1
中国减速机行业最大的门户网站!
免费注册 | 会员登录会员中心 设为首页加入收藏 联系我们
 当前位置:首页 >> 技术讲座 >>博士论文>> 正文
   我要成为会员
陈嵘 研究生——挠性叠片联轴器非线性特性研究
来源:减速机信息网    时间:2007年10月11日10:10  责任编辑:wangtao   
 

二)摩擦滑移接触下的接触势

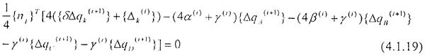
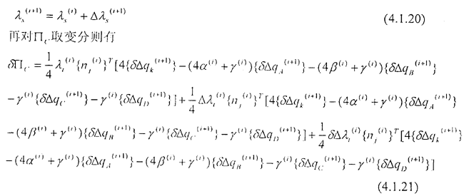
与二维情况相同,此时被动接触面上的实际接触点p 的相对位置在不同迭代时是移动的,即i+1时的α,β与i时的相比较有一增量的。为简化方程和对称的目的。建立Πc时忽略i+1时的相对小量△α,△β,△γ,

对于磨擦滑移接触,接触面变形一致条件是在主动接触节点k处沿被动表面法线方向变形一致,则得

式中nj表示与k主动接触节点相接触的被动接触面第j个单元的单位法线矢量将上式代入(4.1.9) ,并利用下式

三、接触控制方程

将式(4.1.19)(4.1.21)代入式(4.1.10 ) ,通过有限元常用的推导过程可得带有接触分析的最后控制方程

方程总维数应为各接触体位移自由度数加上主动体接触点独立接触力数,当该点为粘式接触时,一个主动体接触点的接触力数与位移自由度数一致,当为滑移接触时,一个主动体接触点仅有一个未知接触力。

其中对粘式接触,一个主动接触点k:

[I]是3*3阶单位矩阵,第i+1步求解矢量为:

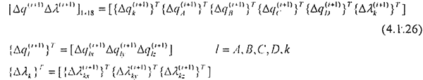
2.滑移接触,对一个主动接触点K:

求解矢量

[△q(i+1)△λ(i+1)]1×18=[{ △qk(i+1)}T{△qA(i+1)}{ △qB(i+1)}{ △qC(i+1)}{ △qD(i+1)}T{△λk(i+1)}]      (4.1.29)

基中λl, △λl分别为沿接触面法线方向的接触力及其增量。

4.1.3  接触条件的判断、修正

由接触控制方程(4.1.22)可解得i+1步接触力与各节点上位移,此时必须判断各节点处于哪种接触状态,如前后两步接触状态不同,则要修正i+1 步的接触条件。即以(4.1.22)式求得接触节点力后,按插值函数求得等价的接触单元分布力,进而求出接触单元的合力以判断接触状态,再以接触面上一节点周围各单元接触情况判断该节点接触状态,据此来修改控制方程,进行新的迭代,直到收敛。

对于主动接触面上第k个节点的接触力增量可由节点平衡条件求出

{△Rk(i)}=[M]{qk(i)}+[D]{q(i)}-{FK}-{TK}+(PK(i))      (4.1.30)

所有主动体上接触节点的接触力总矢量为

{△R(i)}=            (4.1.31)

一、接触元接触面上分布力及合力

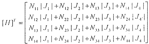
根据等参元原理,当量接触节点力△R与接触分布力在高斯积分点上的值tij有如下关系

[△R]=[Nη]T(diag[α|J|])[lη]           (4.1.32)

其中α为积分权系数,在2*2 阶积分中等于1.0,Nij为插值函数在积分样点r1,sJ处的值|J|为雅可比行列式

上图所示三维接触体的一个接触面及分布力

而分布力在接触元四个角点的值与高斯点上的值的插值关系为:

矩阵内项表示分布力在单元角点l,m,n,k上沿x,y ,z的分量。对于一个单元有

[ΔR]e=[Nη]eT(diag[α|J|])[Nη]e[tl]e           (4.1.36)

而总方程为

[ΔR]=          (4.1.37)

[G]是对称的,求解上式可得接触元分布力

第j 个单元的总的合力可由有限元基本方程得出

{TJ}3×1=([H][lJ])T

其中

合力的法线矢量为

{TnJ}=[{TJ}T{nJ]{nJ}

{n}为接触面元的法线方向余弦。合力切线矢量为

{TlJ}={TJ}-{TnJ}

上一页

下一页

 

查看评论 】【关闭窗口
  精品推荐     相关信息
网友留言
发表评论:  标题:    联系方式
  
 
*必须遵守《全国人大常委会关于维护互联网安全的决定》及中华人民共和国其他有关法律法规。
*不得制作、复制、发布、传播含有下列内容的信息:
   (一)反对宪法所确定的基本原则的;
   (二)危害国家安全,泄露国家秘密,颠覆国家政权,破坏国家统一的;
   (三)损害国家荣誉和利益的;
   (四)煽动民族仇恨、民族歧视,破坏民族团结的;
   (五)破坏国家宗教政策,宣扬邪教和封建迷信的;
   (六)散布谣言,扰乱社会秩序,破坏社会稳定的;
   (七)散布淫秽、色情、赌博、暴力、凶杀、恐怖或者教唆犯罪的;
   (八)侮辱或者诽谤他人,侵害他人合法权益的;
   (九)含有法律、行政法规禁止的其他内容的。
* 您发表的文章仅代表个人观点,与减速机信息网无关。
* 承担一切因您的行为而直接或间接导致的民事或刑事法律责任。
* 本站评论管理人员有权保留或删除其管辖评论中的任意内容。
* 您在本站评论板发表的作品,本站有权在网站内转载或引用。
* 参与本评论即表明您已经阅读并接受上述条款。
关于我们 - 联系方式 - 版权声明 - 本站宗旨 - 网站地图 - 广告服务 - 帮助中心 - 设为首页 - 加入收藏
本站域名:www.jiansuji001.com 网络实名:减速机 jiansuji 减速机信息网
Copyright © 2005-2006 By 减速机信息网 All Rights Reserved.
建议使用:1024*768分辨率,16位以上颜色、IE5.0以上版本浏览器