1
中国减速机行业最大的门户网站!
免费注册 | 会员登录会员中心 设为首页加入收藏 联系我们
 当前位置:首页 >> 技术讲座 >>博士论文>> 正文
   我要成为会员
陈嵘 研究生——挠性叠片联轴器非线性特性研究
来源:减速机信息网    时间:2007年10月11日10:10  责任编辑:wangtao   
 

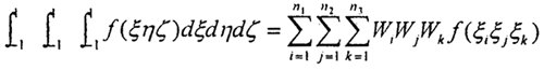
单元刚度阵中dV=∣J∣dξdηdζ,所以在局部坐标系ξηζ内积分式(3.1.6),可采用三维高斯求积公式:

3.2  几何非线性有限元法

当薄板、壳等物体受到载荷,位移与应变关系不可用线性来描述,而且应变超过10%以上时,必须采用大应变理论。因此考虑位移与应变的非线性关系或采用大应变理论均为几何非线性问题。

3.2.1  物体变形和运动的描述

从变形的角度来说,物体的变形过程实际上是从一种图形变换到另一种图形的过程,由于物体是由质点所组成的,物体的形状可以用质点间的相互位置来表示。

质点p在时间t=0时刻的位置坐标为xi(i=1,2,3),在t=t时刻质点移到另一位置上,由于质点间的相互位置关系发生了变化,物体因而改变了形状,这时p点的位置坐标为

xi(i=1,2,3)它是xi与时间的函数

Xi=Xi(xi,t)    (i=1,2,3)            (3.2.1)

对于变形体及其上的质点运动状态,可以随不同坐标选取法有多种描述方法:

(1)参照描述(拉格朗日法)独立变量为任意选择的参照构形中质点P的当前坐标与时间t,其中参照构形的选择是任意的,而且不影响计算结果。

(2)空间描述(欧拉描述):独立变量是质点P当前位置n+1x与时间隔n+1t,其研究方式不是跟随着运动的质点研究其运动状态,而是研究不同的质点。

(3)物质描述:独立变量为xi与(i=1,2,3)即给出任意时刻物体中各个质点的位置,这种方法很少用于有限元法中。

经过空间某一点时的状态。

(4)更新的拉格朗日法:在物体运动的整个过程中,如果从零时刻到t时刻的所有力学量是已知的,度量t+△t时刻各个力学量的参考坐标是以t时刻的坐标来描述,也就是说在某一时刻物体的力学量,都以它的前一个时刻的坐标系来描述的。

由于拉格朗日描述在大应变时非弹性本构关系不易引入,其适应于大位移,中等转动和小应变情况以及线性、以及非线性屈曲,因此本文仅讨论全拉格朗日法(T.L法)的情形。

3.2.2  完全拉格朗日(T.L)公式

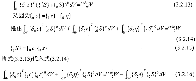
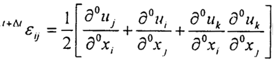
以t=0时刻为基准描述物体在t+△t时刻的平衡,在平衡方程中采用格林—拉格朗日应变分量 以及克希霍夫张量t+ΔtSij,

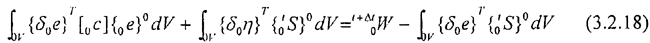
上式是将t+△t时刻的应力、应变、位移看成t时刻已知的应力、应变、位移和未知增量应力{0S},应变{0ε},位移{0u}之和,进一步,增量应变{0ε}可用线性部分即{oε}={oe}+{oη}

0eij中只含有未知增量位移的一次方项,而0ηij中含有未知增量位移二次方项,所以非线性主要体现在0ηij

由于0tu及0tε已知,利用式(3.2.5)(3.2.6)可行

式(3.2.2)可写为:

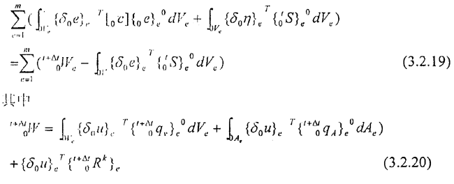
上式为T.L描述的增量形式的虚功方程,左边第一项为增量应力在增量虚应变上做的虚功,左边第二项为t时刻的总应力在非线性部分虚应变上的虚功。右边第二项为t刻的总应力在线性部份虑应变上的虚功。 右边第一项t+△t0W为外力做的虚功。

式(3.4.16)是包含了未知量的高次项,是一个非线性方程。由于采用了增量加载,对每一个增量加载段,当作线性问题处理,即采用分级线性化来求解。为此可近似取应变的线性部分来代替全部应变,即:

只要加载步长分得很小,这种代替引起的误差将不会很大,同时这种误差还可以在求解过程中由平衡迭代来修正。

将式(3.4.17)代入式(3.4.16)求得非线性虚功方程

上式在有限元中将物体离散为有限个单元的集合体时可为:

{}e表示此量是属于单元的。

式(3.4.14)(3.4.19)为增量形式的完全拉格朗日(T.L)方程。

上一页

下一页

 

查看评论 】【关闭窗口
  精品推荐     相关信息
网友留言
发表评论:  标题:    联系方式
  
 
*必须遵守《全国人大常委会关于维护互联网安全的决定》及中华人民共和国其他有关法律法规。
*不得制作、复制、发布、传播含有下列内容的信息:
   (一)反对宪法所确定的基本原则的;
   (二)危害国家安全,泄露国家秘密,颠覆国家政权,破坏国家统一的;
   (三)损害国家荣誉和利益的;
   (四)煽动民族仇恨、民族歧视,破坏民族团结的;
   (五)破坏国家宗教政策,宣扬邪教和封建迷信的;
   (六)散布谣言,扰乱社会秩序,破坏社会稳定的;
   (七)散布淫秽、色情、赌博、暴力、凶杀、恐怖或者教唆犯罪的;
   (八)侮辱或者诽谤他人,侵害他人合法权益的;
   (九)含有法律、行政法规禁止的其他内容的。
* 您发表的文章仅代表个人观点,与减速机信息网无关。
* 承担一切因您的行为而直接或间接导致的民事或刑事法律责任。
* 本站评论管理人员有权保留或删除其管辖评论中的任意内容。
* 您在本站评论板发表的作品,本站有权在网站内转载或引用。
* 参与本评论即表明您已经阅读并接受上述条款。
关于我们 - 联系方式 - 版权声明 - 本站宗旨 - 网站地图 - 广告服务 - 帮助中心 - 设为首页 - 加入收藏
本站域名:www.jiansuji001.com 网络实名:减速机 jiansuji 减速机信息网
Copyright © 2005-2006 By 减速机信息网 All Rights Reserved.
建议使用:1024*768分辨率,16位以上颜色、IE5.0以上版本浏览器