11    …  f1N  ]T,…[fjo  fj1    …  fjN ]T,…[fn0  fn1   … fnN  ]T分别为弹性恢复力和阻尼恢复力的F1=k(n+1)1+c(n+1)1…,Fj=k(n+1)j+ c(n+1)…,Fn=k(n+1)n+c(n+1)n的傅立叶级数各简谐分量的系数向量。

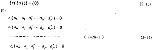
由以上推导可知,求解带有非线性联轴器轴系的稳态响应,可以归结为联合求解2N+1个非线性代数方程组(5-15)和求解n个微分方程组(5-4)而重点又在于由(5-15)式求得2N+1个未知量[a0  a1   … aN  T。由(5-15)式可知,它不同于一般的非线性方程组,在一般的非线性方程组中,未知量是显含的,而(5-15)式的未知量{a}是隐含的,而且{q}是{a}的非线性函数。不能通过将yb的傅立叶展开式代人恢复力Q的表达式中来直接求得,这是因为Q表达式中的振幅不能表示成{a}的显函数的缘故。此要想由(5-15)式解得{a},还需要解决两个问题:一是如何求,τ),二是用什么来解隐含{a}的方程组(5-15)。下面就来解决这些问题。

三、ILM法

将非线性方程组简写成:

由于向量函数{r({a})}中非线性项{q({a})}的复杂性,可行的求解方法是采用数值法。

对于式(5-17)的数值法求解问题,我们将其转化为与之等效的目标函数:

的极小值问题。即非线性方程组(5-17)的解{a}可以通过求此极小值问题的最小二乘解得到。在此采用一种改进的LM算法(ILM)来求解这一问题。ILM法的基本思想简述如下:

当LM法用于(5-18)问题时,迭代公式为:

式中μk是LM参数,I为单位矩阵,{p(k)(μk)}为搜索逼近(5-17)式解的校正向量,它依赖于参数μk值,控制搜索方向和长度。

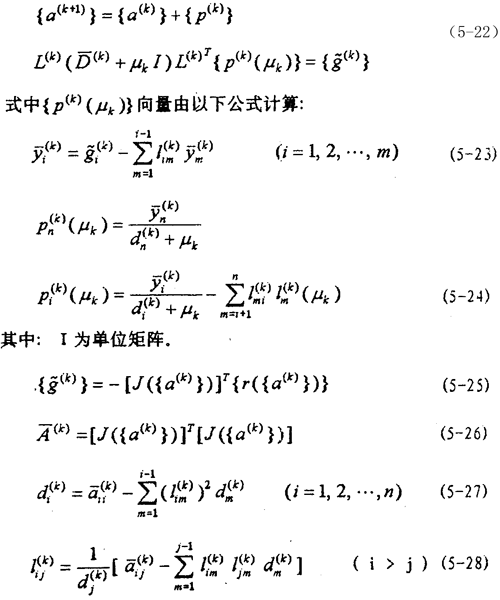
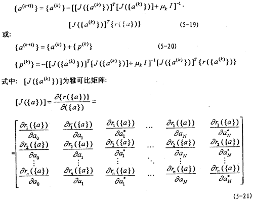
LM算法的优点是,在计算(5-20)式时,可以不考虑[J({a(k)})]是否满秩,μk可以起到({a})下降参数的作用,{p(k)(μk)}是({a})在{a(k)}处的下降方向,而且总存在这样的μ≥0,使({a(k)}+ p(k))<{a(k)})(对所有k),随着μ值的增大,{p(k)(μk)}的方向越来越接近({a}的负梯度方向,此时,收敛速度变慢,但放宽了对初始近似{a(0)}的要求。缺点是选择μ满足({a(k+1)})<({a(k)})时,在一个迭代步骤中需要多次求解方程组(5-20),大大增加了计算量,因此有必要对LM法进行改进,以使选择μk时即不增加太多的计算量,又能保证满足下降性质,即有一定的收敛速度,又能改善(5-20)方程组的病态性。改进后的迭代公式为:

式中为矩阵(k)的元素。分别为矩阵L(k)(k)的元素。公式(5-23)和(5-27)和(5-28)中不含参数μk,因此改变μk时,只需重新计算(5-24),而不需要重新进行三角分解。显然,改进后的算法减少了由于选择合适的μk而带来的计算量。这种算法与LM法的不同之处在于用正定矩阵Lk 代替了单位矩阵I,它不仅调整了矩阵(k)的主对角元素,而且对整个矩阵进行了调整,它比LM法有更好的收敛速度。

为了得到合适的μk值,使得搜索向量{p(k)(μk)}更快更好地满足({a(k)}+ p(k))<({a(k)}),加速收敛,改善LM法对初始值{a(0)}要求过高的缺点,本文采用一种选择合适μk值的新算法,对LM法进行了改进,选择计算步骤如下:

①.取定初始近似{a(0)}和初始值,为了调整μk值,引人调整系数v,可以取得小一些,取=10-2,v=5。

②.按(5-21) 式首先算得[J({a(0)})],然后按(5-26)式算得,再根据(5-27)、(5-28)式算得矩阵L(0)和(0)中的各元素,按(5-25)、(5-23)和(5-24)算得{P(0))};按(5-17)算得{r({a(0)})};按(5-18)算({a(0)})。并计算{a(1)}={a(0)}+{P(0))}和({a(1)})

③.(l)如果({a(1)})≤({a(0)}),则以/v代替重新计算{P(0)/v)}和新的{(1)},({(1)})。(a)如果有({(1)})≤({a(0)}),则取定μ0=/v;(b)如果({(1)})>({a(0)}),则取定μ0=,(2)({a(1)})>({a(0)}),则需增大μ值,取=vm,以代替,逐次对m=1,2,…时的代入(5-24)进行计算,最后取定使不等式({a(0)})+{ P(0))})<({a(0)})成立的最小正整数对应的=作为μ0以及{a(1)}={a(0)}+{P()}。

④.假定已求得第k次近似{ a(k)}和相应的k-1,算出[J({ a(k)})],(k),L(k)(k),r({ a(k)})},({ a(k)}),然后算得{这p()},并计算{ a(k+1)}={ a(k)}+{P()}和({ a(k+1)})

⑤.(1)如果({ a(k+1)})≤({ a(k)}),则减少代替重新计算{p()}和对应的{ (k+1)}及({ (k+1)})(a)如果({ (k+1)})≤({ a(k)}),则取定μk=;(b)如果({ (k+1)})>({ a(k)}),则取定μk=;(2)如果({a(k+1)})>({ a(k)}),则增大值,可取=vm,以代替,逐次时m=1,2,…时的代入(5-24)式进行计算,最后取定使不定式({ a(k)}+{p()}<({ a(k)})成立的最小正整数所对应的作为以及{a(k+1)}={a(k)}+{p()}。

⑥.目标函数({a})的k次迭代和k+1次迭代如果满足绝对误差和相对误差精度,即可将{ a(k+1)}作为近似解。如果不满足,则以{ a(k+1)}代替{ a(k)},μk代替μk-1去执行步骤⑤,直到满足要求为止。

至此,(5-17)式的求解方法已经建立起来,日(5-17)式求解{a}还需要求出,τ),{q}和(fj)(j=1,2,…,n)。另外,在用(5-21)式求[J({a})]时遇到ri({a})对隐含向量{a}求偏导数的麻烦,因此在计算[J({a})]时,需要做些处理。由(5-15)式可知,它是在频域内的2N+1个非线性代数方程组,而非线性迟滞恢复力,τ)是时域函数,因此在求解(5-15)时需要进行频域与时域相互变换,并做一些数学上的处理,下面逐一叙述。

上一页

下一页


查看评论 】【关闭窗口
  精品推荐     相关信息
网友留言
发表评论:  标题:    联系方式
  
 
*必须遵守《全国人大常委会关于维护互联网安全的决定》及中华人民共和国其他有关法律法规。
*不得制作、复制、发布、传播含有下列内容的信息:
   (一)反对宪法所确定的基本原则的;
   (二)危害国家安全,泄露国家秘密,颠覆国家政权,破坏国家统一的;
   (三)损害国家荣誉和利益的;
   (四)煽动民族仇恨、民族歧视,破坏民族团结的;
   (五)破坏国家宗教政策,宣扬邪教和封建迷信的;
   (六)散布谣言,扰乱社会秩序,破坏社会稳定的;
   (七)散布淫秽、色情、赌博、暴力、凶杀、恐怖或者教唆犯罪的;
   (八)侮辱或者诽谤他人,侵害他人合法权益的;
   (九)含有法律、行政法规禁止的其他内容的。
* 您发表的文章仅代表个人观点,与减速机信息网无关。
* 承担一切因您的行为而直接或间接导致的民事或刑事法律责任。
* 本站评论管理人员有权保留或删除其管辖评论中的任意内容。
* 您在本站评论板发表的作品,本站有权在网站内转载或引用。
* 参与本评论即表明您已经阅读并接受上述条款。
关于我们 - 联系方式 - 版权声明 - 本站宗旨 - 网站地图 - 广告服务 - 帮助中心 - 设为首页 - 加入收藏
本站域名:www.jiansuji001.com 网络实名:减速机 jiansuji 减速机信息网
Copyright © 2005-2006 By 减速机信息网 All Rights Reserved.
建议使用:1024*768分辨率,16位以上颜色、IE5.0以上版本浏览器