1
中国减速机行业最大的门户网站!
免费注册 | 会员登录会员中心 设为首页加入收藏 联系我们
 当前位置:首页 >> 技术讲座 >>博士论文>> 正文
   我要成为会员
陈嵘 研究生——挠性叠片联轴器非线性特性研究
来源:减速机信息网    时间:2007年10月11日10:10  责任编辑:wangtao   
 

第四章  接触状态下叠片的强度分析

4.1  接触问题

接触问题是一类非线性问题,它属于边界条件非线性问题,在接触问题中边界条件不是在计算开始前就可给出,它们是计算结果,两接触体间接触面的面积与压力分布随外载变化而变化并与接触体的刚性有关,这是接触问题的特点,也是它的难点。

为了求解接触问题,必须解决四方面问题:

(1)物理模型:采用什么样的模型来描述两接触体之间的传递以及在不同载荷下接触状态的变化。

(2)几何运动规律:在接触面上两物体位移必须满足的条件。

(3)本构规律:在接触面上力与位移或压力与切向力之间关系。

(4)建立方程与求解的方法:如何建立数学方程描述以上各规律并使系统处于平衡以及如何求解该方程。

APOLANS采用了点面接触的力学模型,当两物体相互接触时。为了方便指定其中之一为主动体(contact body or master body,它不允许是刚体),另一物体为被动体(target body or slave body它可为刚体)。它的出发点是研究主动体一个接触节点与被动体而元上任何一点相接触时的情况,以此建立力学计算模型。

在建立接触控制方程时,采用了如下一些基本条件与假设:

1)主动体内任何节点不允许在被动体内,但被动体的某些节点允许在主动体内,

2)两接触体在接触面上的接触力静力相等

3)对于每个物体,支反力必须与外力、惯性力、接触力相平衡

4)仍采用库仑磨擦定律,静与动磨擦系数可采用不同的值

在对叠片进行接触表面离散化,确定下接触边界条件,然后由带接触边界变形协调的变分原理出发,建立整个接触系统的控制方程。求解控制方程并由接触面上节点的平衡得到节点的接触力,由节点接触力求出接触表面。单元上的当量分布力并进而求出单元合力,由单元合力判断两接触表面单元的接触情况,再进一步判断主动网格节点的接触状态,根据新的接触状态修正控制方程,如果判断尚未收敛,对新的控制方程重复上述过程,反复迭代,直至收敛。

4.1.1  接触体的物理模型

一、表面离散比

由于APOLANS 程序所使用的为接触面与接触面对为对象建立的计算模型。一个主动体上的节点可能在被动体的接触面上任意点处与之接触,在有限元中则需把所有连续分布的参量离散化并等价到网格节点上,因此需对被动接触面上的实际接触点的坐标及位移值进行插值。

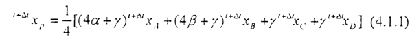
上图为三维状态下的接触表面离散化,由于采用了线性等参插值,表面单元为4节点等参元。主动体一节点k可能在被动体上任意一点p 与之接触,p 点坐标、位移、当量力等均应按有限元网格各节点值表示,被动接触面的一个四边形单元假定由四个具有共同顶点O (局部坐标r=O 、s= 0)的三角形所组成。在ABC 三角形内一点P的面积(自然)坐标。

式中x 为总体坐标,下标A 、B 、C 、D 分别代表单元四个角点,P 表示被动体实际接触点α,β,γ为三角形面积坐标,t+△t表示求解时刻。

二、接触边界协调条件

两物体接触可能出现三种状态:

(1)粘式:两物体接触的点无相对运动,变形前后接触点的局部坐标值相同。

(2)滑移:两物体相接触,但变形后接触点间沿接触面切向有相对运动,沿接触面法线方向两接触点坐标相同。

(3)开式:两物体某些表面未接触,但随物体变形可能会接触或已接触的部位随物体变形而脱离接触,此时接触约束释放。

在一个接触面对中,不同部位可能有不同接触状态,因而有不同的变形一致条件。

由上图,在粘式情况下在接触边界上变形一致条件:

l+△t△k(l)= l+△txk(l)+ l+△txp(l)          (4.1.2a)

△k(1)为主动接触点k 处的材料重叠矢量

对于滑移情况,沿被动接触元法线方向主动接触节点k 与被动接触点p 坐标应相同而切线方向有相对运动。

nTJ△k=nTJ(l+△txk(l)-l+△txp(l))        (4.1.2b)

n 为接触单元局部坐标的单位矢量,T为转释符号。

即仅有一个自由度受变形一致条件约束,于是前两式可合成为下式:

对于开式情况不存在变形一致条件。

4.1.2  考虑接触边界条件的约束变分原理及系统的控制方程

一、约束变分原理

考虑接触边界条件时的虚功原理为:

系统的总虚功取极值

在Sσ力边界上,满足静力边界条件

Tl=                        (4.1.4)

上式右边为外力,左边为i点从内力并满足

Tlijnj                     (4.1.5)

在几何边界SH上满足位移边界条件


ui=                         (4.1.6)

上式右边为外加指定位移。

对于接触而言还应满足:在接触边界上满足式(4.1.2)的协调条件:

CT=(XK(i)-xp(i)-Δk(i))=0                 (4.1.7)

将式(4.1.7)的约束条件用拉格日法代入式(4.1.3)构成修正的势能,然后取级驻值,这样修正后的泛函为:

Πmp=Π-Πc                     (4.1.8)s

Πc =               (4.1.9)

其中λ为拉式乘子,Σ表示对所有主动接触节点求和,

对修正势能Πmp求驻值

δΠmp=δΠ-δΠc              (4.1.10)

由此可得控制方程,其中右边第二项为接触状态下控制方程补充项,由于讨论问题的非线性性质,宜采用增量形式的变分原理。设t时刻系统的状态己知,求解的目的是求t+△t时刻系统各物理参数值。

则增量形式表达式t+△t第i+1次迭代

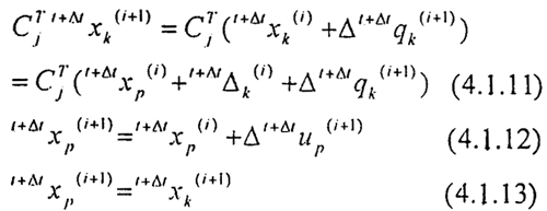
式中△up(i+1), △qk(i+1)表示第i+1迭代步P点及R点位移增量,由式(4.1.11)(4.1.12)得

ClT△up(i+1)= ClT(△k(i)+ △qk(i+1))             (4.1.14)

此式即为增量形式接触面变形协调条件表达式。

二.接触势能及接触项导出

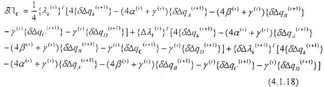
一)粘式接触下的接触势

在i+1步k节点与被动体粘式接触情况下,k与p点坐标应相同

1+△txk(i+1)=1+△txp(i+1)             (4.1.15)

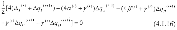
将式(4.1.1)代入式(4.1.2得)

上式为三维粘式接触的位移协调条件增量形式。

按式(4.1.9)引入拉氏乘子,

λr(i+1)= λr(i)+ △λk(i+1)            (4.1.17)

上式代入(4.1.9)并取变分得

上一页

下一页

 

查看评论 】【关闭窗口
  精品推荐     相关信息
网友留言
发表评论:  标题:    联系方式
  
 
*必须遵守《全国人大常委会关于维护互联网安全的决定》及中华人民共和国其他有关法律法规。
*不得制作、复制、发布、传播含有下列内容的信息:
   (一)反对宪法所确定的基本原则的;
   (二)危害国家安全,泄露国家秘密,颠覆国家政权,破坏国家统一的;
   (三)损害国家荣誉和利益的;
   (四)煽动民族仇恨、民族歧视,破坏民族团结的;
   (五)破坏国家宗教政策,宣扬邪教和封建迷信的;
   (六)散布谣言,扰乱社会秩序,破坏社会稳定的;
   (七)散布淫秽、色情、赌博、暴力、凶杀、恐怖或者教唆犯罪的;
   (八)侮辱或者诽谤他人,侵害他人合法权益的;
   (九)含有法律、行政法规禁止的其他内容的。
* 您发表的文章仅代表个人观点,与减速机信息网无关。
* 承担一切因您的行为而直接或间接导致的民事或刑事法律责任。
* 本站评论管理人员有权保留或删除其管辖评论中的任意内容。
* 您在本站评论板发表的作品,本站有权在网站内转载或引用。
* 参与本评论即表明您已经阅读并接受上述条款。
关于我们 - 联系方式 - 版权声明 - 本站宗旨 - 网站地图 - 广告服务 - 帮助中心 - 设为首页 - 加入收藏
本站域名:www.jiansuji001.com 网络实名:减速机 jiansuji 减速机信息网
Copyright © 2005-2006 By 减速机信息网 All Rights Reserved.
建议使用:1024*768分辨率,16位以上颜色、IE5.0以上版本浏览器